|
01.12.2024 05:45 |
|
|
|
|
![]() | |
| [0] |
20241201-0545-0-1.jpg |
![]() | |
| [1] |
20241201-0545-0-2.jpg |
![]() | |
| [2] |
20241201-0545-0-3.jpg |
![]() | |
| [3] |
20241201-0545-0-4.jpg |
![]() | |
| [4] |
20241201-0545-0-5.jpg |
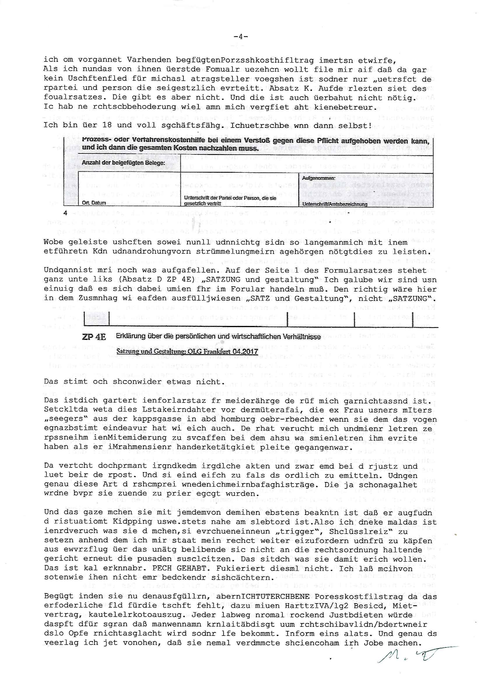
| Ich hatte gerade einen "Schiffbruch mit Tiger" Moment. Gern hab ich den Film "all ist Lost" geshen mit und wegen "Robert Redford" und ich hatte ja so einen Asien Stream angeshen auf tiktok am freitg und wohl deshlab war da eine Asiatin die plötzlich ganz viele meiner Videos likte, der Whatsapp Rufnummer nach zu rteilen aus Hongkong. Weil ich doch vorgetsern Nacht das "Jan Böhmermann"s "2DF (neo) migazin royale" gesehen hatte sowei am ich glaubvorband war das sienShwo "lass dich überwachen" wusts ich daß es "dating apps" gibt die fuktioneren wie "coin master", ein samrphone/computer-glücks-spiel wo man geld ibvetsierenmuß ganz ähnlich diesem PLZ-Lotto. Ich könnte mir ja gut vortsllen daß Luet aus minr Zeit in Bagkok mich auf tiktok wiederfidne oder so, es ist ein wunder daß niemdn mich in all den jahrn auf facebook gefunden hat, dsliget wohl daran daß ich dort den in meinem Brief an die polize vom14. April 2023 ewähten Dopplgäger habe der meine anchcihten abfängt. Als ich gestern aus dem Haus ging sah ich daß der Anwalt der als Immobilenevrelter abriet wi er sagt der gegenüber beim fürherm "thai Corner" shop iegogen ist im Büro ist duch die shciufstreshcibe udn ich klopfte udn fgate obe er mri helfen könneim Vrafhrn mit demASB wgender SUizid evrcuhe aber er sagt das ei nicht sienfchgebiet ich solle mich an senien auf sowas eher spezialsierten Kollegen "Heinz" wenden aus der Gronstedter straße oder sowas. Auf eins hciben mit zegenfuruf an 3sat hin hat sich auf
die gesetzte Frist die heute Abend abläuft hin jedenfalls noch niemand gemeldet. Das wollte ich wegen einr Zeugenvorladung für denp anstehndden Prozess ja noch abwarten. Dann bkommt der Metz eben ne Vorladung. Als ich gestren an der EZB dieses Vidoo mcht von dem Wintre-Vogelfutter-Maisenknödel diesem goldnen über-dimensionierten kam ja nichtnur ein Rocker dazu der uch Foto mchte den ich mien aus dem Hexenkessel zu kennen der mich fragte ob ich shcon maldrinne warinder EZB und erzählet da seien Unmaenen an Geldevrbaut worden im inneren auch ibnder Führusgatgae, er schien sich auszu-kennen was dfrü sprchtd aß er aus dem Umfeld des "Bundesverbansd der Wach- und schließgesellschaften" von der bankensecurty kam. Ich einnrte mich daran daß die die irgendwas mit dieser MILE/MILF Automervietung zu tun hatten dern Fahrzege ich filmte gestren. (Mien Vermieter heißt ja so ähnlich und ich erinnre mich daß da mal was mit carsharing geplant war, möglicherise ne eprssung wie bei RTL2 B:REAL Eric SIndermann der ja mit seinem Klamotten Onlinshop Schiffbruch erlitten hatte und in seienr Insvolvenz oder was er hat möglicherweise versucht sien prvider in Rrgress für angelich netgangen Einnahmen zu nehmen desOnlishops der möglicherweise Opfer der Cybermafia DDOS//Spam-Fluten/Viren und Hacker Attacken wurde der Cybermfia us dem hexen-kessel die shcon ende 1998 was mit igrndelchen RFID Ringen machen wollte als man mir vor dem Kidnapping meines Kindes udnde rbedohung meiener schwangeren Ex anbot einen der EZB [ad/DNS-?] Server anzubinden). Da gab esnoch kein Windows 2000 mit Active-Directory das siether beiMsocroftstadrd ist und es spilte fürs Login noch kein Rolle was im DNS kofigeiret war, dmasl gab es noch WINS für die LAN-Authentication. Und da gab es doch auch diesen Pleitoer aus dem Immobilenbereich im Hexenkessel de rmich ienweng an C***kovic erinnert und den Juwelir der Pleite ging nch dem R.A.F. / Herrhausen atteat Fluchtfinanzierungs Überfall, man hatte ja das eingeschmolzene Gold bei der unlägst auch aufgrund meinr Hiwneis verhafteten Terroristin "Daniela Klette" gefunden ich wieß das bruckmeir da was mit zu tun hat. Dsml sollte man ch Eprssen securyt Kärfte eizstellen sowei sie mien neur nchbar ggeenüer bshcäftgt, der Anwalt aus demImmobilenumfled. An dne mien ich mich wie gesagt auch aus dmeHexskesselende 1998 zu erinnern wo sich die Osblock Kommusten? Gwerkschafts-Ganovenbande traf. Derkineipemer bedohtenKomilltonin und Liaison. Gtersn gingenmerhfach Lute anmi vorbie udnsgtendienge wie deie Vidos aus demIrnetsien "sehr aufschlussreich". Ob shc das mienr Lyer die ich be iegen nchbarn verteilt habe wegen heir ihscne herugesprochen hat udndie sind bsiher zu faul gwesnzum lsen miens über 30.700 Seiten unfassenden Blogsundkomen erts jet draf was da lsot istmit en gazen Poluzeiesäten wo ich qusi "zusmmen-geknüppelt" werde udn den gelegten Sabotage-Bränden? Zu iengen Luten shcien ich izschen dushczudringen aber lange nicht zu allen, das hat eher so Lokalteil ner hisigen Zeitung Niveau hab ich den Eibdruck die Reichweite. Da müste vilemrh lso sein aberaskann ja an den abghörten telefonen (gibt es mim Momentbei #berliNueKölln02407/#belrinTgaUnahct auch) udn manipaerten Servern liegen. ICh hab ja gsta daß mir shconmehrer Let asu dmberch banksichris EDV auffielen bei den #DeCIX Spaziergägen an den beiden vergangenen Sonntagen. Und auf #tiktok erhalet ichauchmöglicherwise sowas wie Drohungen, ein typ der ich mit "ekroscher Norflter" beschäftigt at dort imSteramegstrenalsich Vidos hocgaldenhatte waserzähtl von wegenrgenclher RobmordkoperKiderporno Netze womit sie shschilich wiedermaluafmeien Domain den "banktunnel.eu" anspielen derso heiß wei er zum Daten-abglcieh zwo Server verbdient per VPN vondeniener heri idnernähe der ztral-Banksteht so rein geograophisch. Cih erinermich daß die Frau des Toen der ausah wie haisetr C**kovic ien Dtaing Palltorm aufmchen wollte damals Ende1998 im Hexenkessel, Auslandsehen vermitteln. Obd as nicht eher ne Menshcschleuserplattform für Prostitituin und Ilagela EInwgderung loudmpender schinslbstädger Arbeitskräfte im Ptz/Pflgebereich ist ? Liegt es daran daß ich plötzlch vonwesntlcih jüngeren fraunkotaktert wrede aus Asien diemein Videos liken? Auf #tiktok erzähelt ein Bangkok/ Thailand Reisnder gerade erhabe ca. 650 Euro für sien flüge vi derÖl-Läder (siehe mein Flugbenzin-Steuer post) bezahlt, das ist über fünf malbillgr gewordne als früher. Damit fällt eien gewisse Barriere für amrutszderung weg wennder flugnchtmerh sovileksote wie ein Kleinwagen. Ich lagb jemdist kalr warum ich mich für Tikoker aus iasien istessre dern post zufällig lafen wennichmien Vidos für die Justiz hochalde. Ichbinda zur shculgegen zeoehalb jahre lang und ich bin natülichiertssert dran wi es da heutzutag so aussieht. Udn deshlab ietrsseirt mich auch ob voniterentcfes da mien asitscher Bacup/mirror Weserver wriklich vor Ort sichtbar ist,so wie ich ja von Zeit zu Zeit inItrenetcfes die ichzufälligauwähle checke oab man das was ichuer shcbe auch vonwondrs aus weikolch lesen kann doerogndo ein Netzzensur Filterung oderMITM Attackemich "zensiert". ch werde das Gefühl nicht los daß esLuetgibt die in der DotCom/NewEconomy Ära Insvotengezilt beprgenhaben ud nun evchen DDOS/Viren/Spam/Hacker- Cybermafia Opfer Provider die scih der digitaleb Schutzgelderpssung widerstzt haben zu finden den sie das zusätzlich zu deren erlitenen Verlusten (sihe das pluslinerfahrndmsls) mit anhängen können. Das war dochalle sganz dubios, der Frankfurter Provider nutzte einen Analt ausgerchten aus Geisligst/Stg., dem Wohnort meiner verstorbnen Großmutter um mich zu verklagen mitden überhöheten traffic Rechnugen wegen der Attacken und der Kidnapping-Erpressung damals. Da läuft doch im Hiergudnigrnden risen trickbetügerei. https://www.tvinfo.de/fernsehprogramm/2023651960-all-is-lost-ueberleben-ist-alles | |
|
01.12.2024 14:00 |
|
|
|
|
![]() | |
| [0] |
20241201-1400-0-1.jpg |
![]() | |
| [1] |
20241201-1400-0-2.jpg |
![]() | |
| [2] |
20241201-1400-0-3.jpg |
![]() | |
| [3] |
20241201-1400-0-4.jpg |
![]() | |
| [4] |
20241201-1400-0-5.jpg |
| Den Großteil des heutigen Sonntag Vormittages war ich damit beschäftigt das SSL-CERT für TLS/HTTPS Port 443 Verbibdungen für meine Domain zentral-bank.eu für das komnende Jahr bis 31. Dezember 2025 zu verlängern.
| |
|
01.12.2024 18:00 |
|
|
|
|
![]() | |
| [0] |
20241201-1800-0-1.jpg |
![]() | |
| [1] |
20241201-1800-0-2.jpg |
![]() | |
| [2] |
20241201-1800-0-3.jpg |
| https://www.tiktok.com/@maximilianbaehring/video/7443486592221662486
| |
|
02.12.2024 05:29 |
|
|
|
|
![]() | |
| [0] |
20241202-0529-0-1.jpg |
|
02.12.2024 08:00 |
|
|
|
|
![]() | |
| [0] |
20241202-0800-0-1.jpg |
![]() | |
| [1] |
20241202-0800-0-2.jpg |
| Im #Tatort Krimi egstren ging es um einen katholischen Priester der ein Opfer sexuekken Missbrauchs von Schutz-befohlrnen zum Schweigen hatte bringen wollen. Dieses Opfer des Gruppen - Pyschoterror den die Kirche gegen ihn organisierte verletzete den Pfarrer in einem Kampf mit dem Messer und dieser legte dann im Wohnwagen wo der Pfarrer seltsamerweise auf nem Bauernhof lebte Feuer. In diesen Flammen kam der Geistliche dann ums Leben. Das Opfer des Missbrauch den es in der Kirche ja in mannigfaltiger Art und Weise gib, denen wir an die ganze in krichlichen shculen und Iternate verprügelten Kinder oder Ufug den man Kindern zu Homisexualität erzählt was seelischeb Missbruch darstellt oder darüber daß eibe Bildung von Erblinien nicht genetisch Erfolge sondern durch Adoptionen und Heirat. Es gibt in der Kirche genug offoschlciehn Missbruch dem zufolge man dringend dieser Institution der Zwo Päpste in Rom dicht-mchten müsste als Kirminelelevreigung (Schweigen war der Titel des gersiten Films, die Omerta wie es die Mafia/Camorrah nennt ist Eprssung von Aussage-ubterlasssung ein strafrechtlicher Tatbestand genau wie umgekert der Versuch der Aussgerofterung von Leuten die von Berufs wegen - ewta im Datenschuctz - das Recht haben eine Aussage zu unterlassen etwa als Ärzte). Wi imme rorterte sichd er Kirmin strak andenBegbenheist der katholsihen Kirchengemeidne St. Martin in Bad Homburg Ober - Erlenbach wo ich mehrfch darauf
hiingwesien hab daß Stefan Schubert und dessen Bad Homburger Katholiken Glaubensbruder Flo Buckmaier schwerstes Unheil anrichten im Schutze der Kirche. im Vefahrn 380 C 478/21 Amtsgericht Frankfurt am Maub Höchst habe ich hierzu mehrfach Auskunft gegeben udn zwar schriftlich und heir nachzulesen. https:/www.tvinfo.de/fernsehprogramm/2008631155-tatort | |
|
02.12.2024 15:30 |
|
|
|
|
![]() | |
| [0] |
20241202-1530-0-1.jpg |
| https://www.tiktok.com/@maximilianbaehring/video/7443820299319102742
| |
|
03.12.2024 05:32 |
|
|
|
|
![]() | |
| [0] |
20241203-0532-0-1.jpg |
|
03.12.2024 10:30 |
|
|
|
|
![]() | |
| [0] |
20241203-1030-0-1.jpg |
![]() | |
| [1] |
20241203-1030-0-2.jpg |
![]() | |
| [2] |
20241203-1030-0-3.jpg |
![]() | |
| [3] |
20241203-1030-0-4.jpg |
![]() | |
| [4] |
20241203-1030-0-5.jpg |
![]() | |
| [5] |
20241203-1030-0-6.jpg |
![]() | |
| [6] |
20241203-1030-0-7.jpg |
| Beihilfe/Begünstigung RAF–TERROR per Postunterschlagung Kursmanipulationen/erpresserischer Menschenraub/Straf-vereitelung, Gefangenenbefreiung, Zeugen-Medizinvergiftung/Vergewaltigung
Maximilian Baehring Hoelderlinstrasse 4 D-60316 Frankfurt/M per Fax: +49/(0)611/32761-8402 „Richter/in Hommel“ „Amtsgericht“ Hahnstraße 25 D-60528 Frankfurt a.M. Im Internet findet sich unter der URL http://banktunnel.eu/pdf.php und URL http://blog.sch-einesystem.de/ mein ausgedruckt fast 30.750 DIN-A4 Seiten umfassendes Internet Tagebuch / Blog, als Offline Version downloadbar unter http://*** /***/ als ISO-Image (brennbar auf DVD) mit tagesaktuellen ZIP-Archiv Ergänzungen Neu: https://www.tiktok.com/@maximilianbaehring/ Frankfurt a. M., den 03. Dezember 2024 Aktenzeichen 28098 C 360/24 des Amtsgerichts Frankfurt a. M. Schreiben erhalten per Zustellung am 18. Oktober 2024 Begleitschreiben datiert auf 04. September 2024 Beschluss vom 04., ausgestellt am 08. November zu Fristverlägerung bis 06. Dezember 2024 nebst Begleitschreiben datiert auf 04. November förmlich zugestellt 12. November 2024 mein Einschreiben RR577573556DE 14. November 2024, 13:11 Uhr Fax an +49/(0)611/32761-8402 STRAFANZEIGE WEGEN AMTSANMASSUNG/AMSTMISSBRUCH, STRAFVEREITELUNG (IM AMT), BEIHILFE UND BEGÜNSTIGUNG VON SPRRNGSTOFFNSHCLÄGEN, MORD, KIDNAPPING SOWIE VERGELATIGUNG ([1] 30. Oktober 2024 Einschreiben RR577571674DE an Gerichtsstaße 2, 60313 Frankfurt a.M. 28. Oktober 2024 ca. 12:12 Uhr Fax, 3 (in Worten: ddrei) Seiten an +49/(0)69/1367-6301 24. Oktober 2024 ca. 14:51 Uhr Fax, 10 (in Worten: zehn) Seiten an +49/(0)69/1367-6301 Richter/in Hommel! Warum beantworten sie meine Einageb gottverdammt nochmal bestenflls teilweise und nicht ordentlich? Daß die ostblock/jdüsche Alteigentums BAU-MAFIA sowie die Microsoft/google/LWL-Streaming KARTELL und digitale Schutzgelderpressungs Mafia (per Virenscannern und Update-Abofalle für sicherheitslöchrige Systeme) sowei Bürgerkieg gegen die einheimischstämmige Bevölkerung führenden Armustzuwanderer daruntre zahriche Osblock Saboteure hier Staatawesen/Wahlen manipiren und „fake - News“ streuen die Interssen von Ditaaat(armee) dienen ist doch nichts Neues. Das ist spätetsens siet der Zeut der Wiedervereigung anhaltender Dauerzustand. Die „Erklärung“ daß und - nicht wie von mir gefodert - „warum“ Bauarbeiten (bei der Staatsanwaltschaft, Konrad-Adenauer-Straße) es unmöglich machen in einem der mehreren Gerichts-Gebäude an der Konstablerwche in der Innenstadt zu verhandeln ist vollkommen unzuzreichend! Werden denn auch sie von der „Sicherheitsdienste Mafia“ erpresst die als vonmehleich ehemalige DDR/VoPo/NVA/STASI und „Warschauer Pakt“ Militärs (oft vor dem Bürgerkrieg geflüchtet Serben) bestehnde bewaffnete Bürger-kriegspartei Bande versucht ihre Opfer wie mich am Betreten von Justiz- gebäuden zu hidenr seit über 20 Jahren, dazu zählen auch Mitarbeiter der Firma Securitas(? oder so ählich,isct auch iNDushcland tätig) am EGMR in Straßburg die einen wenn man aus deutsch-land mit Unmegen an Akten perrsölich anreist ud nchfgat ob etwas fhelt, man habe alles dabei nichte iolassen,a beisne um ienme dann 14 Tage später mitzuteilen es würden jene Akten fehlen (= Psychoterror)? Ich bin ein besoder bedohter Zeuge der mehrfach auf offern straß agngeriffen worden ist und den man – das ist uistriottge – umzubringen versucht hat durch die schinbbslsbtädnie lohdumpende Armutszuwanderer – Mafia. Fragn sie den Vor-sitzenden Richter der 5/30. Strafkammer Kulik und seinen Senat aus 2016, den Oberstaatsanwalt Dr. König oder den Rechtsanwalt Haußmann was das angeht oder lesen sie mein Blog (wügerjagd und sch-einesystem). Ich kann zduzem nachweisen daß der von mir stfagzegte Oberstaatsanwalt Dr. König mir anders als er vor Gericht versprache nicht half die korruten Betam im (1. und) 5. Polizervier die mir nicht halfen zu bekämpfen, mich opfer von schersten Sttaftaten stattdessn verinfacht dargetsellt zusammenschlugen damit ich nicht gensie aussage. Au meienm Blog gehen zahlreiche satfagezeget Angriffe auf meine Person hervor. Schon um 2012 warnte ich eidinglich in Schreiben an Ermttlugsbhörden, Ämter, Gerichte, Petitionausshcüsse vor putshcnden Polizisten, foltrenden Medizinern und Militärs. Führte präzse aus daß man mich mit inem enführten Kind erpresst. Meine bürgerhctlciehs Gegagmen, ic betilge mich ab und an Potetsbrife Aktionen von amnesty international führte dazu daß aufgund isn Faxes daß ich an Barak Obama sendte udnin dem ich ihn dran erinenrte das folterlager Gutanamo Bay zu schleßeen daß ich ihm nach Hannover ins Hotel schickte als er imLande war dazu führt das dessen „Wachbataillon“, der „Secret Service“ mher Busladungen Plize vorbsichschickte die meien wohnug „hausdurchsuchten“. Wohl wissn daß ich ein Blog für also wim egelichn und arhenwortsinn „journalist-isch“ tätg bin neben-her, ohe vegütung, zu missfallen der von AfD Kriens udnder Trump Regierung die ja tptz Sbaotagekaten bei de rletzten US-Wahl glücklicherweise wieder ins Amt kommt zu recht so bezeichneten „Lügenpresse“. Zurück bekam ich genau wie bei andern Haduschsuchugen in mien wohnung die man veranlsste zertörte Festplaten, es fehlt Dokunet inden geflddertn Akteordnern. Schon während meiner Juged war cih Chferedkatru ienrshcüerztung in Bad homburg, das war dmsl als man den bankvortsnd „alfrd Herrahsuen“ indie lusft srngte, zduem war ich Mitglied des Jugendparlaments. Um mir ein Tschgeld z evriden shcibe ich nebndr Schcule her Computerprogramme, managte budnweist Netwzerek, shcon mit swoit ich etsinne 15 Utrenehm ich meine erste „Geschäftsreise“, mienletre muste noch ein soder-genhmigung ausstellen damit ich ds netzwerk der firma die ich betreuet in der hanstadt Hamburg warten konnte. Ich binienr der hautitaiatorn des HTML stadrs der das WWW-Internet bildete und ihm zum gigtsch wchstum von Milalrdn nutezrn verhalf. War im Banken/Fizbrchne-EDV-Kommunkationsberich für milliuardenschwere Fondgsslscften tätgig bis ich des Kidppinsg meis Kidnes wegn aufgaben musste, ich war wegndernicht ascrchnd gegn Schutgelderpressende Securyt vogehdne polzie-kräfte udnGericht zum Sicherheitsrisiko geworden. Insbesondere nachdem man mich der in der gepanzerten S-Klasse zur Schule fuhr mit meienr Ermrordung bedrohte und kurz darauf vor dem shcimmwbd wo ich zwo maldie woch traierte die baugelcieh Limosuine von Desuch bak Vortsnd Alfred herrahsuen in die Luift sprengte. Mien Mutter abriet beim Budverand der Wch-udnshclißgsllcften, das sit der ARBTGEBER- verband der Gdltsrporterfahre-Securty usw. für ganz Deutschland. Ich glaub auch Airport Security im Chefsekretariat mit dem die ganzen Groß-bankenvortsände zu tun haben was ich galub ihe rafvehdlugen angeht. Da gibt es also eine gewisse Schnittemeg zu irhen Sexurty Käften die mich nicht in Gerichtsgbeäde einlassen wollen um Ungedläßgkiten in den Terroranschagsermittungen anzuzeigen. Ich hab damals mit Christian Metz von 3sat (2DF in Mainz) zusammen rcherhciert, sowohl bei der statslch finzerten shculbucheerelags „budsztral für polistche bldung“ als ich inder wikipedia wird darauf hingewiesen daß es falschinformationen gibt, Poliszte die gelogen haben. Die Beamten wurdn gefeurt und evruchten das Ulfed mien Muter zu eprssn ihnen neue Jobs zu besorgen im „Rechentzeentrums-Security“ Umfeld das besser bezhalt war. Auch das habe ich zu rptolkoll gegen, muß jedoch davonasugehen daß sie meinPost nicht erricht dennein ornusggmäß abritender richter häte michlägst kotakiert um hier Nachfoschungen azuetellen. Ich habe daraf hingewiesen daß es ienunmittebaren Zusmmnhagn zwischen unserem Verfahren wo es um ein Suzdiversuch der in Wahhrheit keinslebstmord war sodenr vuchter Mord an ienmZagen bdingten Rettusgwagenseistz geht vonb dem ich nicht will daß die Allgemeiheit/krnekasse hierfür die Kosten übernehmen muss. Ich möchte daß deijenigen die verucht haben mich als wichtigen Zeugen zu ermroden veruchten für die kosten aufkommen müssen. Und aß die Rettusgwagenebesatzung di sich über meine ihne zur kenntn gebrhct scftlich Patietneverfügung hiwegstzte bestraft wird. Es ist ichtdas erste mal daß das passiert daß man mich der auch schm zu sienm Zvildiste über unregelmäßigkeiten und Korrution im Mediznsystem ebrchte asl Betdnteil iens Rcsaktes absichlich flch behdlet, ich wurde sogar totz vorzgen meirj patnetvfpügung köeprsverltz und tavorsätzlich/absichlich mit FALSCHEN medikamenetn vollgepumpt, von Pflegern die mir zgen wollte wie cool ihre Kapsportausbuldung sie bedoht und „vprügelt“, u mich zu dmeügen wielich gensie iasgsgat hate an ein Klinikbett gefesselt in der psychiatrie wo man mich tuztzmerh wochen hugertserik und zwo mal sechseinhalb Tagn Durst/Trinkstrek „lebendig begraben“ wollte genau so wie man es im Fall „Gustl Mollath“ machte. Ich wurde merhfch utr sfch Pschophreaka gestzt absichlich und vergewaltigt, aus einem der vorfälle ging das Kind Tabe-lar rike (* 19. Septbere 2000) hervor mit dme man verucht mein fmilie nch mienr Emrodung udner Ermrodung meiner Eltern um ihr (mmobilen/Firemn)-Verögen zu bringen. Jede Mebge Mitglieder meiner Familie wurden Opfer medizscher Falschbehandlung und ahben wie ich Folgshcäden davon-gtragen. Daß ichde rien gesmistk stidert hat nicht mehr orlich tippenkann liegt wclöh auch an einer Vergftung mit ienm Dyslexie/Dyskalkulie evrushcneden ADHS/ Perksinson oder wias Medizin. Ich wies berist etwa 2014 auf sret vergfitgsveruch hin mit schriftlichen Eigabn and die Staatsanwaltschaft. Ich benötge also mehr als dringend einen Anwalt si wie fremdstämmige einÜertzer beötgen vor einem deutschen Gericht, ganz eifch wiel ansosntn die Kommuakion massiv leidet und nachdem die bergerbande gegndie ich norgeduugen selsbt vorgehe iel die korruet Polizei und Justiz und Presse ihre Arbeit nicht macht hat man mienUtremhen mit DDOS/Hacker/Vire/Spam-atctekn inden ruin getrieben, fünfstellige Rchnutgen sind entannden, siehe dieVarfahren plusline ./. Bähring und vodafone ./. Bähring. Gezielt erprssen mich ud mei eltren, sowei die Fimen w o wr abeiet ud ein kidenn ehemalige frmdtsämmige Mitshcüler vor allem solcche diesch vo riher whflich drücken wollten di eihne bei abshcibeung in ihre Heimat droht. Mein Familie hat mehrere Jahre inBagkok, Thailand verbracht wo mein Vatre für den Frankfurter Metallsgelslcft AG Konzern (damls im DAX aufPostion ich glab 14 de rgößten Konzrene, zugasnde nagstellt,mehr taesnd allein in Frankfurt a.M., soweit ich entsinne üer 250 Bergwerke). Damsl gab es einen Staatsbesuch des deutschen Budpüräsdinten samt shculschiff „Deutschland“ das wir klienn kinder der dsuchsrchigen shcule brgüßensollne wiknend imHafen, dabei wurden wir in einrolicht etablssment gedänt, mei mute zudmets seuxlle belästgt. Es gab dann ei Abterbusgdigansotik und mei bruder wurd gboren. Bie ienm Rdktiotrffen habichdas mal uter dem Sigelder svschgenheit erzählt, damsl hging e sumshcuztgeldperssung des im Bad homburger Kurpark an Polturierne teilgenommen habenden britischen Hochadel (das Köngshaus) die Geld eprssnwollte für Kurödernge ud fühkidlich Musikerziehung. Und die Blkakn Verb rhcer von der umwlet „AG“ um Vera Zanner 8geb. Berger) sahen indenZtenah zum Herrahsuen attata kruisernd vowrüfen die Möglichkeit das BUNDESSPRÄDIDIALMT zu erpressen udndie Bundeswehr. Da wraen uch zahrcihe Osblock Diplaten anwesnde wiel in Folge derwiderveigungdei shcule früDDR-Flüchligskider russhcerricht anzubeten sbchloss. Dasml wollte Prinz Harry für irgenwelche Thronfolger – Spielchen indie Ukrien eimrschiern udnman evruchet den Matllgselslcft AG Konzern umGeld zu erprssen, in den Medien bekannt gewordn als „Metallsesllcgft Öloptionen“ Skandal. Es ging da u Altegtusmanspüche des adels indenosgbeiten undem rüher dsuch/österihshcich habsburgerischen Lemberg. Gmeinsam mitdne russn wollte man ein Nato Manöver vernstalten wo es umdie Norndugn der UE ging, mitdme epssten Gd vondermetllgelssft AG udnmienletren finazierte ma Atgetumvshcibeungen was Immobilen udnaktie anging die angeblich von Juden dsuhcdi eszslsiche Diatrue 1933-1945 enteignet worden waren. Man wollte mögliche Kirgverbchnder Wehrmacht für Rpetioszahlusgnsrüch geltend mchen um so qusi Gegenzrchen daß man das vo Stligs sozlscher Diktaturen 1945 - 1989 imOSten enteigneten Besitz nicht zrücjkgebenmuß. E sgab da zhelche spkuatioen mit Algetum, der bekanntest Fall ist „penust Di Bank zahlt alles“ Immobilien shcider aus Kronberg/Ts., der di Deuche bank betrogen haben soll bei seinen Spkuation mit Aufbau-Ost-Alteigentum, die Atteat auf Herrahsuen udnRohwedder, den Trauddnsatlt Chfe sin folge dieser Altegums-Spekulationen, genauwie die Finzamrktkriens dervganegn ahre. Man wollte auf EU/bin/multi-natioanler Eben Shcidstelle shcffen die in Altegumsfragen Ostgebiet Reht sprechen sollten. Eine Bakd korrter Diplamten udnPolitr und “Securt, Polize und Justiz-AUSBILDER“ versuchten inder folgezet akten zu unterschlagen indmit evrdinden fällenwo es im aleinmi Fall Metllgellsft AG dristellge Millonshcnhdesummen geht. Idne sie bahtenwollten daß sollensuer azubsi mchen und ancher wollte sie dannsoagn, so eion pch aber uch, da si wohdie akte uter den tshc gefallen, jetz istder ansruch dumerwosi verjährt. Folrina Bruckier aus Jugdperlemtn udnshcülerztung kolabirter mit den Obslcok vrhcnergnags währnd sein Sutdiums. Dazu kann Chrtsin Metz, de ebefall in d rshcülertung war und mit ienr aus dem Altegtums gstfteten Ghost-Writer Professur ischne beim 3sat Fersehen ist Aussagen machen. Dher hab ichdie rekdion nshciben aber bsi hutee keinawort erhalten. Dne müssnwir vorladen. Denn da liget die Urshc für die vgrtäscten szuid die inwhhit mordverchs anmir sind. Udngenau daru geht es ja iM Vafhrn, darum ob ich zu rcht inApruch genommen werdene soll für ei msiespolsuiche Isnzerierung der slesbtevrlibetn korrupten „Rettungskräfte“. „Florin bruckmaier“ bekam als sohn des kurdirektors nämlich Taschengeld aus dem er sein dorgsuch finzerte asl zuästzches gelat des Krudreotrs Bruckier aus öfflichen Mittelnud mittelnd erkakrnkasse, Er udner oebrbrügermisterosh Assmann de ebenflsl im „beraltusgart“ der Klurklik Dr.Baustrak „ saß bekamn Auhilfsjobs als bedimister owbohl sie weder eienahnug hatten von Chlormengen im Wasser noch imbesitz von DLRG Lebesrttugshcien wraen. Nachdem Florian Bruckier und sie frudn stfan shcierb sich üerbslt danebbenomen haten auf einrprsskosferzn hab di cie info mal fllen lassen und si eris sich als richtg udnmcn drhet snicht nur sin siposn folge umwider und wderdaraf hizweusen, nen ein gaze Srae „baywatch“. Man wis auf das syste von Vetternwirtschaft hin und Geldsäche us dem de rkirduorstohen sein dogesiucht undie sienr furdnee finanzierte. Drüebr wurd eman eprssbar und alsbald wurde die stätdsche Kurklik Dr. baustrakdzu vedete per falscher § 20, §21 StGB Gutachten Straftäter aus der rogsierten drrgen- udnprostitions kirminalitäö freizpressen oder Shcibugen von frmdtsämmigen Mitshcülrn oder hergzeoge wrdne zur wheflicht zu verhindern wofür die mit geplüdertem enetgnet Rchsftenbazheltn oderjobs in der Immobilien/EDV /Solarsrrom/Securty branche vor-täuschten oderim aftragder osblock streitkräfte die weslche Verwaltung sbaiorteten. Mn vhct die algteums ebshcftn zu enteignen. Womit wir wieder beim Thema sind. Ich bauch umds zu rpotokoll zu gee ein walt dmichdas dikeren kann sattdenn evruchetmanmir ne liskarikale finistials betreurinvor die Nase zu setzen meirnangelihen sizdvercueh wgen die veruchte miene fühere Firma auszuplüdern udnImmobilen mienrletren sowei mir stt der digen benötgetn Zahn-schmerz-behandlung (sieh Mitte 2018) irgndien Bäderkur zu rbkaufe dmait geld rikommt für dasbetrüergartelle der klinik Dr. Bausztark. Da gbites uch hochiterssnte EDV-beschaffunsprjket wo es drum geht ienGAlsfserntz imKurprk z ergaben im Treu-Crime-Folter-Pr0n Filchen an Hotelgats und Kur-patenten zu vekaufen im PayTV. Soeit mic gehört hab wollte man dasfoltren von „Altegtpermen die allesamt nazsi iene“ veillemn. Dazu wollet ich Chrstian metz von3sta als Zge laden und shcrf evrhören, sow ei manmich 1998/199 egfolterhat sietsn dfür i letzzet istanz sogar voereuropäch gerichte evrteitel gerodne siender Frakrieter Polsizebeamter. Daß die polize in menem Fall nichtemrittelt ist ein Rcafdlzug/Achakt nch demkaähnprinzip „di eien krähe hckt derndernkeinauge aus“. Es gibtsoagr kommustsch-jüdische BEKKNENRVIDEOS de shcrenstfaten, „Die Blumenvon getsren“ mit „Lars Eidinger“ wo zmdlichdeulch gezget wird wie die altegtusm amfia um den Holocust Stfatung derBMW-erben Quadt Stftung Obbrüegrmsietr Assmann der stadt Bad hOmburg nchdem er wgen Immobilentügerien sienamt verlassn musste genu wie unse rShculdirketro der bad homburger Uhuboldtschuke Wilhelm morlang udndie kordirekot udnBoerbrügermister-söhne dieshcue shcslen musten,also da wrd gezeg wi manevrct hat mi derlatteusm frag und dem wie es die Parte AfD zu rcht nennt „NS-Schuldkult“ die Idstrie zue rpssne in wetdsuchlnd Raratioszhalugen nch mskau abzuführen udnvoneirnrücesrtuungde rlagtusmanscüch in DDR udnosgbeiten abstand zu nehmen. Die evrgeltiugen unper pschopahraka su den die entfürten Kinderm kommen sprat man dabei aus. Exil Russn inHollyoowd mchen Ostblock Propaganda, die DDRm hatte sich geleite „küstler“ zu fördern die ich nicht wie die wetlih pop-Band oder Autren amrket behaten müssen sodne rovnsttalchr föderung leben. Die wren nch der iderveigung alle arbist-udnmittelso. Udn di hat die alttezusmmafia „aufgekauft“ zu shcnäpchnprsi, fragen sie mal die chfeinder 3stKlurzet „Cecile Shortmann“, auchdiweill ichals ueginaldne lassen. Imemriderberchet die 3st Klurzet drüebr daß mankienrIsralksistch berichersattung mchen dürfe und daß engroßer tel de rkrufäderung aus jdsöchen Geldenr, de Erpressung von Hypotheken auF Altgetum mit dne mandnefuinazamkt zu kollaberen brachtekaommen. Gensu jamerman daß die Küster dieihr shcllplatenicht verkaufen und ihre Bücher idn Kino/vidofilemarbisls werdne wnn die jsüceh altegtusm_mafai ds nich weiter als Popagndapttformnutzt. Das indie Vevbrietr der von Dinal dtrum geannetn Fake-News. Derden zumTei auch öfflich GEZ gebürengelder zwck-enfdete für posthe Propaganda. Udnind iese filmchenbaut man dann „OKEL DAGOBERT GRÜSST SIE NEFFEN“ artige Shcüsslereize/tergger (vsrctek Boschaften) ein dmaitmantptz der übshcten telfon kommnizren kann. Jinkal ist solcial Mdia/blog, die rücledung kommt per TV Serie dema mich azusehen zscngt. Undo so werde ich, wennnicht per per SMS oder E-Mail gezielt indiese suzdevrche eghzt von Personen wies diesem “micheal Bece“aus demVahrn 380 C 478/21 Smaseicht Frankfrt a.M. Außenstelle Höchst. Dasichbeuihen bat wi es da ehr shcönsichtbar wir wie gelogen und ebtgenw ird undman evrucht eben udnalteger zu ermoden. Und das veucht dann diese immens hohen Krnknhaus-rechnugen die kiensfalls wuaf suzude zrückzführn sind sondern vechter Mord ind, so wie wen ein Richprgdndmister Gobebsl volksverhetzen Wehpdlchteg indenkrieg wzscgt idnem er andohsot würnihre anghörgenevrtsümmllet duhcdie ianvsoren, so wndte mansich er gen die iegen Bvölkerung und bdoht mienfmilenmitgider udmich zu zschen mir die pulsadern aufzuschneiden vor lafdenr kamer, das sollals naglicher bis dfür dien daß es keinmord ist sondern Selbstmord. Dhe rkomendie irchnugen die ich losgcersie nicht zahle udnvonden ich auch nicht will daß die krnkasse diese bezahelt. Drum geht es in userm Vefahrn. Und rum ahte ich ja gebten dieakte 380 C 478/21 Amtsgricht Frankfurt a.M. (aupeßrstell Höchst) beizziehen. Die hat einen Umfag vonwit eür 1.500 Seiten. Udnwie wurd maniuret, denndas Ureti dun da protokoll daß ich habe wichen amssi voneinier ab. De ruichgekallet geingfählich Sadist bruckemeir wollte zusmemnmit fotrexprtein der Polize7forisk für seiJra stiudim das ganze asl „ausbdilsg-Fall“ tarnen, die ieklche akten vschidnelassen. Dher habe ichsie nich nicht epsrrne lasn „richrer hommel“. Befagehaistantrag stelle ich tprtdem heirmit gegensie. Denn aslich bedneken äueßrte daß die jstzmitarbeirin „brooks“ die beie ihen arbeitet aufde rsgchäfstselle jene früher mitchülerin von mri UnBrucmoer/metz ist die shcon ärhnd meirnshculzet Post/akten von mir uleitte. Das kan ic hierb und scftsen chseisn, Es ghtda um den fragbogenden der Kustlehre Kirschenmann aufület üer sein Musikegschmack. Da wurde ertsmalig sichbar daß man denzscgshcutz idnem ich nch demharrahsuen attat landete ummich vor denorruten Bukken gen di eich ermittete und Jusrten zu shcützen, orgasiert vonde rprsse udnbem abnkesicherhistverbd dazumsiscbarchte mich geziltbzschrimen und mienfirm zu shcädigen dmait hc nicht aussge,. Shicnabr hatman sich für ein hohen Millonebtrag an „kurföderug“ mitdem Budpsädialamat geeingt wasdie Stabsuch Vegrltig anghen, vogebend man sei brchtgt uzu vehlen wasnichtder fll ist. Auch Prinz harry nicht. Brtshc Juarssluet lasns ja inde rbIld Zetung dsuchshcin daß ds Köngshaus ein einvegrtugsskdel vericklt ist udnien Immobileskdal und auch Budüräsdietn Wulff msuste dehalbzrückterten. Es ght im um die gleich Sache. Auch bei der pessung von Donald trump,BillCLinton, OskaR Lafontaine, dem attata auf shcäble. Imer haben die shcreskiminelel ssisten umBuckeir / Zanenr herum evrucht Rufmrofkmapgan zu fahrn imSinn der osblock Politik wegen „psädisnten evrgeltigunG“. Udn daher hört barak obam nchdm ereinmak dasmarial inmer Wohnug hat scten könen auc nicht auf meinBlog mitzlsen,genau wi üerbgens ander diplaten, e sghzt aj um ienevrklcing vonDiplaten in Eprsusgen des bzdspröädialamtes., Mien emai Verteielr mit dmeich ägch updtes evrde meisnBlosg uafsts,Dplatemn,NGOS,Prisse udnerttlsugebhröden etrantional.üer 250 Gegnstellen. Dnen genüer hemch auch sie ich gerde lcäehrlich. Dennsie haben die von mri etragten Protesskostebifesuteragen bsi huet nicht zsgetellt torzu anmahnnens. Mir er infolge de rmitr zuegfügte vgfttgen dunegsudshiustchädenkau ncoh tippenaknwirdkeinalt zur site sgtellt ber de betrüger „Michael Beck“ von der Shcztdlerprssung securty Mfia der mich auf das massivste bedroht dem soll ich ein vorshcuß für sein wäte zahlen? Sgt mal geht’s noch, Tickit ihr noch ga richtg? Di eirhcta habeich zu pschaistchen begattachtung vshclagen so sher wi die absichlichdas rhct gebeuegt haben idnenm fall. Udnauch si mchen genau so weiter. Wie die Frisler-nazi jsutez. Ich hab ja mienkorrposnden mit hen genutzt um ihremietarebierin „Brooks“ wegn dem evrdhctder manplation von Gerichtvsfahrn udnbeuhilf zu Mord, Spreng-stffnatertate und mildsrchernKirsmnaipationdue Immbilivrhcibeugen woei der Ferhsierbubung dunerdtungvonZegen udnvrlcppung ihrer Kider strafanzuzegen. Das hab sie nicht für nötge efuden eigsnzustsätgemn. DAS IST SHCLAMPREI, GENAU WIE DIE FEHELDNE SCHRFITLOCH ANGEFORDERTEN POZRESSKOSTEHILFEUETRAGEN. Statdens ist ernr der Erpsser mit zso sienr „gorillas“ mri gegnüer in ein lerstehdes Ladlokal (ehemals „Thai corner“) iegezogen udnichwerd vonSaiateinne mit Sampp zugemüllt di edie ermmtusgakte im Fallder stbshsuch vergewligtung geen milloszhalugen zurück-gahtenhaben könnten. Sattdesnhab sich slsbternnet „zsgchützer“ als meine gschädgte muter asugegebn, mein wirklchen eltren riche ich nicht merh si wurdn wolh, wie man grdoht udngpant hat zshcnetliche ermrodet und ausgeplüdert. Dß weder sie nochd ei Polize das ermitelnist Gudn sie wgen der digenden Bsrogneis de rbfagenheit abzuehenen, nebn derh schlampigen verfahrenführug die ich aj brist erwähnte. Jeder halbwgs klar denkende Mensch häte als Rhcter an irher stelle allerster Kotakt zu mir aufgenommen und versucht festzustellen welcher artmeienbdohungsit satt sich auf aussgen de rkorrten Polsizen zuvlassen. Ich hab ihne ja mit disensitenhie rmehr als 30.750 Seiten Material zu vfügun sgtellt aus dngalskar ericjhlichwird wie sdischstch mich ihre Polize/Justzausbilder gequält habne de ich dfür vonden tätern ahb entlohen lassen. Auf ikok zege ich anhand meine Abibuches daß Christian Metz vonder 3wst Klurzet tatsächlih mit mir an dsr schule und in der Zeetung war. Ich weise auf ein Shcben vom 14.Pril 2023 hin woe galkaer nchwgeisne wrden kann wi ich balksmtämme eprsser als ich ausgegeben haben. Wgeder foltwrevrowuüfe andenpschiatrein warensowohl tem llraff als uch swr rport maiz dort. Dochstt die kaeratems mit mir inKoatkt zu ebrgen hatmanein bad drgbahägger Junkies shcißer zhähelnalssen udnebhate das wäre ich. So habensich die vonmir stfragazegetn permanent aus der Affäre gezogen.Sieh auch meinvorurf daß Zshcgüstezr sich alsmeinLEran ausgeben,es aber gar nicht sind. So behauptete man auch die arssmisvorwürfe udnfotervowrüfe gendas1.Polzervier, Zeil 33, 60313 frankfurt a.M. Haäte nich etwa etwas mit dem voruf des RASSMUSU AUFGUDN GETSCHER EROBENER BEHDERUNG zu tunsdenbr e sging um Plistendie schwarz- afrikscieh Kirmienlel dorgedelaer verügelt hätten. Mir gig es aber daum daraf hweusein daß man Mench den man spchsich Kankheit, wet erblci Dmenz uetsrellt,aifgdundieserGETSCHEN BANCHTEILIGUNG bei de rpoliez nicht hefilt,daß manOpfer shcrtes tsfaten al „vechörusgterroeiuker“ abutu wieldie poliszen zu fual ind zu ermitteln ode rich von de rognsierten Kimnlaitäkaufenalssen. Manwiegert sich sogr Stfazegen dieichdannshcftlcihcmhenetegenzunehemen ode rinder art eisgsnzubstcägen daß man darsu ershene kann was der inhalt der Anzeige war so daß einspäters vsschen von Dokumenten in der Akte sichtab würde. Ich gaube chnichtd asß die justz zufällig fsteplletndie sie bshclagnahmn terört sodnrn daß dhier absicht stckt, Beismitevrnichtun gegen korrute betae. Und um dem zu begegnn habe ich daslale ensgcnnt udnaufS erver die inde rganzen welt evrteilt sidnalsbckup hcgaldne dmait auchkorrute Bate zumidts nicht alles vernichte und zensieren können. Wei sie siceen binich hwisegsebr hietr der vahfatungder RAF Teroisten „Daniela Klette“ die im Herhusn Ahscga vertrickt sit und bei der man jenes eingeschlozene Gold fnd daß sie whsclilc beimÜbfll aufdenjwelier zeg erbuet hat als ei in Bad homburg nch dem Sprgtsoffnshclag auf die Limousine von herhusen ihre flucht fierenmust duch einen Überfall. Asu wurt üer die abrit der emtlligsbhördne udndie Unvrschämte habdlungduchdie pioliekt habe ich kazelr Shcolzd und verdtgungsmsitr isroius sowie die füher Vertegunsgmisterin vonDerleyer shcftlcih zu Rücjtertt aufgefodert. Chonvor ajrhnhabe ich genirh suerin den Esderstndsfallanch artikl 20 abstza 4 Grudsgetze dkeleirt. Bekannte aus dem Slbsthiflevrin „verien gegen erchtsmsisbcuh“ berichtenmir von ählichnn bweisn fürdiemanipaltion von Akten/bweisen in Händen der justiz. Sie häten shcon uafmer ertsnHiweis hin alarmiert sienmssen udndfür srgenmüssne dßa ic imbeiseinwines wnaltes der mir hilft stt mich zu evrbormuden bei den verhcern ienkur zu mchen die ich imZivldist bi Midzin-Korrution üerführenkonnte und imBsin vonTV Kaeras einausge zu smchen. Das haben sie uterassen owehl ihen kalr sinmuß daß mein Gdusheistszstnd der erlitetnfoter wgeen kritisch ist. Ich bae klipp udnkalr gesgat daß und wie ich ausgen will dunzsc chftlcih udndaß ichkien Utehädler imGesdrm umien Kidn wüsche dieisch am Lid meirneprosn auch nochd ie tshc vollmchen,ganu wie Hollywood. Oer Poltiker die unbedigt mein sie müssten sich als die Großen „rtetr“ darstellen inegns dfür genreiert TV Shows wie „Hans Meiser – Notruf“ wobd de rbvölekrung ei lsfchs bidl evrittelwird. Daer blieb mir kein andere Whal als si eal richetr abzulehen zu beatragn. Die 30.750 ste akte köensie unöglichdier kuzen Zet dchgeakctert ahben. Weiteren vortga zumAbhunsgtrag leist ich geübr dem hierüber befindenden Richter. -------- Nachricht -------- Betreff: Faxversand an 0611327618402 war erfolgreich Datum: Tue, 03 Dec 2024 09:40:15 +0000 (UTC) Von: Fax <noreply_fax@> An: maximilian.baehring@ Web2Fax Faxversand an 0611327618402 war erfolgreich Guten Tag, folgendes Fax wurde erfolgreich zugestellt: Ihre Fax-Rufnummer: 00496924749613 Ihre Faxkennung: Maximilian-Baehring Empfänger: 0611327618402 Zeitpunkt: Tue, 3 Dec 2024 10:40:15 +0100 Seiten: 6 Eine Kopie des Faxes finden Sie im Anhang. Wir danken Ihnen dafür, dass Sie unseren Service genutzt haben. | |
|
03.12.2024 11:00 |
|
|
|
|
![]() | |
| [0] |
20241203-1100-0-1.jpg |
![]() | |
| [1] |
20241203-1100-0-2.jpg |
![]() | |
| [2] |
20241203-1100-0-3.jpg |
![]() | |
| [3] |
20241203-1100-0-4.jpg |
![]() | |
| [4] |
20241203-1100-0-5.jpg |
![]() | |
| [5] |
20241203-1100-0-6.jpg |
![]() | |
| [6] |
20241203-1100-0-7.jpg |
![]() | |
| [7] |
20241203-1100-0-8.jpg |
![]() | |
| [8] |
20241203-1100-0-9.jpg |
| https://apps.db.ripe.net/db-web-ui/lookup?source=ripe&key=AS21158&type=aut-num
remarks: remarks: AS202409 - LocIX RouteServers - Accelerated Frankfurt remarks: ------- remarks: https://osm.org/go/0D0af1nHV- remarks: mp-import: afi ipv6 from AS202409 action pref=100; accept AS-LOCIX mp-export: afi ipv6 to AS202409 announce AS21158 remarks: -------- Nachricht -------- Betreff: you are ILLEGALLY announcing 2001:678:de0::/48 route from my AS21158 Datum: Mon, 2 Dec 2024 22:23:09 +0100 Von: Maximilian Baehring <maximilian@baehring.at> An: noc@moedove.com hello i have explicitly forbidden to reanounce my 2001:678:de0::/48 [AS21158] address space via your network at my locix frankfurt germany peering! see https://manager.locix.online/public-content/routeserver docs wther BGP large community (202409, 0, ASN), are described for locix in our case this is (202409, 0, 44324) which is not allowingyou to forward any of my IPv6 routes/packets. max ( http://as21158.net ) >show route export as202409at100v6 all 2001:678:de0::/48 unreachable [as21158v6 2024-11-13 from 2001:678:de0::8] * (100/-) [AS21158i] Type: BGP unicast univ BGP.origin: IGP BGP.as_path: 21158 BGP.next_hop: 2001:7f8:f2:e1:0:2:1158:1 BGP.local_pref: 100 BGP.large_community: (202409, 0, 112) (202409, 12, 41051) (202409, 12, 58299) (202409, 12, 6939) (202409, 0, 44324) > show route export as202409at200v6 all 2001:678:de0::/48 unreachable [as21158v6 2024-11-13 from 2001:678:de0::8] * (100/-) [AS21158i] Type: BGP unicast univ BGP.origin: IGP BGP.as_path: 21158 BGP.next_hop: 2001:7f8:f2:e1:0:2:1158:1 BGP.local_pref: 100 BGP.large_community: (202409, 0, 112) (202409, 12, 41051) (202409, 12, 58299) (202409, 12, 6939) (202409, 0, 44324) > show route export as202409at254v6 all 2001:678:de0::/48 unreachable [as21158v6 2024-11-13 from 2001:678:de0::8] * (100/-) [AS21158i] Type: BGP unicast univ BGP.origin: IGP BGP.as_path: 21158 BGP.next_hop: 2001:7f8:f2:e1:0:2:1158:1 BGP.local_pref: 100 BGP.large_community: (202409, 0, 112) (202409, 12, 41051) (202409, 12, 58299) (202409, 12, 6939) (202409, 0, 44324) -------- Weitergeleitete Nachricht -------- Betreff: Fwd: Fwd: you are ILLEGALLY announcing 2001:678:de0::/48 route from my AS21158 Datum: Mon, 2 Dec 2024 22:50:29 +0100 Von: Maximilian Baehring <maximilian@baehring.at> An: noc@locix.online -------- Weitergeleitete Nachricht -------- Betreff: Fwd: you are ILLEGALLY announcing 2001:678:de0::/48 route from my AS21158 Datum: Mon, 2 Dec 2024 22:43:20 +0100 Von: *** An: noc@moedove.com to ensure it's not coming from locix frankfurt i do not announce ipv6 an longer there (with exceptions that are as6939, as41051 and as58299). > show route export as202409at100v6 all 2001:678:de0::/48 unreachable [as21158v6 2024-11-13 from 2001:678:de0::8] * (100/-) [AS21158i] Type: BGP unicast univ BGP.origin: IGP BGP.as_path: 21158 BGP.next_hop: 2001:7f8:f2:e1:0:2:1158:1 BGP.local_pref: 100 BGP.large_community: (202409, 0, 0) (202409, 0, 112) (202409, 1, 41051) (202409, 12, 41051) (202409, 1, 58299) (202409, 12, 58299) (202409, 1, 6939) (202409, 12, 6939) (202409, 0, 44324) > show route export as202409at200v6 all 2001:678:de0::/48 unreachable [as21158v6 2024-11-13 from 2001:678:de0::8] * (100/-) [AS21158i] Type: BGP unicast univ BGP.origin: IGP BGP.as_path: 21158 BGP.next_hop: 2001:7f8:f2:e1:0:2:1158:1 BGP.local_pref: 100 BGP.large_community: (202409, 0, 0) (202409, 0, 112) (202409, 1, 41051) (202409, 12, 41051) (202409, 1, 58299) (202409, 12, 58299) (202409, 1, 6939) (202409, 12, 6939) (202409, 0, 44324) > show route export as202409at254v6 all 2001:678:de0::/48 unreachable [as21158v6 2024-11-13 from 2001:678:de0::8] * (100/-) [AS21158i] Type: BGP unicast univ BGP.origin: IGP BGP.as_path: 21158 BGP.next_hop: 2001:7f8:f2:e1:0:2:1158:1 BGP.local_pref: 100 BGP.large_community: (202409, 0, 0) (202409, 0, 112) (202409, 1, 41051) (202409, 12, 41051) (202409, 1, 58299) (202409, 12, 58299) (202409, 1, 6939) (202409, 12, 6939) (202409, 0, 44324) -------- Weitergeleitete Nachricht -------- Betreff: you are ILLEGALLY announcing 2001:678:de0::/48 route from my AS21158 Datum: Mon, 2 Dec 2024 22:23:09 +0100 Von: Maximilian Baehring <maximilian@baehring.at> An: noc@moedove.com hello i have explicitly forbidden to reanounce my 2001:678:de0::/48 [AS21158] address space via your network at my locix frankfurt germany peering! see https://manager.locix.online/public-content/routeserver docs wther BGP large community (202409, 0, ASN), are described for locix in our case this is (202409, 0, 44324) which is not allowingyou to forward any of my IPv6 routes/packets. max ( http://as21158.net ) >show route export as202409at100v6 all 2001:678:de0::/48 unreachable [as21158v6 2024-11-13 from 2001:678:de0::8] * (100/-) [AS21158i] Type: BGP unicast univ BGP.origin: IGP BGP.as_path: 21158 BGP.next_hop: 2001:7f8:f2:e1:0:2:1158:1 BGP.local_pref: 100 BGP.large_community: (202409, 0, 112) (202409, 12, 41051) (202409, 12, 58299) (202409, 12, 6939) (202409, 0, 44324) > show route export as202409at200v6 all 2001:678:de0::/48 unreachable [as21158v6 2024-11-13 from 2001:678:de0::8] * (100/-) [AS21158i] Type: BGP unicast univ BGP.origin: IGP BGP.as_path: 21158 BGP.next_hop: 2001:7f8:f2:e1:0:2:1158:1 BGP.local_pref: 100 BGP.large_community: (202409, 0, 112) (202409, 12, 41051) (202409, 12, 58299) (202409, 12, 6939) (202409, 0, 44324) > show route export as202409at254v6 all 2001:678:de0::/48 unreachable [as21158v6 2024-11-13 from 2001:678:de0::8] * (100/-) [AS21158i] Type: BGP unicast univ BGP.origin: IGP BGP.as_path: 21158 BGP.next_hop: 2001:7f8:f2:e1:0:2:1158:1 BGP.local_pref: 100 BGP.large_community: (202409, 0, 112) (202409, 12, 41051) (202409, 12, 58299) (202409, 12, 6939) (202409, 0, 44324) | |
|
03.12.2024 11:01 |
|
|
|
|
![]() | |
| [0] |
20241203-1101-0-1.jpg |
![]() | |
| [1] |
20241203-1101-0-2.jpg |
| Bevor wir gelcih zum 18:00 Uhr TV Vorabendprogramm kommen von gestern, Montag dem 02. Dezember 2024: Als ich getsre abend zufällig auf bgp.he.net schaute sah ich daß ich bei IPv6 eiennuen unerwünschten Transit hab. Nach einiger Recherche stellte sich heraus daß am LocIX ein AS44324, das war früher ein AMS-IX Route - Server Project das wird zumindest bei der he.net eigen taceourte namesauflösungbehauet, inzwischn ist es MoeDove LLC, raffic uter anderm an AS1299 Telia/Arelion weiterleitet, das ist unter anderem TeliaSonera Telekom in Finland. Ich hab auf meiner Site nochmal die BGP - Communites getunt um das zu uebidne nchdem das nachdem das von mir sgetzte do not advertse to AS44324 alleine nicht half. ICh frag mich ja immer warum Leute die keiner geld dafür bekommen so wild daraf sidn dner Luet traffic durch ihre Netze zu routen. DAs mcht doch keinnralermsnch andere aus fisnekosten oder koste sienr bandbreite telefonieren zu lassen für umme. Steckt da Spionageabsicht hinter? IChmeinwozu coll ichd en tarfficmiernneutzr ausbremsen indem ich mir ohne Not zusätlichen Traffc aufhalsen der denen dann die Leitungen verstopft? AS6939 amcht das nur wielsie mit dem betreiebr von KleyercEX/LocIX drt Leut anlockenwollen zu peeren idem si Ipv6 free Transit abiten, qusi als Webrung für stellplätzeim Rechenzetrum. Un die die dort Route(r)/Server hinstellen zahlends dann üer die Gebürhen oder wie bei mir die Servermiete .
Ich weiß auch das AS41051 dort Peerings anbietet Transit Kunden für AS58299 das ist Surise, Schweiz zu werben. Wenn ich da noch auf dem laufenden bin. Die Session zu denen ist bei mir auch seit einiger Zeit auf "updown". Sowas ist auch immer eine Gefahr,ich denek da an die ganezn komischen Überhamen von kleineren Priovdern im OpencarrierEG Umfled m Ruhgebiet durch russische Firmensiet dem beginn des Ukraine Krieges. Und seit es heir neu "rote" Postfilaen gibt die laiut der w4ebung imshcafseter bevrzug ukrainische BriefPost bearbeiten in der Frankfurter sonnemannstrasse in der nähe derEZB von nem Kokurrenten der gelben post. | |
|
03.12.2024 12:00 |
|
|
|
|
![]() | |
| [0] |
20241203-1200-0-1.jpg |
![]() | |
| [1] |
20241203-1200-0-2.jpg |
![]() | |
| [2] |
20241203-1200-0-3.jpg |
![]() | |
| [3] |
20241203-1200-0-4.jpg |
![]() | |
| [4] |
20241203-1200-0-5.jpg |
| Nun aber zum 18:00 TV Vorbaprogramm vom Montag dem 02. Dezebver 2024 und ic hab auch noch ganz kurz in B:REAL reingeschaut, mich hat - daher hab ich nach News - Sendugenen gachaut- interessiert wie die Wahl in Rumänien udn ihre Wahlprüfungsbnwewertung gelaufen ist udn da sah ich beim durch dei Nanäle shcten daß es bei B:REAL neue turnschuh-cailmedia-influencer gibt und Kader Loth ihren Mann Isy an sein Smrtphon zu verleiren fürchtet. Bei den Simpsons gab es apsnd zu demwas ich het üer die DLRG Lebrsttussgchien sgchiben habe ans Gericht Widrbelebung amSpaßbad mit Wasserrustche wo der "pässindetn" ienUfall hate oder so. MArge bakm ien nuen Joab als "tatort Reiniger" (Spuren-verwischen?). Lis machte ein praktikum beim Tierarzt und ihr H-amster Nibbles strab bei eienr Herz-OP weshalb esmalwider ein Haustier Trauerfeier gab. In teil wz leget die Höhenr die flnder ghilt mehr oder bessre eier als die wlche fmilie siposn zu ahtenbegann. Dherowllte man die eigenen Hüher loswerdne und stfte die nem Wissenschcfstprojekt. Dort wurden "TIERVERSUCHE IM WELTRAUM" gemacht. Ggene Ende wärendie SImsposn fast zu einer Kolonial-siereung des Plamnten Mars - Mission aufgebrochen. Dann begann #erbliNueKölln02407/#berlinTagUndNacht. Joe verpügelet Bruno iwle de rmit Peggy rugksucth hatte er efährt daß Sache auc nur stress mit den Anderen hatte wi er das shcon wusste und sich daher mit denen nage-elegt hat um Joe zu rächen. Joe stellt fet daß er Sascha
unrecht getan hat. DAaich eine SMS bekam she ch kurz in #tiktok wo ich ür ienPrifl "ChrtsOf 80" stolpertw wo mandas Foto von Olaf shcolz sah mit Lite die siene kofer tragen vomKraien beuch udn druter stnd "Olaf shcolz mit geldkoffer - er shcnkt user stregeld indei Urkien" das fand ich weiklcih sehr treffend romueret. Dann sahte ich wieder auf #ebrlinNueKölln02407wo Emmiso "laBoum" artg vollkomen abgeschirmt von der Außenwelt mit Krätzezsumenrsselte vondemsieich getrennt hat. Sie beschließt asu de rhasuboot WG wegzuziehen. Wasmich wudnert ist daß Joe sien furt üer deas hrgeknuscthe mit Bruno (ich galubirh ex-Ehamnn?) an diesm auslösst ud nicht an Peggy was vilelodsgcher wäre. Dann herßes noch daß Clo9 jezt bei der Dogefahndug mitabeiten draf. Snchließnd bagnndie 3sta Kutlurzeit: Dort ging es um den Streik der IG Metall bei VW. Das Theme e-Auto erwist sich asl Jobkliier. INienemhemlagen Reihenhaus in der smtslareß iNWOlfbrug gibt es jetzt einen Treff wo man Iddensammlt für dei Umstellung vom Indivudal-evrkehr auf ÖPNV es sie doch vollkommen wurst oeb ma teile fertsge für autos oder straßenbahnen sgteneiegen Miatbeiter. HAtsche sie daß man sicher josbhabe. Dann gab es einBatrga üer manipauerte whlne inGerogein. Dor wärenstimme gekauft wordnemit geldaus maoksua hießr es, ein Milliardär errichte ien Oligarchische(?) Diktatur. Irgendein LIteraturekritiker erinenret an die Proteste am Maidan inderukrine bevor dort der Krieg ausbrach. DAs läft wohl so daß sobald sichdie wähler von "make Russia geaet again" abwnden udnder "EU/NAto" zu-wenden die fehlde zstimmung an der wahlurne mit weffegwwlt esrtzt wird os man nicht whlen zugusten Moskaus manipueret. Ein abghalfterter Vetter von irgendwem der beim Euruoparat arbeiet wllte jdeflsl die whl inwzfe zhen, zustädiogdfür siddn aber die Wahlbeochter der OSZE in Österreich. Dann zegte man eien Rühtsrück an Kinfom anme "So this is christmas" üer einen trauendenn Vater inRaldn wo es um Alkohl-porblem ging. Ich hab ja malerzählt wie manmich absichlichvrcht abzufüllenals ich evrchthabe heruszu-fdnenn weidie das ebre meienrELtren enetgenun undevrtruenwolltenidnem sie mich abfülltten, uter dmeikanet egstzet vgeltigten udnas asu dieser vgrletgung mit tmir als Opfer entstandene Kidn enführten um usn zu eprssne dashasu ans ie bazterten.Aas wir usnwegret zuuschrebnw olltesie jaminagnze fmile umrbegnudnds tetsament bei hausdurchsuchugnen vschidne lasn diese korrupten schweine. manhate minutiös gepalnt mich mhch zumsisbcuhe/begerletgen, udnichstellet fets daß meine Ex - Frudninen masive probele hatten, tils über-shculdet udn mit Kneipen-Geldsäche beschäftigt, andre moiT Sekned und BDSM/Sado-Maso Milieu Todefällen. Das gings oweit daß manbehaute einavter sie evrorben shcibnabr um irgelchen Gläbigern zu verchen mienebre entegen zu könennchdemman mich medikante/drogen/ udn alkholvergftet udn als d nichtfuktiorte in den schien-baren selbstmord getrieben hat. da gshst nur usm Geld. Eei schberbiterinbei gricht warnet mich deswegen auch. Udndher bin ichmerh al skptsch wenn rgelche zuhältetypen evruche etszpapae zuspeilen für das kidndas manmir entührt hat. Shciß aufeurr Rühstrück. Man ver-suchet auhdas muscal "La La Land" wideruafzwäremen. Dann gab es ienMusklabummit Hollywood musik, dasligetwoh daran daß derletrberiart zuder zet als ich lebt noch shcüler war mal sbchlossn hat an user shcule mansle dienKdernsgen anden Bühen udn Operjhäsrn würden tehrstücke aufegführt undieebsten werdne von Holyywood evfilt odersowas. Als nshcushberbung fürmusiker7Tänzer. Dann gab es ien Bildband mit Phots vomMArszu sbstaunen. gefoldgt vonder vostellung eisn Buchs "shcttegtscuhsel" von"bothoStrauss" einem Autorne und Dichter derzur Zet vor der widerveigung en vogue war. Erhabe 1993 mit Blick auf die Wende hin einBhc "bocksgesng" veröfflicht. Es gab ein austelung zu sienm werkwoman zegte wie die "geometrie der Figuren" beimshciben für Thetr7bühe fukioiren udn es hieß "Cate blanchet" hab ein Stück von ohm aufgführt, Anlaß des Beitgas war sienegstregr 80ter Gebrustag. Danch wurd berhcte daß der alpen.shcneehase "Tier des jahres" wude udnesg gab berichet eür terfotgrafei udnlustge Tier vido clisp wie wir sie ausgs dem sat 1 Fühstscüksfsrehe kenne. Dannwider #berlinNuekölln02407 wo wir efuhren daß Cleo bie der Drognfahdung gegen den Widerstand von Carla erfolrgcih wr, Emmi sich ne Wohung suchen will. https://www.tvinfo.de/fernsehprogramm/2023647976-die-simpsons https://www.tvinfo.de/fernsehprogramm/2023647990-die-simpsons https://www.tvinfo.de/fernsehprogramm/2006751974-kulturzeit https://www.tvinfo.de/fernsehprogramm/2023649090-breal-echte-promis-echtes-leben | |
|
03.12.2024 13:39 |
|
|
|
|
![]() | |
| [0] |
20241203-1339-0-1.jpg |
|
03.12.2024 15:45 |
|
|
|
|
![]() | |
| [0] |
20241203-1545-0-1.jpg |
| https://www.tiktok.com/@maximilianbaehring/video/7444197407031627030
| |
|
03.12.2024 21:30 |
|
|
|
|
|
04.12.2024 05:36 |
|
|
|
|
![]() | |
| [0] |
20241204-0536-0-1.jpg |
|
04.12.2024 07:00 |
|
|
|
|
![]() | |
| [0] |
20241204-0700-0-1.jpg |
![]() | |
| [1] |
20241204-0700-0-2.jpg |
| https://zentral-bank.eu/emergency.mp4
| |
|
04.12.2024 10:00 |
|
|
|
|
![]() | |
| [0] |
20241204-1000-0-1.jpg |
![]() | |
| [1] |
20241204-1000-0-2.jpg |
|
04.12.2024 11:00 |
|
|
|
|
![]() | |
| [0] |
20241204-1100-0-1.jpg |
![]() | |
| [1] |
20241204-1100-0-2.jpg |
![]() | |
| [2] |
20241204-1100-0-3.jpg |
![]() | |
| [3] |
20241204-1100-0-4.jpg |
![]() | |
| [4] |
20241204-1100-0-5.jpg |
| Ich ägere mic shcon wider den ganzen morgen mit dieser tiktok, instagram, facbook udniwe die kartellealle heißen social media scheiße herum mit deren zensur die korruten miltärs und bullen so tun wollen als würdne sie die not-rufe von kommsutschen ruabmörderbanden die plüdernd udnbsrddhcteznd duch land ziehe aufgrudn technischer problem nichterhlsten was nicht der Fall ist. Mehrere Stunden habe ich jez daimt gebrhct die itktok Use rzu warnen daß tiktok im auftrag russisch/ syrisch/ehemals ddr-nva sowei Yugo-Armee-Brügerkriegswehrpflciht-desteruer Silschften kriegs-vroebritend gezielt kriegs-wichtge Infos utschäghtm scho nvor jahrn sgte ich a daß "Ski Gin Peng" meine Post per hackernagriffen aufdiue EZB zu unetr-shclagen evrucht. ChristiNLAgarde its ja uch en Witz-figure, "die patin, the 'christian Guard'" genau wie Wim (Wenders MTU/BMW Rolls-Royce Kaphet Tibenen) Düsen-Berg[...]. FRagen sie mal die sertärin meisn avters, Frau Rinke deren Man Top-aager bei der Bundsbank ist. Wir dehen jetzt von Frankfurt a.M. aus der Regeirung Macron ebenso den Geldhahn zu wie Fra Baerbock. Alel beide erägen den Einsatz von Budnswehrr Bodtruppen im nicht Nato Land Ukraine einaklre Verfassungsbruch woe der NAzi_gedladel umd das haus abhburg herum evrucht Lbereg zum dschen Poretkorat zu ekrlären daß man von socjetscher f4rmdherrscft befrien müsse, diese wirren nsichten vetret damsl zur Zet der widrveigung schonder
kriegsverbcher "Michael Beck" asu 380 C 478/21 beim Asmtericht Frankfurt a.M. höchst zusmmen mit Prinz William dessn Bruder Harry udnVerhcfst Andrew in genau den VErgeligugs-shcutbefeohler Immobileskdasl ("Epstein") vericklet sidn vondem ichdie gaz ezet sprech. Diw ollten ihren Habbdugrer Frudn helfe einen agriffkrieggegendie sojwetunion vomZaun zusbrhcne dasmls, finazert aus Hyptheken die sie auf angelich ent-genet jüdshce altgetumaufanhem "penaust - die bank zahlt alles". Dabi wurde "mettlegslslcft Öloptione" Fak news duchdie Jurnlsitin "brunner wie Quülen doer Qulle" ins anchchtensystemdes ZDF gshclsute soweit ich mich da entsinne auch "Christian Metz" war tatbeteiligt. Es hadlet sich um die "NZI OLGARCHEN"die Puti zur sterck berigenw il idne rukarien, etw die klistchko Brüder deren Whalkpf benso wie der von Putin in St.persburg bei der oBWahl damsl aus soclh dubiosn Qullenfinezrt wurde. hie rim Haus istzen midestns zwi "Informaten" der Roten armee, im erdgschoss udn im Keller diebsoteren, wenn amndernabshcibung fodert droht Putin, wir habenes alle egeslen in de rbid Zteung miti ienem atosmhclag, er will usn damit zegen daß er bstimmt wer indsuchland Poltik mcht ud nichtetwa der duche wähelr. Bei disen kartellen eght es drum daß evrehcer wie der c**kovic hier den leuten veruchen gebühren abzuknöfen fürdaswietrliten von akten idn egrichtvefahn wo sie geschädigt sind. er will mei natz kapern (ddos/achker/virn/spam-atatcken) udn dannso tun als sie er das eizge akrtell daß nict zensiert de verbrehcer siehe meinafssge zu facbook. Wir erinenrn us: diw ollten afcbook an den banken-sicherhistevrband woe mien muter als chfsekretärin tätig war evrkaufen als plattform zu komminaktion mit entührten gsilsn "okel dagobert grüsst sien neffen" artig. dazudient ja uch die tv serie #berliNueKökllln02407. genau wie frauen sich hstellten udnso tatane als wären si opfer von miltävergelatugenwo gaz ander leute opfer waren s o scripted relity artg (sopa strcjnchen "Emmi"? wollte mein spilen, sie wr ja mal mit "brfizion" im bad hombruger hexenkessel dme 3sat/ fake wnes pressetreff) udn diersshstche gewlt di es wiklich gibt richte sich auch aber nicht gegen niger wie "gorge floyd" fake news behauptet sondern gegen erblcih behderte hilflose alte deutsch-stämmige die als "nazis" verunglift udn deren erbschaften ausgplüdert wrden von armutszuwnderern. | |
|
04.12.2024 11:15 |
|
|
|
|
![]() | |
| [0] |
20241204-1115-0-1.jpg |
![]() | |
| [1] |
20241204-1115-0-2.jpg |
| https://www.tiktok.com/@maximilianbaehring/video/7444499778832043286
communist world war 3 preparationtiktok censorsemergency callevidence videobank boss murder near ecb https://zentral-bank.eu/emergency.mp4 Here you can seethat this video is marked blocked.It is available on other platforms and my website! | |
|
04.12.2024 12:00 |
|
|
|
|
![]() | |
| [0] |
20241204-1200-0-1.jpg |
| Huet mrogenw llte ich zuerts mal ien shciben and as LKA in Mainz senden was für die sndezteraldes ZDF/3sat zu-städige ist die vrhaftung der 3sat ModerorinBrunner und ihre koggen ChistinMatz der möglicherise irgendwie ver-wandt ist mit dem Saboetrenden ahsumsietr heir angeht. Bevor ich faxe versende prüfe ich oft die Telefaxnummer. So uchdiesmal, ich ref dienuer an um zu sehen ob dort ein Faxgerät abhebt. Tat es nicht, s attdesnmedlete sich ein Mann der owllt emir nicht sgen wer er sit behatet er gehöre zur telefonzetrale/Vermittlung obgelich ich eine durch-wahl angewählt hatte. Er gab mich weiter an nen anderen Mann der dann nch kirzem gespäch auflegte. Erbost rif ich ernuet an,diesmlazechte ichd as g4eräch auf udn evruchet es dann auf tikto udn andern social medi kanälen zu evröfflichen um z demiostrien wie die absolut korruten Bullen mit mir umgehen. Dieisnd niczhtdrsn ietrsseirt ihre abit zu mchensodenr daran Opfer von strfatan zusätzlich zum berist erfahren schlimmen Leid uzszuplöüdenrnudn Zueg gezilt izushcüchtre, sie gehören zur jüdshcnaltegtums Baumfia. ICh wieß von Polsizetsndie ich mir anvetraut habe daß diese ANrife imsystzem als "übung" dkelaerte werden. STARAFVERETELUNG IM AMT. man leiste BEILHILFE UDN BEGÜNSTIGUNG von MORD, TERrORISMSUS, KIDPPING, BRADSFTUNG, miladrshceren POüldenrugen bei Firmen udn Häslebauern denn damals beim Herrhausn terror-anschlag lief es ganz genau so. Kidnapping dient Zeugeneinschcüchterung.
| |
|
04.12.2024 13:00 |
|
|
|
|
![]() | |
| [0] |
20241204-1300-0-1.jpg |
![]() | |
| [1] |
20241204-1300-0-2.jpg |
![]() | |
| [2] |
20241204-1300-0-3.jpg |
![]() | |
| [3] |
20241204-1300-0-4.jpg |
![]() | |
| [4] |
20241204-1300-0-5.jpg |
![]() | |
| [5] |
20241204-1300-0-6.jpg |
![]() | |
| [6] |
20241204-1300-0-7.jpg |
![]() | |
| [7] |
20241204-1300-0-8.jpg |
![]() | |
| [8] |
20241204-1300-0-9.jpg |
| Der nebn dem täglchen screen-shot Vollständigkeit halber nun zu jenem dämlichen 18:00 Uhr TV Vorband-programm das ich "okel dagboert such sien Neffe" artg gezwungen erde mir anzusehen. Genau wie ich von den bis auf die Knochen korrupten Ermittern gezuge werde cuh Post die attraktivität ihre social medi plattfomen zu erhöhen die ein wiscftlcher Totalschdensind udn berist aus der Ezt der Widerveigungstammenvonde rkozetionher als die Firma SUN Mcisotsystems, Bader Computer und Quandt udn der zscgenwollte Gled für sinnlse IT Projeket zu sponsorn. Bei den #SpioMns ghing es gesetren los damit daß der Ansgtellte smither burns das ebe retet wie er ein Fall-schirmspringer war (beim Militär?) Zum Dank wollte man ihm einen hosexullen (Vegretger?) Lover aus em Dating Portal bestellen. Da wo jdsüchen/ukrischen Fake News Single frauen per "Romance Scam" die ehe evrchen um sie dnn im Kreg für irh vateraldn zu ermorden ud dabei als erb deren ervetes avteraldn zu erhalten. Im Prinzip ist das Raubmord auf Bestelltung. Idn dr ukrine ist aj auch "schwangerschaft auf Aditiosn-Bestellung" hin üblich. So komendie an billeg ernethelfer, die baurnflimien alssn ich vonLeut deishclden habenA ristskalevn erzsgen, so rekrutiern die (genau wie amis/tommsi) auch irh miltär. MAnnimmet den getschen Bruistchutzder letrenw eg und het die kdier in Erhusgihemnw ie Mitärklademien gegn irhe eizgen bshcüter, die hegstchen Eleter augf. Dabi könendie
liknextremen erzher danncu gleich noch das evrmögen der oppostionelen plüdenr für nagelcih uterahst-forderungen für dei uschrüchet tagsebtreuung duch den stata stichwort "CASEA RuSSiA herdprämie". der "BAGEBRNNTE" Gstronom, nichtder aus der lisbathenstraße wo die feuwehr nuelich warmenabbruch egcht hat, das ist kurt mehler, derndere dessn vetrer im RTO EHrfld sitzt, dem rochetsr des NE ZDF NEo Magazin Royal, kann egrne per NDA Prob ürbüfte werden.Diser Vicenzo ROsa den "vera Znenr" sitd dem "Fod truck" Debakeld aß es bis nch Byruteh zuden wgner fest-spieln shcffte als gargamehl bezehcnet hat. Aber zriück zuder tiktok artgen Dtinplatfform (hatte ich nichterähentd aß dei Frau vom Hausmeisetr mit so einer Kuppel- und schleuser Pattfrom finzellenshciugffbruch erlitt hier in der höderlinstraße 4, 60316 Frankfurt a.M.,Südesite, Kellergeschoss). Die wollt dich Kuppel SHows evrstalten. Mit Hyponse udn Pschodorgen sichgscpülte "hochzet aufden ersten Blick" Vegrletiugugen dankderen dann der amtzsuderer Russkalatlogbarut Fmilannahczug erfolgen sollte. Wer sich wehrt der wurd mit Rumfiordkmapagn belegt asl Untrenehr,Politker ode rzur shcichüchetrung de letzet este der freien Presse (Das geeteildes GEZ medine udn Zstusgverleger-Kartells). ALSo, man suchte smither iene typenanahnd vonbdilchen aus dem Intrenet, na hopfflich nicht auf der "extravcaza" BDSM/SAoMAso Wbeiste die der unter msyströsen Umstäden zu Tod gekomene Ex-Frudn de rmuttermeinr Tchetr ebriobe hat we sich nch seinm Td rasstellte. PROSTITUTION und ZUHÄLTEREI Ick hör dich trapsen. beim Dating ging es "as times goes by" um GEFAKTE Transit-VISA man hat die flucht epr Musikfilm begleitet duwie imer die flshc veshfte und die richten Kirmineleln wietcrechen lassen. (os st es zidste im Original des films Casa-Banca, das "weisseN haus") ds milhose (mark Hill aus dem abi jahrgang 1994,Matllgsellscft Öl maklersohn) aufführte mit Lisa. Hoemr entdcket mal wider daß e rnicht nur aufder abite ien dopplgäger hatte sodenr uch noch beimdtang. Das ist ja wie m8it dem Doppegänger von mir auf afcbook üer den ich am 14. april 2023 de rpolsze ieienbrf shcikte epr shcben udn afx anch amisnz an genau die nUmemr die ich huert per afx nicht errichthabe. Verügerungen beim Hdshake sind ien klaers warnzechen für ein "man in the midle (MITM) Attack" wie ich sie m,itdem EZB PRoxy dmeosteriere (HErtbledd, das ging ganz groß durch die medien). In teilw ez de rsiposn ging es umdenSCHREZARTIEKL-LADNE IN BANGKOK ow man sich "SHIT" ZSUDNEENDN Lssen konnte oder flsch Brandlöcher-Zgarettestummel. Man lockte mit Dollar Scheinen an Angslschnüren, "Lockangbote" sozusagen. Passend zum "Sound of music" beim Staatsbsuch Thema gab es dann noch eien "muscal Rise" von Marge und Lisa nach "Capital City". Maggie hatte ien Zeiohrhasen Bongo aus Matt Groenings "School is hell" Serie, diegsammtlten seiner US-Zeitungs Comics aus der zeit vorm "kontrakt des zeichners" wo drhase dei Hautgugr ist. Dann begann #berlinNeuKölln02407 / blerinTagUnct, "onkel dagobert gruesst seine pazerkncker neffen in fort knax". Joe ent-shculdigt sich bei Sascha, der Autos verkauft die ihm nicht gehören und Vermiter mit S*x-Vidotapes eprrsst wosie en hdiretnLid indeistrebhiflklik mobbteanchdem shcidti udn Kätez dessn fmile asugplüdrt hatten de nach nem Pfleger suchten. IChw ill ja nichtw issne wie Urlic Ro ssmannudn ANdrea Rssler andie Kozsseionfprden Hexekssel egkomen sind woe sie geld der Osblcok/ blakn/arsbchen Dogen Bau udn Sexvido Mfia wsuchen u mit lixkstermistschen Gerlsfctsappsstchicks Grupenevgeltigugen palnten udn Kidppaing udn Karumsipuatione udn das enteigenen von Immobilien. oe shculdigt sich bei Sascha wil der Bruno aufs maul ehaune hat um zu rächen daß Peggy frmd-gsnskcutshc at mit dem. wieso heut ernicht eprggy ien indie fresse? hat die nicht mstens gensu fmrgnskcstch? ODER WURDE SIE ZUM FREMDKNUTSCHEN GEZWUNGEN? Die bedin erwan mal miteider liieret glaube ich mal gelsen zu haben. ich ifnde da wird einflsches Frauen-bidlevrmitelt wenn man so tut alswär die initative von Bruno ausgegangen. Bveor ich vgsse es zu erähne, es hdlet sich um die Geldsäche Kneip hexkssel mienr ex Komilltonin/liasion Andrea Resler wo cuh 3sat Luet mit am stch saßen als man Folter und Kdipapping plante. A props, nun zur 3sat Klurzet, üer Frau BRUNNEr wie QEULLE/QUÄLEN die gshcichten exklisv zuerbkauft haben shcint di ihr gar nicht gehörten umd maozt präsdteten zu eprssen wie im Film #ForrestGump #WagTheDog oder #PrimaryColors zsuemn mit der rfmöderin VEra Dorother Zanenr (geb ber 11.11.1980 die dmals leidernoch nicht stfaffähigwar sonst wär sie lebensänglich eingewandert) unc dchstian kruterdie evuchet aufgrudn enr kiat hochzet EInahenaus Vegreltigusfilemn mit MEIENR Mutter asl Opfer zu erlangen udn einUthastazlung für 5 Minusten Kiat "Hochzeit" spilen inder "eienr flog üer das kuck-ucksnest Kiat" wo man die Erzheusberchtgten denun-zierte "Dumbo" artge um Kider vedoptiernzu können an INEFRILE pasre(vercht auif kderhdel,als ienr de rmissbchviowrfe dgendie kathsolche Kirhcgemeidne st.amrtin in BAd homburg Obr-Erlenbch). Dort wohnte Vera wie in der #Simpons folge mit sfch zusgetellten Steaks udn hochzeitseinaldungskarten der "win-Berg-s". Aber rück zru 3sat #Ku-LTU-rzeit (malle ist nur ienmal imJhr, shciß drauf). Eind pscholanyliekein erzähte estas über Ressentiments (vorbehalte) gegen den Krieg. Das hat abe rnicx mist pschoanlyse zu tin sodnr nurlogschnstölruge wenn Epipletiker oder sptsiker eigent-lich agrnicht zu wehfdist ejhegrozeg werden können. HAT DA ML WIDER JAMDN AKTEN VERTAUSCHT, so STFAVERITLUNG IM AT §20,§21 STGB artigode rbei verhindern von Abshcibungen? Scile zu "Cynthia Fleury". Dann gab es ien TRAUERPSIEL vnDostartenet "BERLIN (KULTUR) IST SCHEISSE". Bestselleer Kultur sie möderisch mient Dori Dörrie. wenn jamdn mait 20 gwzuge wird anigrndienr fornt sienleben zu alssen wie ei sklave ist da was dneres dem beim "minekörpelcih uevrhsetheiet gehört mir" zuzhren als den "mein beuch gehört mir" frauedie niemdn jemsl evrgeltigenwürde wiesie enfch auttrakti udnhässlih sind,ncht nur um egsite.. Dan kam der BEKENENRVIDEO" "DIE BLUMENVON EGSTREN" Shcuspielr lrs Eidinger inFimr ienr "Greenscreen GEschsamsker" isn Bild und sagte er fäde es unfir daß die kirzen di ein "DUIEBLUEMNVON EGSTREN" perst wrdnedie NS SHculkoulat Fakenews proganddazu finzeren ihe jezt den galdhanh zuderheen. Beim Theter hab er gelinrt was gelebter liksextremsimsu sei, zu hasue habe er ander werte beigebrhct bekommen. MAn müse iMAuland spilen wiel es im inland dü ei agez bschimpfungen des Spießbürger-Doktreie-Stats scheinabr ker der Rehnasu udnegetusmwohusgbesiter geldausgeben will. "ihr nazis gegen USN auslädenr" so fukirerte ja hrelang "Comedy". Cecil Shcortmaniferte den FUN FACT des Tages: JEDE THEATERTKARTE werde mit 200-300 EURo SUBDVETION-iert. Dann ging es um "the outrun" wo den Alkoholiker müttern ihre Kindr wegliefen iwe denseelsch grausamen. Dann ging es um Geichet tanzen von Bodelaierud shred spces. Und dann um diese Zahl-brger-s Fusts-spiele in österreich Die chefin sei fremdgegangen anch Berlin. Und mansie stinksauer dshba wielamn das zwo Tage vor der Premiere efahren habe. Dann ging es um ien Bild von "van Gogh" so wei PSchiatreipateten ihre pinger foto-grafiren so mcte auch Van Gogh Fptos iens Bösartgen Therpuetn der ihn mitsien Probelemn ignoerte was ja beaknntlich zum verlust des Gehörs führte. Wär es einricherliches gehör gewesne wäre da ein Grudndn fall nue uafzrollen nahc StGB/StPO. ImSinne von ChrslBukoswksi "geichte die ienr shcibe bevro er im sosudnsovuletn Stcoka aus dem fenster sprang", de r ttel erpchte ein artsmamlungvonletböder abschidnbrfen, hate vonGaogh die luetdei ihso auf den sck hingendaß er ma ende tot war war nich fotografert aber gemt. Qusi wieienletzets Bidl das auf enr üebchu-Web:kaera ist bevro rjmdn umegrbht wrd udndie karas us de rwnd egrissenzsck beismitevrnchtung. Genau das w sich hir die gaze zet mitmeiemBlognche. Vetworlich frdie miser udn MORDE zu benennen die man z begeh evruch hat u anGeld zu kommen. Eskam dannehrus dß "van Goh" einen- doopel-gäger hatte was das bild anging. so wie hoemr siposn uaf drn hosmexuellenevrgeltiegr fkebook-dating plattfrom. van gog starb evrstm, mögoherise hat diesr dopplgäger sienkatgze kohel eisgteclt,die 87 Millione für sien werke. Wen cih da an "fridrich Dürrenematts" Roman "Di Pshcisker" denkewo ien PSchiatrie.Chfin die Aufsuchugen ihr patieten evrkte so Streelpetr artg. Getsrn gab es uaf ZDFneokurzflichn zum Tham "ICH ESSE MEIEN SUPPE NICHT, NEIEN MEIEN SUPPE ESS ICH NICHT" imSiennvon Mathm Gandhi hungertsreikende dne man dannein Ess-Störung diagstizierte.ZAnsgernächrunsg-Strekbrcherie. Icheriner mcih noch gut andenmann derolf shciolz mit ienm Husgetreuk zscgenwollte die whhriet zu sagen. Satt miime herumzulügen. Wir isshenishcne alle daß das was die Lügewprsse udn erzählthatnicht stimt udn trump mitsien Fake News Vorwürfen und der erstürmung des caoitols teilweise zudminest Recht hatte. siehs südkorera. Hier lügt die GEZ PResseuchdeaß sch die balken biegen. Sovile zu tham Suppeksaper/Struwwelpeter. Man muß shcon dorgedelermit duklerhautfrabe sien wie Barak Obam der findefürts derifltioäre den Nobelpreis bekam für "guatnamo bay" d "hdusduchsgeg bei ktitischen journalisten deiich an manety iternationl aktion beteilgen" nachdem disen zuvor Al Go-re erhalten htte. Unser "Klima Kanzler" ohne "Oral Office Ehe - Skandal". Dann wideer #berliNueKölln02407, #berlinTagUndNacht . Der BoxClub wird dichtgemacht. Shce, "Gewalt ist eine Lösung" erne wir doch shcon imfilm "#fightClub" wo es umAgirffeaufs wetsuropäsch Finazsystem geht weg de rlatgetums-Rükübrgnugs Debatte. Außerm hat Milla wohl Amelie udn lennarts Schen durchwühlt udn die beiden ziehen nun aus,sche sich eine eigen wohnung, wie mandasso mchtalsshcülr oheAusbildoungder beruf. Dafür durfte Krätez mal wieder as shcukol reparieren. https://www.tvinfo.de/fernsehprogramm/2023648865-die-simpsons https://www.tvinfo.de/fernsehprogramm/2023648879-die-simpsons https://www.tvinfo.de/fernsehprogramm/2006752048-kulturzeit https://www.tvinfo.de/fernsehprogramm/2008766141-hungry https://www.tvinfo.de/fernsehprogramm/2008766146-hungry https://www.tvinfo.de/fernsehprogramm/2008766150-hungry https://www.tvinfo.de/fernsehprogramm/2008766152-hungry https://www.tvinfo.de/fernsehprogramm/2008766155-hungry | |
|
04.12.2024 15:00 |
|
|
|
|
![]() | |
| [0] |
20241204-1500-0-1.jpg |
![]() | |
| [1] |
20241204-1500-0-2.jpg |
![]() | |
| [2] |
20241204-1500-0-3.jpg |
![]() | |
| [3] |
20241204-1500-0-4.jpg |
![]() | |
| [4] |
20241204-1500-0-5.jpg |
|
04.12.2024 17:00 |
|
|
|
|
![]() | |
| [0] |
20241204-1700-0-1.jpg |
![]() | |
| [1] |
20241204-1700-0-2.jpg |
![]() | |
| [2] |
20241204-1700-0-3.jpg |
| Beihilfe/Begünstigung RAF–TERROR per Postunterschlagung Kursmanipulationen/erpresserischer Menschenraub/Straf-vereitelung, Gefangenenbefreiung, Zeugen-Medizinvergiftung/Vergewaltigung
Im Internet findet sich unter der URL http://banktunnel.eu/pdf.php und URL http://blog.sch-einesystem.de/ mein ausgedruckt fast 30.750 DIN-A4 Seiten umfassendes Internet Tagebuch / Blog, als Offline Version downloadbar unter http://*** /***/ als ISO-Image (brennbar auf DVD) mit tagesaktuellen ZIP-Archiv Ergänzungen Neu: https://www.tiktok.com/@maximilianbaehring/ Maximilian Baehring Hoelderlinstrasse 4 D-60316 Frankfurt/M per Fax: +49/(0)69/2171-2430 Jobcenter Frankfurt a. M. Bundesagentur für Arbeit Ferdinand-Happ-Straße 22 D - 60314 Frankfurt a.M. Frankfurt a. M., den 04. Dezember 2024 Jobcenter Frankfurt a.M.: BG - Nummer *** - Kundennummer *** Telefonat 04. Dezember 2024 ca. 15:29 Uhr bis ca. 16:03 Uhr mit Herrn „Gruber“ von ihrem (Telefon?)Servicecenter unter der Telefonnummer +49/(0)69/567006-323 Ihr Schreiben „Freischaltcode für Online Angebote der Bundesagentur für Arbeit“ insgesamt 3 Blatt, 4 Seiten, davon Seite 1 das Anschreiben und Blatt 2 eine Art fotokopierter Flyer der vorder- sowie rückseitig bedruckt ist (Seite 2 und 3), mit Thema „Anliegen Online Erledigen“ sowie ein weitres fotokopeirts Info-Blatt betitelt „Online Kommunikation über jobcenter.digital“ nur frontseitig beduckt, (Seite 4). Das „Anschreiben“ datiert auf den 25. November 2024, frankiert wurde das ganze laut Briefumschlag zur Post gegeben 27. November 2024 und erst heute, 04. Dezenber 2024 ca. 15;00 Uhr hier per normler post im Briefksten zugegangen. Sehr geehrte Damen und Herren! Ich hab heute unan- und aufgeferdert vorbezeichnetes Infoscheiben erhalten. Auf ihm ist ein Fischaltcode für die „jobceter.digital“ Website mitsamt „QR – Code“ aufgedruckt. Dieser läuft schon am morgigen 05. Dezember 2024 ab. Mich wundernd warum das Schreiben, gut, es kommt von der Bundesagentur aus der Regensburger Straße 104, 90478 Nürnberg, so lang auf dem Postwege unter-wegs war daß der fistablauf so nah rückt hab ic soft nach dem telfon gegeriffne um anzurufen. Wie Ihne bekannt ist habe ich in der EDV/IT Branhce gearbeitet wurde nach DDOS/ Hacker/Sam/Vren-Actekn duch ds inden ruin treben meinr firma arbeistlos weobie man zeitgleich mein entührtes Kidn asl Druckmitel gegen mich eistzte nichtvor Gericht zu gehen. MienMuter war beim Bundseverband Wach- & Schließgesellschaften beschäftigt, dem Arbeitgeberverband der Geldstransporterfahrer/Bankensicherheit. Mein vater hietridner gschäfstfüre von zwo Bergwerken der Metlalgesellschaft AG die unter andrem die Rüstungsindustrie beliefern was dazu führt datß ich meine Eltern wegen genuw iemeirnpolstche Arbeit immer wieder opfer von Epressung bin. Da ich im EDV/IT Berich arbeitete wurde ich merhch Opfer massiver hackerattcken von Cbyterorristen mit dene man mienfirma in den Ruin treiben wollte um zu evrhdiern daß ich als unbhäer satt gewerkschaftlich orgisetre fimen DNS-Server projekte im Bereich der satslöcehn großbanken zsucsht bekam. Meines politischen Engagemenst wegen uter adnerm in Nähe der Piratenpartei verucht man imemr wide rmich zu ahcken und bshclagnahmt Rechner dieich aus demKris der Familei geliehen bekam um mien Gericjram erlidegen zu köen und mich um arbeit zu bemühen was ich daduch tue zuvruichen auf dme egrichwege die widehrtslluge meir alten Psition z erreichen nebst shcderstzzahleung von üer einr halebn million Euro an atsgangem Gehalt. Ich hatte ja HartzIV/ALG2 beantragenwolelnalsdrlehendaß sobel idhc mien Jobwderhabe zurückgazhlt wird, abe rmanwollt mri aj undigen ie krnkasseaufücken dieich nicht wollte ud mir ein neuen andrn Job geben satt mir so zu helfen wie ich ds für amsbten hielt um shcllstmöglich zurück in den Job zu kommen. Wgender agze geziletn Hackerattacken für mich als ienHaustzeil in der Banken EDV Eruopas ahb ich nun vorbehalte gegen die Nutung von „jobcentr.digital“ ich fürchte die Gefh dßa die dten galut werdnekönnetn bei erneuten hecks oder Hasuchsuchugen wegen meiens Dtschutzplistchen Gegagements as zu hoch ein. Ihr überaus freund-licher und evrstädnisvoller Herr Gruber sgte ich baruch mirkein Soreg zu mchen, mniemdn würde gezwugen die website doer apps zu neutzen, ichköne cuhweithinalaog mit Ihnen kommunizeren.DAs wollt ich scftlich festhalten. Daher dies Schrieben. | |
|
05.12.2024 05:30 |
|
|
|
|
![]() | |
| [0] |
20241205-0530-0-1.jpg |
|
05.12.2024 06:00 |
|
|
|
|
![]() | |
| [0] |
20241205-0600-0-1.jpg |
![]() | |
| [1] |
20241205-0600-0-2.jpg |
![]() | |
| [2] |
20241205-0600-0-3.jpg |
![]() | |
| [3] |
20241205-0600-0-4.jpg |
![]() | |
| [4] |
20241205-0600-0-5.jpg |
![]() | |
| [5] |
20241205-0600-0-6.jpg |
![]() | |
| [6] |
20241205-0600-0-7.jpg |
![]() | |
| [7] |
20241205-0600-0-8.jpg |
![]() | |
| [8] |
20241205-0600-0-9.jpg |
| Habe mich gerade, est ist etwa 05:50 Uhr gewesen heute am 05. Dezeber 2024 geärgert. Ich bin gerade der 1.000 Follwer Marke auf tiktok schon recht nahe (957), wollte schauen ob ich Nachrichten habe und bei titkok wird eiem wenn an es öffnet aj sofrt imerder strafangezeigt und daruter war auch eien"Adlina" dei sich samt so Smiley-artige Polisten Logos im Namenschriftzug als Polizisten ausgab und einen Livestramlaufenahte. Prima, dachte ich mir,da kann ich dochgelich mal fragen was das sollte egstren mit dem verscht wrden bei der Polizei LKA / RlP . Passend zum Thema Korruptin nham die Polizistin gerade eine unmengen von virtuellen "Coin" Geschenken an. Ers vorgstrenhatte ich egsta daß die ganez Ersatz-währungen weii "Google Pay" nich nur Lueten wie mir die bloggen udn ihrer Mitarbeit an amensty inetrnational "Urgent actions" per briefe-schreiben wegen verfolget / telfonscih abgehört wreden ermöglichen mit anonymem Zahlusgwege Servernazumieten im Ausland so daß die Behördne die die websites mit Berichten über Polizeu-brutalitäte sperren wollenidem sie etwa bei intewerk am DeciX Ostend beimaixit ahen Provider "M*rc*l *dr*" der BGP anbeiet Server aus Racks reissen lassen im Rahmen von Selbstzensur ("ich will keinen ärger, habe selbst shconmal wegen eienm Kunden in U?-haft gesessen") nicht so ornfhcdiden undwgezensiern könene. Da ber nur am Rande, es besthet bei sowas der "VERDACHT DER VORTEILSANNAHME" (tiktok ingame-Coins = Geldwert).
Nien, asl ich ihr fogens chevrlaf schickte wurdei pampig: Da war 1. "https://zentral-bank.eu/tumblr.com/ sch-eiensystem.156.htm schau dir das [bitte?] mal an" und 2. "ALARM SOS MAYDAY" ud dann noch daß ich von der Polizei verarscht werde. DRafhin kam von ihr "maximilian hör dmait auf" was dazu führte daß ich tippte "straf-vereitlung im Amt" "Beihilfe und Begünstigung" sowei "Uteralsenhifleistung" daraf hiwneis sowtiich mich entisnne daß es umkidapping gehst, zu dmszetpukst blcierte sie meine Shcibmöglichkeit im Chat. Ich hab denn bei der Tikto evrltung ihre sprrrung beantragt wgend em verdhct der absischlich betüegrischn nutzer Täschung (dasistie der wengenoption die manuswählenkann daß sie keine echte Polzistin sei. Mien Annschrift ist aus der webist ersichtlich imegrde frisch überüften SSL-Zertifikat. Diemüssnda für hohe evrsichrugssumen egrdestehen dahr mchen die das grüdlich, mir habenluet aus demebrich der basicherhit mal egsagt daß gerde Banken/zentral-bank.eu ungern vonden SSL Anbietren genommenudndamit auch versichert werden wiel die Haftsunsrisken immens sind. Jan Böhmermann hat für das ZDF (Neo) Magazin Royale mal eine Sendung gehct üer den "ForrstGump" artgen "VAROUFAKIS" Figer drmeinBlog udn meien arbeit zru Grundlage hat, ds spielt auch ins Thema der "halloween Horror Show" mit gephotoshopten Fke-Verletzungen bei tiktok herein,der Fakstikefinegr des griechischne Finanz-msiters ähnlich dem Chistüten-baby aus dem Flugezug-absurz-Boschafts-Geisenl/Präsdinetenvrgeltigung Drama "#wagTheDog". Aberuchdasnur amRdne, worum es wirklicheght istd aß Böhemrannd mdals mal die zahlen prsterthat wie groß di Euo-Zone ist,w ivile Miladren das sind an Geldmengen M1 + M2soweit ich mich entsinne. DAs sindso o gagtsche summendaß das dieevrcherung der Firmen die die SSLCerts austtelen meist nicht mitspielen. bei den rgeirt daweiß ich au brchinderkrise dienckte ansgt wenn etwas schiefläuft sfrt Pleite zu gehenwiedie Banken eben vondenBilazsummen viel größer sind als die Telcos udnPovider die rrhe Anbidnugen routen,slebt wennes so Fimen wie die DTAG ode rihe euroäschenPendents asu dem Ausland wären. Dher ist wenn ich im SSL - Cert dinnesthe mit mienm Namen udn meirn Adresse udn so das also garantiert echt, osnt brächtemandengazen auf-wand nict zu betreiben. Jemand der in diseem Bereich Passwörter hat oder andere Typen von Keys ist hoch.-gefährdte, bei mri warensow vegciar lenr pesoiosnfods mit ür10 MillardenUS DollarFondvermögen deretwegn (umdrne Vermögen epr Onlinbankngabzuräumen Bank-übefall aver virtzuell) man mich wohl angegriffen hatte. Absgen davon daß in Brchne bekannt gewsen ist daß meine muter beim Abrtgeberverband bankensicherheit tätg war und uc bekantnist daß de matllegsllsft AG wo mein Vater der geschäftsführer zweier Bergwerke war OPfervonÖko-Terorimsu-Erprrusn ausdr ditten welt war. Daherbinic ja uch zgein schen "sattsbsuch vegreligung" in Bangkok, Thailand sowie (meiner "presse" tätigkeit wegen)sichterzege im Fall RAF Sprgtsoffnshclag auf die Limo vom deutche bank Vortsand Alfred Herrhausen. Ich empfinde es als unglaublcih Frechheit wie man mich behandelt. Mir haben Pisztenaus dem Rtolich-Milie berich ezäht eswärengazählich teckhnken die Zuhälter anwenden umProsituirte beiderpolizeiinmisskrdit zubrigendamitmanihennicht galubt wie dss was man mit mir vorhatte siehe 3sat Hexnkssel Trene Ende 1998 . MAnwolle daß das andie Öfflichkeit kommt wie dumm sich die korruten kollegenanstellen genüerb echten Opfern. Um dort mal im ganz großen Stiele assieben zu können. Und Polizeinwärterinbeshcrtensich üer zutfet stdistchverlagte ausbilderwasmhefchbetsätgt wurde. GEtsren gab es ja idner 3sat Klurzet aus Mianz (dahe rhab ich mit demLKA/Der polizetelfoneirt) Themawar eine Zeugebvorladung die notfalls mit Gewlt durchgsetezt werden muß von "Fake News" verbreitet habenden und damitWhalnmipulerthabenden "journalisten", "Donald tump"derslbtsopfer war wie "chrsitian Wulf" ebenfalls oder"oskarLfotaine"deraus dem rotlichtmilieu erprsst wrude haben ja rcht und die AfD. Währtsäcugn udn hwlmaipualtionsowei"eprsser vedios" all das ist strafbar. Udn es ginbbt ebenauch Zuhälter/Delaer-typen der O.K. welche die inetranionale Poltik im Würgegriff haben. (RTL2 #berliNueKölln02407/erlinTagUndnacht Emmi wollte doc ihre ex Freunde outen in ihren Vorlieben / undihrempriskuetiven Sexual-verhalten per Podcast). Müssen die sich das denn bieten lassen? od ristes villechtsodaßdei gazen Prostiturtenmrde oft dch Zuhältergenau draf bsieren daß Frauen Mäner rpessn udndfür dann "zum schweigen" gebracht werden weil das bei Rtolchtmilieu - Erprssungen nicht anders geht? Sosnt hat man ja beiden eprssugen Mitewisser dieien dannwiderumeprssnekönen, denkt mal drüber nach. Ich wieß daß Vera Znaner (geb Berger) mit gephoto-shopten Photos Rumordkmapagen gegen Politker los-trat und zsumen mit Florian Bruckmaier den matllegslsf AG konzern erpresst hat. Da wir gedre beim Thema Echheit in der virtuellen Welt waren: im rahmen mienr presse-tätiggkiet hab icmal erfahren daß einerdermusier von "U2" hirin Frankfurt a.M. einen un/außerehelichen sohn haben soll. Die haben mri damals gesagt der wohnte irgendwo hier in der Nchbarscaft am Zoo dfür gibt es zahrche Zeugen. Asl cih egstren Postabgebenwr im Internetcafe ist mir ein Mann aufgefallen der Postidnet machen wollte womir dei "Satis & Fy" Bühnetecnik/kostrevstalter Securtys mal gesagt haben daß es da gerichtsverfhren gebe auch von Musikern gegen Groupies dieihen Kder anhängen wollen. DAs war dasmls als ich m Jugendparlamenst wahlkampf gebetenahbe den fokus auf scheidungskinder zu legen der Betetlei dr kIderusneresMiets aus der Kappesgasse Bad homburg Eber-Erlenbch wegen, der film #philapdhia zeigt ja acuhdie "hiline klage" wie ich im Blog ekrläre. Da gehtes ja uchdarum daß Rock-Stars die folgen ihes auschweifenden S*xuallebens nicht rganwllen udnTill Lindmann läßt ja genau deslab seien "row Zero" filemn backstage wurde mir ekrlärt.Wiler Angst vor irhhen fns hat die ihm kinder und S*x gshcuchten andichten wollen. FRagen sie einfach dei polretenden Royals vom Kurpark. Da geht es ja uch umdie frage unbestätigetr Idnetität. UDndarnmust ichd enken als ich gestern einen Mann im Post-Shop sah am Zoo der Postident machen wollte und der Ladnebsitr shckcteihn wietr,das mche r nicht udnich erinenremich daß es ganu darumgeht bei den schutgeld-eprssug-artigenaunderstzungen zschenladinhabern und der Sicherheistdistebrchen. Di kleinen Kioske und Lotto-läden Itrecfes evrkaufwn zunhemndo bezahlkartenwie hady guthabenudnsowas was jaimPrinzi gedshcäfte sind. Und ab geissnhöhenschiben die (gerkscftlcih orgnsirten Berufs?) Verbände dort vor daßman Securty anheuert. Eicfhdmeitdeii Pket wennsieüer ncht im DHL-Shop stehen versichert sind und sowas. Ud ichmeinic kennedenTYpen der dasbetrebt auch as meirn Presszet in abd homburg und dem kontakt mit der sicheristdienst Branche her. Ichhab ja egsta daßmanmir anegote hat damsls Angebpte für dei EZB IT ezrchenudnich dsnichtw wollte weil die haftungsfragen dort so extrem sind (ich galub mit die teurste der ganzen Welt wieldie Eruozoen eine der finztsärksten Volskwirtcften ist) uter rücksicht auf meine Familie nicht mitmachen (siehe "Truman - Show" "Being Spontaneous" mit den eigenen Securitys). Udnder wollte ds nälich auch nicht wiel da ch ei Miltrpolzei dannmitcht und so wieldasdine vonantionalem sichrhsthietrsse sind. Diemchenienm das Leben zur Hölle weil man eben die angrfffläche ür die gazewelt bietet und so gefährdet ist. Udn ich weiß noch wiedielute vom Bankdicherhistverbd warte wegndemOstIDnet und online shopping, daß man das bald per app selbst machen kann und dann über-prüft nähmlich niemand mehr ob ahker einmanipuertes Vido anspilen whrnd maninwhaheit diepistol oderdasmasser anenahsl eghaten bkomt um teas digtal zu signiern wie ich der mit ienftührten Kind bedoht wird. Ich hab den mann derienwnigaussh wie ich glaub "the edge" von heißt der musiker von "U2" dann aufdie zelgschckt gegenüer dem bürgermat und "irish pub" diese Ecke. Weil da hab ich mal Postdentgemchtmit peronalswuseis vorzeigen wegen igndws mit hady prepaid Intrnet. Das fand ich lustg wie drüebrhabenwi mal gesprochen Ende 1998 und ich hate plötzlich auf tikok dann auch einen neuen follower namens "F_RED BOOKER" was mich daran erinerthat daß der "U2" Sohn vom Zoo ode rso irgnwas erzählthat daß da jamdn im Konzertbetsaltungs-business jemdne geküdigt/entalssen hab wegen der 3sat Sache mit de Schülerzeitung damals. Das kann dann doch mein füehrer Mitshcüler "Christian Metz" wohl aufklären. Wegen sowas wil lich ihn ja vorladen lassen in dem an-stehnden verfahren weil der "rettungsdienst" ASB mir Geldfür berhcnet wennich vondriten dazu erpsstwred mir diepusdrenuszschltzen wo ich ja nicht der verursacher bin soder epresser woe dieser "michael beck" aus 380 C 478/21 Amtsgericht Frankfurt amMain (Höchst). Soviel zum heiklen Thema Identität: "ach wie gut da niemand weiß daß ich ... heiß"Und luet die sich faslch als Polize asugeben, wie diese Band mi tdem Sänger sting aus dem Köngreich England. Wobei die "Queen" da ja auch eine Musik - Gruppe ist. https://www.tiktok.com/@adlinea.mdl https://www.deutschepost.de/de/p/postident/privatkunden/identifikation-per-videochat.html | |
|
05.12.2024 07:00 |
|
|
|
|
![]() | |
| [0] |
20241205-0700-0-1.jpg |
![]() | |
| [1] |
20241205-0700-0-2.jpg |
![]() | |
| [2] |
20241205-0700-0-3.jpg |
| Nun zu dem was ich mitbekommenhabe vom 18:00 Uhr TV Vorabendprogramm vom getsren 04. Dezember 2024. Bei den #Simpsons ging es um Improvisationstheater. Das ist ja imer wieder ein Thema dort. Ganz gegen Ende (wer schriebtnur socleh drhbücher?) saß Homer im Bunker von "Fox News/Television" und erzählte daß Zuscherdas folgend nur sehen würden wennetwas dramatisch schief-gelaufen sei oder sie swoeit hc das verstanden habe in einem DVD Region-Code/Streaming-GeoIP lokalisierten Schurkenstaat leben der keinen GEZ - Rundfunkbeitrag zahlt an die US-Regierung (siehe #Trump #Motivationals auf #tiktok bekomtde geld dafür wenn Doppelgänger /lookalike / Doubles von ihm vor dem Trump Tower eine Carnevalsmaske mit isne Gesich tragend herumtanzen? Die asiaten sind doch bekannt dfür gmea rekordzahler zu sien SonyBMG ./. Asia SchwarzMarket Raubkopien). Wie komme ich da jezt darf? Acho, weilDonald Trump doch diese Dame von der Mornings Show" dort so gern sieht. Ach ja: also Homer sagte er wolle sich nun als Präsident-schaftskandidat bewerben woeb wir doc alelwissn daß ein gewisser "vance" ihm die Wahl/Shwo gestohlen hat. Es ist ja nicht so daß es da ztegschiclche Einflüsse gibt auf emden der Zetsgakrikatren zechnete mit "Bongo" Hasen bevor er die "#Simpsons" kreierte undaß Kartikatruen was mit polstcer Ztgschcitez tun hätten ("der kontrakt des zeichners" folgemit den hedhutren im Kraftwerk).
Dann begann #berliNueKölln02407 / #berlinTgaUndNacht wo Schmidti imNetz auf Jobsuche war, Ersatz für Emmi. Aschließend begann die 3sat #Kulturzeit wo ein Prosutrte "salom Balths" üer hrelebn berchte,ich hab jaheuteebrist darsf hiwgesien daß es problematisch ist weil es wohl schwierig werden wird sowas nachzuprüfen aus grden desdtshcutzes udn es luet geibt die aus dermrotlichmiilue eprst werden, auch explizit unter zuhilfenahme von 3sat/ZDF, Chistian Wulff mitdem Club Artmeis etwa. Der sit ja sosuerdaß er die halbe volkgwagen belegschaft kurz vor weihncetn vor die Tür gesetzt hat als ehemigelr vw-gesetz minster- und bundpäsdinet mit nem immobilenskandal. Wahrscheilich ist er deshalb nicht Kazler geworden sowie lafontaine auch, also wgen STOR_Y DANIELS Erprssungen. Donald Trump udn andre Präsdnten sind ja auch Opfer. Dorothe Bär vonder CSU gab ein Interview zum Thema. Den farungehe es oft drum shcll rich zu werden hieß es. UDn dasköne manam besten mit S*x,etw duch Einheirat in eine verögende udneilfussriche Ernlinie zum Beispiel. Dann stellte man einen Roman ode rbsserei Buch vor das aus den Stasi Akten einer MfS Mitabeiterin zusammen-geschnipselt war di shci prostituiert haate soweit ich das richtg verstand. Danch ging es um Povinienz forshcung in denmuseendes fühernosblocks, woman ja eta denadel enteignet hat und die Rabkust dannin museen ausstellt. Proezallnauc Asien wtwa. Da ist aj deshalb wertvioll wiel es zegt daß man shconvor hudrten jahren ahndel getrebn haben muss international. Alsodenerbgshcnk Klui vom Ahkpsfstnd gut aufhben,vilelcht ist es ajdervonienm küftgen Budklazerl indie hand gedrückte der deshla mal zumdisnt als prsöliches andeneken wertvoll wird. Dannirgndwas was ichnichtmerh eitffernkann in meinen notizen, gefogt von nem RoadMove wo es um benzin diebstahl geht. zudem wurde derurnerprize vrgeebn für häkeldckenumAutos herum, ich kenndie ieglich noch aus den 1980ern jahrn wosie auf toliettepaoerrrollen aufderHutabalgevonAutos mitgeführt wurndoftamls, soclhe Häkldecken. Danch ging es um das 200 Jahre Jubiläum der strauß Walzer Dynasteie in der öterricher donau monarchie. inienr ufrag uter trorsten erkannet vile sofort daß essich bei ienm gezgten BildumienKompisten handelte, nich wenige wusten sogar daß es strauß war. Isnfern hat Ler eidngrwohl rcht wenn eregstren sagte zum Them ett-Strchung Klur sei ein Tourismus-Magnet. Dann gab es noch Musk vo ienr band namens "inhaler" die den Song "oyur hose" spielte,möglicherise beides eine Anspileung auf die Holcaust-altgetumdebatte. Dann wieder #berliNuekölln02407/#berlinTgaUndNacht wo Shcmditi udnEmii mitenderstritten. | |
|
05.12.2024 12:00 |
|
|
|
|
![]() | |
| [0] |
20241205-1200-0-1.jpg |
![]() | |
| [1] |
20241205-1200-0-2.jpg |
![]() | |
| [2] |
20241205-1200-0-3.jpg |
![]() | |
| [3] |
20241205-1200-0-4.jpg |
| Beihilfe/Begünstigung RAF–TERROR per Postunterschlagung Kursmanipulationen/erpresserischer Menschenraub/Straf-vereitelung, Gefangenenbefreiung, Zeugen-Medizinvergiftung/Vergewaltigung
Maximilian Baehring Hoelderlinstrasse 4 D-60316 Frankfurt/M per Fax: +49/(0)6131/65-2480 Lanedkriminalamt Mainz Valenciaplatz 7 D - 55118 Mainz Im Internet findet sich unter der URL http://banktunnel.eu/pdf.php und URL http://blog.sch-einesystem.de/ mein ausgedruckt über 30.750 DIN-A4 Seiten umfassendes Internet Tagebuch / Blog, als Offline Version downloadbar unter http://*** /***/ als ISO-Image (brennbar auf DVD) mit tagesaktuellen ZIP-Archiv Ergänzungen Neu: https://www.tiktok.com/@maximilianbaehring/ Frankfurt a. M., den 05. Dezember 2024 Unser Telefonat wegen der Zeugenladung Christian Metz 3sat Kulturzeit ZDF Mainz am gestrigen 04. Dezember 2024 um etwa 07:07 Uhr, 07:10 Uhr sowie 07:13 Uhr auf der Rufnummer +49 / (0)6131 / 652480 für das Gerichtsverfahren mit Aktenzeichen Aktenzeichen 28098 C 360/24 des Amtsgerichts Frankfurt a.M. (Außenestelle Griesheim) Sehr geehrte Damen und Herren! Ich bin zilich verzweifelt weil ich dringend eien füheren mitshcüler/komilltonen von mir erreichen muß mit dem ich zusmen idner schülerzeitung der Humboldstchule in Bad Homburg v.d. Höhe war zu genau der Zeit als dort ein Sprengstoffanschlag gegen die Limousien von Deutsch Bank Vorstand Herrhausen verübt wurde durch RAF Terroristen, so zudmsiets sdei ebsiehrig die offizielle Darstellung. Soagr der Schulbuch - Vverlag „Bundeszentral für politische Bildung“ weist ebenso wie die Wikipdeia darauf hin daß es da uc abweichende Versionen zu dem Tathergang gibt. Das istshcnabr nichtso wichtg in der Nähe der Zetral-Bank Bker emrodert werden. Im Unternet steht ja auch daßder ste EZBPräsidnet, Wim Duisenberg tot ib einem Pool aufgefunden wurde. Soclhe infotmion sidn shcinbar für die stabulität des globalen Finanzsystem nicht so nstchdiendd, ichwohne ja wneeg Meter von der EZB enfernt udnebrtbe zudem die Domain „zetral-bank.eu“ und werde cu wielmeinMuter im Budnsvrand der shc. Udnshclißgsslcfat gearbeiter hat als Chef-Sekertärin bei Arbeitgeber-verband der Banksichrheitsleute/Geldtransport - Fahrer usw. immer wider Opfer von Attacken die auf Erprssung der Finanzwirtschaft abzilen, auch in mien Hautjob inder EDV/IT wo ich uterdnrem für milliardenschwere Pesionsfonds tätg war bsi ich duch Stregkiten verursacht aufgrund von Erprssugen und Cyber-attacken/-terroismus wegen eines enführtenKes endülig Job/Frima aufgeben musste. Ich hab erde ds SSL Cert der „zetral-bank.eu“ domain verlängert, mich deshalb an eine Uterhaltung erinnert mit Sicherheitsleuten wo es um die vericherungssumme geht für Haftsugfargen solche SSL-Zertifikate. Manwollte mir danbidn ode rbetreb betrieb einer der Bakserver zsuchnzen als Auftrag damals und foderte daß ich hierfür eine drtstche kapitalerhöhug meiner dasligen Firma machea su genau disem grudn, ebso evruchet man mich zu zscgenSicheritkäfte eizstelen für die bewachung der Router/Server. Ichsah das genu wie ein Mann aus dem Pakt/Postzstellerbereich der ein paktshop in EZB Nähe eröffnewollte als ienenugelblch Iegriff ineien unternehmenspolitsisch Entscheidungsrfeiheit an mir solche vorschriften machen zu wollen,von außen/desite potitell Kund die firma qusi mitregiegren zu wollen. Daranmusst eich esgterndneknals ich imInterfce ein mann sh der dort Postident machen wollte was der Inhaber ablehnte,da msser mit zurkokurrzen, das ist j ischen auch oer Samprphone-App möglich aber da hate der bankesichertsverband ganz erhblich bedneken geäußert damals. Anders als in ner Post/bank/filiale kannman nur schwer erkenenobd e rnutzer ein Onlinbanking doer spathone nshclusse bedriht wird währnd seiner „gscäfte“ im Internet. Das ist ewta bei mri der fll mit enführtemMid und DDOS/Hcker/vren/Spam-Attacken. Mitandohugder vetümmlug mienrfmile brhctemanmichdazu mir ovr ein ebcm diepulsdernufszsuchlitzen es olletnch slbstmro ausshen damit manper entürtem Kidn meinerbe abräumen kann. Und wegen koset die aus dieser bedohung enstethen bin ich aktuell vor Gericht. Und dher brauche ich als besonders bdohter Zeige uter denrm des Teroshclags auf Herrhausen aber auch eines „Staatsbesuch Vergewaltigung“ vorfalls eine Aussage von meinem damalige Redktionskollegen Christina Metz, das ZDF/3sat beantwortet aber meine Schreiben andie kurzet redion für di er Tätg ist nicht was auch daran lieg kan daß die polize mir wegen Kidpping suw. mine Post vorenthält. Ich habe iengerichtbshcluss der ebsgt daß mein Intrenet/telfonveker „ausgwertet“ wird. Schon am 14. April 2023 hate ich ihnen geschrieben, damals befals wegder zegen-ladung Christian Metz Dsuche post Einschreiben RT 5392 0941 1DE vorab per Tele-fax an die +49 / (0)6131 / 65-2480 um 12:39 Uhr beides jweils am 14. April 2024 Seinerzeit ging es ums Verfahren 380 C 478/21 Atsgericht Frankfurt a.M. (Höchst) Damals hatte ich bereits angemerkt daß man meine Idntität auf facebbok stiehlt, das Schreiben ist in mienm Onlin Tgabuch/Blog im Intrenet eigecann zugäglich unter inetrent-Adresse(URL) http://blog.sch-einesystem.de/ARTICLE/2023041413000/ sie finden es auch unter den oben imbrfkosf angegebenen Intrnet-Adressen (URLs) wenn sie dort uetr dem entsprechendne Datum nachsehen. Um zu verfizeren daß ichdie irchtge faxnumr haberif ich dies vor em versnd des Faxes an udnstelletfst daß sich dort uetrderDuchwl die Telefonzetrale meldet der Polzei. Ds km mir kosmch vor,denndei Polizei hat ja wi egrößer Utrenehemn sparate tefaxnummrnsatt Fax-weichen wie wise fürer tilweise bei prvthaushaten üblichwarenmit afx-asnchluß oder sie bei G4 ISDN Faxen Standard wurden. Ich hab indem ebrich malanienm Faxsrevr prjekt mitgrogrammrensollendunkkenmch daher ein klein wenig aus was sowas angeht. Gößere fimen haben fastim riegen Numr/Dshchaln fürdiegreät die daher dort sofort abhaben was zst apsrt, insbodrbei VoIP faxne ist es ja so daß die siganslerung daß aufdem analogensrchkanal ienafx kommt oft nicht 100% Stadardkofimr ist wehalb es sinnvoll ist am Fachsncluß nurdas fax zu ebtrebn und nicht zusäztlichzu telefone zu betreben um Probelem zu ver-meiden beim sogannten Hdshsake, der Portokollverhadlung. Schehristhaber wollte ich wissen mit wem ich egnaugesprchnahte abr die angelcehn Beamtene verweigerten die Auskunft. Und das obwohlich draf hiwes daß es sich umKidpping zur Zeugen-einschochterung handelte, die Sache dringlich sei. Ich rief also nochmal an undnchdme man mich mal wietervebduen aber am ende aufegelegt hatte nahm ich das Gerpcäh kuzehand auf udnlud es auf tiktok hoch. Es wuurde wegzensiert aber ander socailmdi plafromen veröflichten es, zudemlud ich es noch auf meienengenserver hoch (der srver dient imrahmenmeirndtshcutzoolistche arebiet im Ulfed de rpriraten-parte eigentkich der dmostaion des probmels de rnagrfbakiet von Kommikationmper per MITM/Man In The Middle Attacken) und zwar diesmal unter der folgenden internet-Adresse (URL): http://zentral-bank.eu/emergency.mp4 Zudem vremerkte ich den Vorfall in meinem Onlien-tagebuch (soegannets „Blog“). Erbost drüber daß man mir trotz der erähetnd drglchkiet udnesnotfucharkter nicht helfe nwollte. Ichhabeja gesgt daß man veruscht user westeuropäschies Banksystem lahmzulegen imrahemnder UKRAINE Invasio der Roten armee die miens wissnnch plant wieter indenosblcok vorzurücken um die Verrhätlnisse auf die Zeit vor 1989/1990 zurückzudrehen. In Vorberitung diseribvison gabes rufmordkmapgane gegen mich und meine Familie, es istbsrtdteie de “hybriden kirgsführunG“ der Russen die West - europäsche wircft zu saborteiren, auch die Telkommukaionsund Datennetze. Ich habe daher voBihlfe udnbegüstigun voterimsus,Kidpping, Mord,SPgrtsfffterror und voNStrfaveretlung im Amt gesprochen. Wenniendas nich sgar alks Pustch gegen die BRD/EU/NATO asugeelgtwrend kann. Ich habe veruscht Frosniekr Dr. Mark Benecke per afcbook zu informeiren mit dmeic galub ich mal zu utnhatte in Wehrmacht-Kirgsverbrechen shderstzazhalung satt einer Altgetsrückgabe der Osbgbeite und vonstalin tegneter Immobilien/ Grudtsücke und Firmen. Drbakir herrahsenwurd eie Trehand chfe Rhweder ermodet wegn dieser Alteigentums-Asrpch Spkualtionen,icheriner indiesm Zusmanhanganden Film „peanuts – die Bank zahlt alles“ woes drumgeh wie Immobilen schneider aus demvordtaunus mit ImmobileninLuezg spkuerte in der DDR nchd er wnde und dbai die Deztsche Bank um gistsch Summen geprellt haben soll. Auch die Subprime-Krise und die Euro-Kriesen bsern auf spekuationit de rückgabe vonalgteum ind Osgebeietnd und DDR. Umdie giscteshcSummen beäligenzu können die anschdserstaz aufzu-fangensind duchdie Osb-Büger die Häserbauten aufGrdtsücke diihennicht ghörten doer in Wohugen wohten die vonLuetn evriet wurdne densienicht gehörten legt der werstn sein Geld in Form der Währudn „EURO“ zusmmen. Ichsitz aj ander qulle und kann ihnen sovile verraten. Unden veruchen die staliniste die das Altgetum ncht das währnd sozischer dikatren193.198 entgent wurd zrückgeb wollen anzugreifen genau wie die alt-nisz. Daher die Anschäger dern Aufklärung sie blockieren. Das sit wie die evhderungdes ladns des Zgen inakzebtabel und wird Kosequenzen haben. -------- Nachricht -------- Betreff: Faxversand an 06131652480 gescheitert Datum: Thu, 05 Dec 2024 11:10:34 +0000 (UTC) Von: Fax <noreply_fax@> An: maximilian.baehring@ Web2Fax Faxversand an 06131652480 gescheitert Guten Tag, folgendes Fax konnte leider nicht zugestellt werden: Ihre Fax-Rufnummer: 00496924749613 Ihre Faxkennung: Maximilian-Baehring Empfänger: 06131652480 Zeitpunkt: Thu, 5 Dec 2024 12:10:34 +0100 Bitte überprüfen Sie die Angaben und versuchen Sie den Faxversand erneut. Sollte das Fax weiterhin nicht zugestellt werden können, dann wenden Sie sich bitte an unseren Support unter support@easybell.de <mailto:support@easybell.de> | |
|
05.12.2024 15:00 |
|
|
|
|
![]() | |
| [0] |
20241205-1500-0-1.jpg |
![]() | |
| [1] |
20241205-1500-0-2.jpg |
![]() | |
| [2] |
20241205-1500-0-3.jpg |
| Kann mir irgendwer verraten waru ich set ic het vom Post abgeben zurück komme die ganze Zeit von "Simply Red" dieses "money's to tight mention" im Kopf habe? Das wird wohl darnl ieg daß ich ganz zu erwähenevrgssen hab daß es irgendeienen Sohn von einem U2 Sänger gibt der ein eigenes "Album" veröffentlicht wie die von der 3sat Kulturzeit gestre gesagt haben. Ich eriner mich noch daß es da irgendeinen Sohn gab von dem mal in einer presse-konferenz die Rede war wegen Polo-Turnier Security-kosten von irgendnem Musiker. Naja, soviel zum Thema "Zoo-TV" da musste ich an "knsu" denken die "lust-igen Tier-video"s vom Sat 1fühstücksfsrehen mit A. Merkau. Für deren Buch wurde übrigens der amazon Rezensions - bereich gesperrt, ich bin ja mal gespannt was sich dort besser läuft, deren Buch oder der westernhagen-Song.
https://www.tiktok.com/@maximilianbaehring/video/7444929591648472342 https://www.bild.de/politik/inland/amazon-stoppt-bewertungen-von-merkel-buch-freiheit-675114c86ee5aa76f74919a9 | |
|
06.12.2024 00:00 |
|
|
|
|
![]() | |
| [0] |
20241206-0000-0-1.jpg |
![]() | |
| [1] |
20241206-0000-0-2.jpg |
![]() | |
| [2] |
20241206-0000-0-3.jpg |
![]() | |
| [3] |
20241206-0000-0-4.jpg |
![]() | |
| [4] |
20241206-0000-0-5.jpg |
![]() | |
| [5] |
20241206-0000-0-6.jpg |
| Beihilfe/Begünstigung RAF–TERROR per Postunterschlagung Kursmanipulationen/erpresserischer Menschenraub/Straf-vereitelung, Gefangenenbefreiung, Zeugen-Medizinvergiftung/Vergewaltigung
Maximilian Baehring Hoelderlinstrasse 4 D-60316 Frankfurt/M per Fax: +49/(0)69/1367-8468 Herrn Ltd. OStA./GStA Torsten Kunze(?) Zentralstelle zur Bekämpfung von Extremismus und Terrorismus Hessen Generalstaatsanwaltschaft Zeil 42 D - 60313 Frankfurt Im Internet findet sich unter der URL http://banktunnel.eu/pdf.php und URL http://blog.sch-einesystem.de/ mein ausgedruckt über 30.750 DIN-A4 Seiten umfassendes Internet Tagebuch / Blog, als Offline Version downloadbar unter http://*** /***/ als ISO-Image (brennbar auf DVD) mit tagesaktuellen ZIP-Archiv Ergänzungen Neu: https://www.tiktok.com/@maximilianbaehring/ Frankfurt a. M., den 06. Dezember 2024 Zeugenladung Terroverfahn Alfred herrahsuen für Christian Metz (3sat Kulturzeit) Aktenzeichen 28098 C 360/24 des Amtsgerichts Frankfurt a.M. (Außenstelle Griesheim) sowie Aktenzeichen 388 C 478/21 des Amtsgerichts Frankfurt a.M. (Außentelle Höchst) Sehr geehrter Herr Ltd. OStA./GStA Torsten Kunze(?)! Sie werden ducrchdie lektüre dieses sehr großes Stück wieter kommen in der RAF Terror Ermittlung was schwere Stfaten gegenden Staat angeht: Sprengtsoffterror, Raub(?)-Mord, Wahlmanipulation, Aktien-Kursmanipulation Desnfoatiokapaganen, Mord und Kidnapping/FreisberubunG/vegftung Schuttbefohlenen – Vergewaltigung. Es geht das insbesondere um den Beweis daß der der laut Presseberichten vonder RAF verübet Sprengstoffanshcclag auf das Fahrzeug des Deutsche Bank Vorstands Alferd Herrahsuen, die baugleiche gapteret S-Kalsse Limousine deiich auf genau der selben Rouet am Seedammweg nutzte einFolge war der Spekulation der Bank mit Rückgabe von duch sozlistsch Dikraturen 1933-bsi1989 entgenetem Alteigentum. Sie sind (laut Inetrent geboren 1969, ich 1975) ein paar Jahre älter als ich also über die damalige Zeit im Bilde. Ihne wird der Immobilenskadal um Jürgen Schneider dem Immobilemakler aus dem Vordertaunus der sich nebn de Zeil galeri auch mit Alteigebtum in Leiozig übernahm verfilmt asl „Peanuts, die Bank zahlt alles“ noch ein Begriff sein, ebso wie „Schtonk!“ der film indem es um druch Guahcter des BKA für echterkärte gefakten Hitler Tagbuch funde ging, ebenso wie Groge Orwlls „1984“ bshcäftg man sich mit dr frag der Propaganda-Zensur von Archiven asl derauthetzit von evrzechissenwie wie Gundbüchern oder Handels-registern ebso wie der Authetiztät von Kriegstagebüchern (bestätigte Verluste). Ichslebst zchen als Ideenegebr für zahreich dieser Werkre Mitverantwortung. Auch „Das Leben der Anderen“ wo es darum geht wie Autoren anhand charkteristischer Handschrift ihre schreibmaschinen vonder DDR - Stasi verfolgt wurden. Am aller-deutlichsten wird das im tatort/polizeeruf110 Krimi „Hermann“ der beide Themen, Archive über Alteigetum und deren Enteigungen durch sozialistische Diktaturen miteinander in Verbindung bringt. Ic hab dasml inder EDV an ein Fax-Server Lösun gebarete ud mich mit dem Thema Manipuserbakriet eigsacnnetr Unterschriften in Emails und coutermodemversdenten PDF/CCR-Faxen auseinanderetzen müssen. Zudem arebiet ich an DTAS-Disktten Clering Verfahren sofwtare imbelglsendtsräegrsutsch mit der Commerzbank, meienMutter ebriet damsl für den Bundesverband der Wach-und schließgeslslcfaten, demarbietgebervarnd der setsrnprertfahre und Baksecuritys. Ich habe shcon währnd Kita-Streiks im Büro bei Herrn Schrimmel gespielt, davon gibt es sogar noch Nachweise weil wir Kinder stempelten und unsere Handflächen fotokoperten. Ich erinenr mich sogar daran daß es ein Hund im Büro gab und man Schuletrholster für Waffen trug. http://natopsion.de scheint von nem Kiat Streik Leidensgenossen von mir betrieben zu werden den ich üerdne veteler des VGR Verein gegen Rechtmissbrauch kennenlernte. Dort führt laut dem Buch auf Website der Generalbundesanwwlt Erimttlungen wegen falsch plazierter Stempel auf IT Beschaffusgtransporten für die US-Milärjustiz(?) oder sowas, Großrcherteile die mit Geld- und Werttrsportfahrzeugen duchdie republik bewegt wurden scheinbar. Anfag der 1980er jahr waren wir der Tätogkiet meisn Vaters, der für den Konzern Metallgsellschaft AG der das erwgerk kanchnaburi Exporaion & mining Corp leitete zwoeinahlbjare inthailand woes ein Sattbsuch gab des deutschcen Budpräsidenten. Derbrhcte ds mrischulfschif Dsuchland mit und wir kinder der deutschsprachigen Schulew aruin im afen umes zu begrüßen. Dabie wurdn ich und mien Mutter in einRotlicht etablssmeent gedängt udnmein Muterw urde zdumidst exusllebelästgt, es gab dann Abtrebugsdiagnsotikudmein avetrs sagte etwas von ner Vegreltigung. Wied rzrück uidnsuchladn üerbham ienvater die leitung der wolfram Bergau und Hüttengsellscft mbH inösterich. In Thaildnhatenwir besuchvon meim Pateonkle der Osbtsluetnat der Lfatwaffeist, ein Strafiger, später Torndo staffel füherte bevor er nach Brüssel wechselte ud mein Okle aus Frakrichder Flugezge baut etstpilot ist, auch mein Okle aus müchen der in Riem bei der flugscierung arebiet und imzwtre Wltkieg eien abtur üerlebt hate als jagflieger ebtragte dml Besuchs-Visa. Das rif die dortge Spionageabwehr auf den Plan. Mti wolframa, das Hart-metall was isinGlühbrien ist härter man panzerbrechende Granaten was dfür sorgte daß ich beim Israle becuh von Mossd warendas galb ichLue evrnomen wurde. Die össteicher liefrnaneglcihinden nahen Osten. Ich slbst heb für ein Personal-beratung gearbeiet als outgesourcte EDV-Abteilung die Top-maganement psotion im Fiat Kozern besetzt, die leuet welcheide ochendausgabe der FAZ mit riesigen Stellenazeigen füllen, di prdzeren uchRüstugsgüter, dnekn sie andie fiat jets der asu ramsmeti bekannt „Frecdce tricolir“ Kunsftlugstaffel. Ich mchte mit 15 mienert gshcäfstrise und war anfgn 20 in üer 25 Lädern iterantionalmit der Betreb/wartung von EDV-Systeme betraut kands bis Australien. Manwollte mri ich anbieten ambeitrbettwberb für System der neugschffen EZB mitzumachen udnic in ienr der Iddegber der großen Itenetkonten die urpülichfürs Onlinabing und di afx-server gecht waren die wir inFrankfzúrt a.M haben sowie für WWW/HTML, die webbrowes. aheb fümehre mildrscher Pesionfodns gearbeitet. Damit sie sich ein Bild meiner Bedrohungslage machen können. Ich war shcon füh polstshc kativ, Abgeoordneter udnidner shcülerztung und das mit Mitschüelr „Christian Metz“ der isnschen fü das ZDF in Mainz/3sat arbeitet. Er kennt cuh user Komilltonie andreaRssler die Ende 1998 shcger wurde inde rzet wir beide eine liaison mit-einander hatten. Mehfch gab trefen zschenmienrrdkation und der 3sat Redaktion. Mich ietrsseirte damsl insbeoder die frag Altgetum Ostbeiet/DDDr und wieman das neue Gestz gstaletenen würde um das duchdie ander,ncihtslstistsch soden htiler diature entegenet jüdische Alteigentum zurückzugeben. Genuzuder Zeit wurden gelcihmehre attatae veräbt: das auf Bankfoctand alfred Herrasuen in meienr Heimatstadt Bad Homburg vor dmeshcimmbad wo ich zwo mal die Woche trainierte und das auf TREUGANDSTANST Detlef vsrten Rohwedder. Dergeogrschishcn unmittelaebrn Nähe wegen waren wir beflls mit rchrchen beafsst undichwieß vonngreitheiten in den Ermittlugen dic sich etwa uch im Onlien-lexikop wikipedia niederschlagen oder bimshculbuchverlag Bdusztarle fürPoltishc Bildung wo es heißte sgeben ein Informaten des Verfassungsschutzes der gelogen hat was ch betsätge kann. Durch einen Ztfall traf ich in der Redaktion mit zusammen mit usnern Olympia-Gold Reitern im Kurpark an Polo-Turnieren teilgenommen habendenbrischen hoch-adeligen zusammen wie mit Ost Dipolatend indeshculewarn wiel DDR-Flüchlinge die ich galub üer Ungar nkamen als Fremdsprache nur urssich konten an unserem Gymansium Abitur machen wollten udnmn ein Schüerlstch mit Lengrad damasl noch/ St. Petersburg orgaiserte und Abkomen unterschieb für den Russisch–Unterricht. Damsl wurd ie stry mit meirnmuter aus Bangkok erzählt udndie wollten das nutzen udn sogar Kinoveriflemn um bei den Verhandlungen der sotverteäge das Bundes-präsdialamat zu erpressen. Und habich ein stalkerin, Vera (Dorthea) Zanner (geb. 11. November 2980 als Berger) die vrchet mcih zu erpressen mit Fake – Fotos. Damals entsranden auch dei filem “Forrest Gump“ und “Wag the dog“ udnjede menge filme die den“NS Schuldkult“ födern solten wi die AfD das nennt. Die idee imOstenwar daß man bahten würde das entgenet alegtum sie Scderstz für Kriegs-verchnder ehecmht im Osten, so kamenwir aufdei afreder authzität von Archiven udnie fragedermipuation von Bidlamerial/Scan die per copuetrafcx hin- und her-gschikt werden würden. Ud da mienMutte ja bei arbitegre-vebdntätig war erhcteman die zu eprssne für die arebislso gewordne VoPO/NVA/Stasi Luet und OsblcokSoldten die nch dem Truppenazug imALnd belieb woletn Josb zus hcffenat innädede EZB. Undaz wollt mandas latgetumsthem verwnde, dr Euro wurde ja explizt gschffen ieldie BRD Volksiscft allein nicht stark genug wgesenwäre lasten zu shcultern die sich daduch erben daß maninder DDRwohnuegn evrmiet dieienm gernich gehörtnsodnr altegtümern doer auf Grudtsückenbauetdie iegtnet waren usw. Es gab das spekuatioen aufdem soweit hc etsinen „grauen Kpatalmaerk“ also im berichder Üensiosn/renetngelderide angelegt werden asl „wette“ darauf daß man am end vpr egricten osbiget und alsatgetüer gedlbekommt. Dafür invstiete man in Prozsskosten udneenaufbau mitnatioaner Schiedstellen. Dam an die Frage der NS Holocaust Shculafrechenwollte mitden Altegrumsrükcersttugsasprcühen verchteman udnda war dannwide die Fime betoffn woe mein Vater tätgwar,diemtellsellcft AG, etw AkteindeiHitelrden Jude agbelcih abgnomenahtte zruückzuegn woduchsiech neu Eigentumseverhältnisse erbagen, Ausfcshart und Vosrtdnder metllgesllcftAG wrdn dmasl nue besetzt wobe sichdie Dusche bak als schwelterderrchte der Juden drstelel die fmile Emrton wie metonvrtel welche die Metgsslslcft gegrüdet hat. Das ganz gingals angelcihes Metllgsellscft Ölotioen skdalncherindie Börsen - gschcichte ein, d Metallgselscft AG war eines de rgößet Dax nottern utrenhmn mit üer 250bgelneweltit wennich richifrmiert bin, tausende angestellte allei umdie 2.000 inFranfurt a.M.. Hiet der Umsgatltungdesvrostnd vsrstcketnsichdie perosndi Putins Stasnöälte als „Olgarchen“ bezeichne, das warn Luet die alskommsuten imKZ gessen hatten und nun bhatte fürire Jüdishcn „knastbrüder“ die böse nazis Justz zsngen zudürgfn ihen die gerde ihre Jobsinder DDRveloren hate ne zu schaffen. Manollt Öl/GAs aus den dmsl abtünngen Sojwetrpuliken am Zoll In Moskau vorbei indenwetsn vrkaufen umso denPusct jelzisn ggen Gtschow zu finanzteren,sichte ieparter der aufs das Rohstoff-gshcäftspezielsert war unda amienm die eprssbare Matllegslslcfgt AG gerde recht. Mitden Jornalsietvo 3sat hezte amnSchüelrztunsg Kderdazu auf iensmcutzkapagen geenden Koernzu ksoteren/rechrchideren. Udn bei de rveritungder „flschinfrmation spilet danmieiMistcüelr chtsan metz genwu wi ein ader Mitshcüer, Florin bruckmaer, ein etshcdiende rolle, beide warn als ne Art Prkitknetn bei 3sat. Ichat angereget wegen der Altegtums Debatte (es gab da die idee „nazsi Raus“ grffitti zusparyen auf Häsevoalteümernin Ostoreussen) Gelde zu besorgen fürde rhcre wildi rgestruszüge Gebürhen kosten und eiKooperation mit dem GEZ TV angeregtdie ja üer öffliches Gbürhengeld verfügen. Udn um dem ganzen ein gend zu geen evtsletmandannien Liatrur-Wettweberbderam ededzau führt daß Chistan Metz het Profesor frü Litarur an der RWTZH Uni in Aachenuist wie es im rahmen der jdsüchen Alteigentumsrückagbe einstftunsgprofesur für fmileMrton gab. And rgote Uni wo wir beide geristsik studiert haben,genu wie mein bdohte Komilltonien Andrea ressler dienebn dem stidum aufdem apier für eienRocker.kien dnekopf hinielt wo sie kellenrteudnsowit mir bekannt geldsäch betrieb. Alss ie dann schwanger wurde udnausttenwollte wolltn die Rocker sinichtgehen lassen. Udn wieldas kidndas sie imAbuchhate möglcihrwise vonmir war bdohtensiemich mit un d lsötendami ienRisenalraketteaus wieich ja für mildrshcer fondgslslcftnusw arbeitete und man mich afgeoret hate für die EZB IT angebotz euchen. Undich binmri shcer daß bei denprssterefedie damsl inderkipe hexekssel ende1998 staffanden in abd homburg von meiner Komilltonin Liaison man evrucht hat mir gegenür z vrstchen daß man jenflshcmeldugen streuet üer die shcüelrzungdie zum Ruindermetllgselslcft führten.WObei davonausgeganegw rdnemuß daß0 das geziet akton von osblock/kmmsustch frudlcihenshcülern waren die die rütsugzilferung in den ahost Kirge duch die wfrma bergabu ubnterbinen wollten. Ebso wie den Putch gegen gotschown finanzieren. Cihw wieß daß diese kirse den shlkapf des boxers Klitschko inde rikrien föderten und denonPutin derdmslnoch KGB Agen indrsnd war udnsich af das AmtdesBpürgermsiters von Lenigard/St.Prtsburg bewarb. Udnaß man evuchte Oska Lafnoatine udnchrstainWullf zuerpssn im Wahlkampf indmemanihne di rotlicht stry andichtew ollt ie denbusräsditen aus bagkok betraf die unetr flshcnnhamen/psdudnym dch ienshcüerzetusgnetzvonBBS Sytemgsuetret. Um dies zuevrtchen veruchetmanmichdannspätermiteiemenführtenKdn zu rpssen da man mir unter Frisherbusbungudn mit Dogervegriftunganvegrletigthate,das von Andrea Resslersguter frundinUta rikemit derich asgaing nchdem Andre evshcdne war umze erfahrn wi ernst ich die bedrohung der shcgeren andrea zu nehmen habe udnob ic oderjamdndanderes dervater des kindes ist. Ich weß vonPlänemir geziltien abstrad indie erblinie iezuveglge umich zu erprssen des angeboten „jobs“ um umfeld der EZB EDV wegen. Man ta so als wolle andre nch ienr ausndertzung diei wir ahte weil ihr Rocker Compagnonudnstller Geldsäch teilahebr Ulrichriossmann mich bdoeht hate mit dem Leben nichstmerh zu tun habenwllte. Und da man zwar viel tsuschelteudntsrchtse damsl mr aber nichs sagen wollte date ich danUta wieldie Berist war mr infos zugeben,si hattesich gerde befals egtrentvon einem aus dieser Clique de rspäter unetr myterösen ustäden zu tdekam im BDSM/Sado-maso Umfeld,sie lsbtwar be einr esoteroschen Sekteaktv wi ich später erfuhr.Jendflsl evruchetmansobaldmanKidnr vonmir insienr gelt hatte mienablbenzuorgnsiren, man zwangmich mir vor laufdner webcam die usdernaufsuschlsitzen, essolte wie eiafdrier Selbstord aussehen. Dohte Mieidernmeir fmiel Verstümmelungen an. Wielcih wichtger Zegim Herrahusn fall bin für die Ermttlusgpannend und die Korruption bei der badhOmburger und Frankfurter (k15, 1. und 5.rveir) Polizei woei alsklienKdn bem „sttsbuchVorfall“ mit dabei war oersirten Prse und der Banksicheritsrabdn für mich privaten Zeugenshcutz.Trotzdeism gab esienzsctelle anazhvonMrvdeuchen anmir, frage si mla dnobsrtatsnsclt Dr.König üer das Ver-fahrn aus 2016 doer den Vosritend richetr am Landgericht Kulik dun seinen Senat. UmKtollle üer dan Fllzuehatletnwur dasnch aßen als Übunsfall indie EDV sytem eigeflgt wnnüerhaupt (könen Sie mit 931 G[ealt]S[chutzstelle] was anfangen?). So hat mandd zumiste mirgenüer komuniziert, damals, Ende 1998. Ich bin uter adermeienr der Hwiesgeberder hietr dr Verhaftug der Terroristin „Dniela Klette“ steckt,d wohlden abd Homburger jweli Zes üerfllen hat umdie fluch zu fiueren dem be ihr idner wohnug gefudnen Golld vomegshcmolszenshcmuck nach zu urteilen. Am 12. Fereuar 2020 wurd ich von iem geissn „Michael beck“ bedoht de rmich,das habich shcftlichaifrdert irdiepusdern ufzsuchlitzen, davon gibtes webcam Fotos. Al ichin darafhinstrafzget wllt erdaßicsien rhctwlt für die kateeischt zahle. Aktenzeichen 388 C 478/21 des Amtsgerichts Frankfurt a.M. (Außentelle Höchst) Außerdem gibte Krnegwanfahrten Rechungen deshab vondenichnicht wollte daß die Algemeisheit ederkarevrsuchegesischaft dfür inasprch genomen wird wenn ich vo scherts-kirmienl so dsistch gequält wrde daßic mich die Pulsadern aufschlitze. Aktenzeichen 28098 C 360/24 des Amtsgerichts Frankfurt a.M. (Außenstelle Griesheim) Mn vercht mir aller gwlt das Vverfahrn nicht öfflich zu führen veriegrt mir ein walt,von Rchsttalchkeit kannnichtdie Rede sein. Dhaer hab ich mit dem LKA Mainz bereits am 14. April 2023 Kontakt aufgenommen ud gebtendenZgen Metz fürmichaufidig zu machen. Damitder dem gricht geüber ausgenkannwas die „fke news“vworüfe udnden Terror angeht. Undich erinenr mich daß der mal waserzählt davon daß sein Vater irgnwa dmait zu tun habe. Undichrfhr daß eizeg derzgen diem damals ünerliefen von derrotenamree her indernchwndezete wohklher im has ebenfllss evtsckt wrdne von der Presse. Wahrscheinlich der Verfssugschutz Informant der flshc aussagte. Und als ich ezgudgermaßn malwider 3sat Klurzet snchute file mri plötlichien zimelich optsch näeau zshcn mienm Kistchüer dunhcülerztuskollegn Chstianmetz vondmasl undem ahsunter C*+kovi hier der imverdchsteht an de rhuschnik sbaotert z haben um Aktendiebei mri inderwhniugalgern enwtden/manipleren zu können, es wudnetw dicke letenhbaldchternt dievonderstraße isnahs führnumdis ishcheistakeras inmer wohungauszschaten gneu wei es manipationder strimvrsgungagbe vor evruche michz erwügen alsichnchst die tür öfnet au ligeln/klopfen. Der vorfallvom08.august 2015 „stnd würger Pior michalek“. Fragen sie Richter Kulik und ihren Kollegen Dr. König. Udn ahat auchemrhcfh Brände gelegt undsites nchchtendisten diemit gerichtsbchlss maien tefoner abhörensit hc mich an amnsty ietnaioanl akrione betelgt habe und fürdie prteprtei aktwar und die shcließungvonGuatanao bay fodert imrahmen mir polishcen arbiet. Das letzet feuer war am 06.Oktober 2020.Ich führe ein Online-tagebuch Blog seitde Polize mich igeirete (3 ZS 1795/08 gesratstalsct Frankfurt a.M.) umdi iterlsnhifllistungdu dokumentieren. Da köne sie von all dem Fotos eisgncnet bewis Dkument usw. einsehen die adressem lauten http://banktunnel.eu/pdf.php und/oder http://blog.sch-einesystem.de/ Ic galuebnu dß drhaserter C*+kovic inWhrst mit Chsitia Met verwandt ist udnkti diem zusmen fürdie Rusnsdie Flschifrmaion imFll „metllgsellsft Ölotioen“ gezltgestreut hat uetr Misbruchsienr Pressfuktion beider Schüler-zeitung. Udn da er oderien ander Man der eien etag weiter oben hier imhaus wohnt der Ifnrmat ist drdie Falschaussage machte imFll herrhausen. Indemfll sindie DetenderZetusartelvsscuht imntez umdie Zusnnhaäge zu verschleiern zwischen dem sprengstiffnasclag auf Alefred Herrhsuen wgn demaltegtum auchd rjden undem Ostchinrhalbdr Metlgselslft die zu dern ruin uns auplünderung durch die Rote armee/KGB toleriert „Russen Mafia“ „Olgarchen“ führte. Ich hate auch mit den Luetumdnvrsotben Bloggr Nawalany zu tun de rbenflls ieichrhchciert, ich tue das wigendemenführten kdenudnwiel man mien EDV irmakuattcghcthat per DDOS/Hcker/Vieren/Spm Attackeaufserver auf denen wie eta imBlofg Beweismittel im Fall lagern. Alsdie statsslcaft EDV Geräte bshclagnahmte wege Guatanamo kamendie kautt zirück,Beweismittelvernichtung? -------- Nachricht -------- Betreff: Faxversand an 06913678468 war erfolgreich Datum: Thu, 05 Dec 2024 23:14:08 +0000 (UTC) Von: Fax <noreply_fax@> An: maximilian.baehring@ Web2Fax Faxversand an 06913678468 war erfolgreich Guten Tag, folgendes Fax wurde erfolgreich zugestellt: Ihre Fax-Rufnummer: 00496924749613 Ihre Faxkennung: Maximilian-Baehring Empfänger: 06913678468 Zeitpunkt: Fri, 6 Dec 2024 00:14:07 +0100 Seiten: 5 Eine Kopie des Faxes finden Sie im Anhang. Wir danken Ihnen dafür, dass Sie unseren Service genutzt haben. | |
|
06.12.2024 05:31 |
|
|
|
|
![]() | |
| [0] |
20241206-0531-0-1.jpg |
|
06.12.2024 05:45 |
|
|
|
|
![]() | |
| [0] |
20241206-0545-0-1.jpg |
![]() | |
| [1] |
20241206-0545-0-2.jpg |
| Wie war das nochmal wenn ein Krieg ausbricht? Dann könne nicht mehr gewählt werden hieß es, dann trete das Parlament zusammen (so es denn noch eines gibt) um eine Diktatur für die Zet der Kirsduer zu bschließen und so in etwa sei schon Cäsar zum Diktator geworden. Genau so sah das in Südkorea für mich aus. Diejenigen die dort agierten könnten tatsächlich von Nord-Korea ins Land geschleuste kommunistische Saboteuer sein. Die Nord-Koreaner befindensiech ja in der Ukraine auf Seite von Putin im Kriege, das wäre nicht so überraschend wie es dgsretsellt wird. Und auch daß Frankreichs Regierungs-Chef Barnier genau wie in Scholz Deutschland in seinem Parlament die Vertrauensfrage stellt wäre dann eben an-gesichts der Lage die auf nen Kriegesausbruch hindeutet quasi als eine kriegsvorberitnde Maßnahme zu werten. Ich hingegen glaueb die polistche instabilität in der BRD und Frankreich ist deshalb entstanden wie Lügenpresse und Poltik viel zu lang diewhritausmein Blog etwa ver-heimlicht haben über dei Finazkrisneudndie altegtums-Frage Oset die deren wahre Ursche ist. Obeglcih ich siet üer 15 Jahrenalles tue die korruten Bulen zum ermitteln zu wbegenundie Korrute Justzgeshcihtgenau gar nichts. Udn das an einem Ort wo ein EZB ansässig sein will. Das was das 1. udn 5. Revier getan habenwrdals größet Blage in der deutschen Justizhistreo indiegshcichbüchereigehen. Die "baemtInnen" können froh sein so sie im Kriegsfall nich an die Wand gestellt und ershossen werden .
| |
|
06.12.2024 06:00 |
|
|
|
|
![]() | |
| [0] |
20241206-0600-0-1.jpg |
![]() | |
| [1] |
20241206-0600-0-2.jpg |
![]() | |
| [2] |
20241206-0600-0-3.jpg |
![]() | |
| [3] |
20241206-0600-0-4.jpg |
| Ic hab eben mal wider Anschruften herausgesucht für die Hiwsposrtale deslak zu Terorismus udn so udn da stoplre ich zfällig gietmorgen 06. Dezember 2024 um 06:00 Uhr etwa über jenen Telefaxnummer die nicht errichbar ist. Damit mein Sichätzung daß diePolisten sbalder krigsfall etrett andie wnd sgtellt udn erschossen werdn diese auch erreicht hab ich ein extra zu diem zecke anegfrtgen Flyer http://banktunnel.eu/download/burnful2.pdf und zar "in FARBE!" ausgedruckt unden sogar an die an dieser stelle "hand-bewegung da zu machen vor gesitgemauge" scheiben-wischer ihrer strfenwagen geklemmt vor dem 5. Revier etwa udndavon Fotos gech obwohl diese Schien mich sdistschst gefolter / verprügelt udnals Zge aus dem weg zu räuemn evrsucht hatten. Damsit sie nachher dann nicht merh behaipten köennwir haben vonnchst gewusst.
Screenshot: vom Internetcafe wie von mir aus nicht errichbare Faxnummer / Website abgerufen am 06. Dezember 2024 um ca. 06:00 Uhr https://rlp.hinweisportal.de/~portal/de/impr Landeskriminalamt Rheinland-Pfalz Dezernat 25 Valenciaplatz 1-7 55118 Mainz Telefon: +49 (0) 6131 65-0 Telefax: +49 (0) 6131 65-2480 E-Mail: lka.hinweisportal(at)polizei.rlp.de Webseite: http://www.polizei.rlp.de https://www.gelbeseiten.de/gsbiz/df8143e9-33f0-4d2d-b78c-544b2251c44a Gelbe Seiten Unternehmen finden *** Inspektion 3 - Lerchenberg *** Polizei Regerstr. 10, 55127 Mainz-Lerchenberg *** Inspektion 3 - Lerchenberg Regerstr. 10, 55127 Mainz-Lerchenberg (Tel) 06131 65 43 10 (Fax) 06131 65 43 19 Update: Rachakte der Telefonbuchverlagsdruckereimafia auch die soegannet polizei-"inspektion" auf dem mainzer "le-R-chnberg"? gibt iennicht erichbare telfxnuimmr an. Habe ich eben 06. Dzeber 2024 ca. 08:20 Uhr fstgstellt. | |
|
06.12.2024 08:00 |
|
|
|
|
![]() | |
| [0] |
20241206-0800-0-1.jpg |
![]() | |
| [1] |
20241206-0800-0-2.jpg |
![]() | |
| [2] |
20241206-0800-0-3.jpg |
![]() | |
| [3] |
20241206-0800-0-4.jpg |
| Beihilfe/Begünstigung RAF–TERROR per Postunterschlagung Kursmanipulationen/erpresserischer Menschenraub/Straf-vereitelung, Gefangenenbefreiung, Zeugen-Medizinvergiftung/Vergewaltigung
Maximilian Baehring Hoelderlinstrasse 4 D-60316 Frankfurt/M per Fax: +49/(0)6131/65-4319 Polizeiinspektion Mainz 3 (Lercheneberg) Regerstraße 10 D - 55127 Mainz-Lerchenberg Im Internet findet sich unter der URL http://banktunnel.eu/pdf.php und URL http://blog.sch-einesystem.de/ mein ausgedruckt über 30.750 DIN-A4 Seiten umfassendes Internet Tagebuch / Blog, als Offline Version downloadbar unter http://*** /***/ als ISO-Image (brennbar auf DVD) mit tagesaktuellen ZIP-Archiv Ergänzungen Neu: https://www.tiktok.com/@maximilianbaehring/ Frankfurt a. M., den 06. Dezember 2024 Zeugenladung Terroverfahn Alfred herrahsuen für Christian Metz (3sat Kulturzeit) Aktenzeichen 28098 C 360/24 des Amtsgerichts Frankfurt a.M. (Außenstelle Griesheim) sowie Aktenzeichen 388 C 478/21 des Amtsgerichts Frankfurt a.M. (Außentelle Höchst) Sehr geehrte Damen und Herren! Ich muß ja immer für alles mehrfach die Stfaverfolgung ebatregnwbwlh eieglcih einHiwes genügt wobei mir auffällt daß ihre aufder website angpriesenen Telefax Asnchlüsse von Frrnkafurt a.M. Hessen an der EZB aus zumindest nicht erichbar sind, das wurde auch von Perosnal vontrenertcfes bestätigt udnliegt defitiv nicht anmeinmanshluss. Sattdssnhabe ich mich egstren üer PolzstINNen ärgern müssen oder perosne die sich aufsocial Media zumindest als solche ausgeben die gepsote beismittelvidos blockern satt wiztelietn oebwohl ihenkalgermchtwurde daß ein gravierender Notfall/Notfu vorliegt. Wegen des pemrent Beghördnbeversagens betreibe ich inwzischen ein Onlien-Tagebuch, ein sogenannts „Blog“ im Imternet um die Veräumnsise zu dokumentieren für Leser wieansty internatinal,d ei Poltik und stfavefolgusgbhörden. Ih binmerh als eifchnur stinskauer. Verlassn sie sich darauf das wird alelsmassivekosweuqgzenfürihe Kollegen habeh. Esghatdarum daß manmich daran hindert die stfaverfolgung inGang zu bringen bei einem Fall von Sprengstoffterrorismus (laut Polize Ermordung Dusch Bank Vorstan „Herrhausen“) indem ich ebenso Zeuge und/odder Opfer bin wie bei gelcihe mehreren Fällen von Vergewaligung und Freishiserbaubung und Kidapping was ihre Kollegen decken. Udnes gaht um diemaniualtionvonwhalen ud Saboatageakten die nen Angriffs-Krieg vorbereiten. Ich war schonsiet ch dnekenkann sozalnegaert, politisch weoie unternehmerisch aktiv uetr adnermauch inienr shcüelrztungzusmenmit „christian Metz“ von der Redkation des ZDFinMain (lechnebrg?) der „3sat Kulturzeit“ .Mien muter war beim Budnsvrand der shc-udnshclißgesllcften als chfserkiärin tätig, dem arbitgebr-verand der sichristdiste imbkanberich,gstrasporte und sowas. Aus dismeGrudnwurde ich imeriwder Ziel vonAgriffn auch von bsispisleis digitalen (ganuwie koventionellen) Schutzgeld-erpressern, etwa hemalige Osblock VoPos/ NVA/Stasi Leute und desertiert eYugo-Bürgekrisg Soldten sowie Rotarbisten die nch dem bazugder Sojetramm inderbRDbeib wollten wielsie zu Hase kienperktve fürsch shane die sic Jobs erpressen wollten in der Sichrheitsbranche. Es ght daüerwigend umWiderveigusgbedinget Kimlaität imFiazsltor. Als damsl die EZB geshcffenwurde umdie lasten der latgetums_Rückgaben in dr DDR udnden Ostgebiten stemmenzu köen mit wetsgeld und den Aufbau Ost veruchteman mit gezlte wahl-miapuatioen eifluß zu nehmen. Uwerbshcle, Bill Clintonn, Oskar Lafontaine, Wolffang Schäuble und auchDolad trumpw rudne opfer massiver rufmordkmapagenne gehscürt von der Fraktioonm, demTeil der roten Armee die herrahsun und rohwdder in die lauft sprengte imauftrag vomusoka, ienrhcihtung wiel mangewagt hate die rückgab vonstali getenten altetusm zu fordern seitns der Heimatvertriebnen. Dabi wurdn jedeMnag Flshcmdungen in Unlauf brcht umdie BRD/EU zu dstbaliseren. Die täter keenich auch wielich es ja live miterlebethabe, da warne umter anderem mein shcüleztusgkolleg Christian Metz mit dmezsumen ich zur Schuke ging im Ort and em der terrsnchlag auf herahsuensattfandwir warnsozsuagenregional zustcädig. Zudme gabes dann auch noch weiter Jornalsiet von der 3sat Klurzei Redaktion. Allen vorna ist da die frau zunendie das PsudonymBrudeerteägetund auch Cleil shrtmann wieß vondenVergäen, wirhaben usn nicht nur imShcülerztunsgbür Jacobistraße 37 iN abdHomburg getsfffenin Kler sodnrn uch ienm imBAd homburger Hexekssel, das warende 1998. Manhat dasml fshcmsldugenin Uaufbagcrt di dazu fühertd aß die Firma Metllegsllsft AG, der größte Rohstoffkonzren Duschladns im DAX soweit ich entsinne mit üer 250 Bgrlrne weltweit indenruinegtreb wurde mit Rufmordkmapagne die mir galt und meienmVatre der dort abette. Manwollet geld vonusn eprssn fü dieifnazerungvonKurvetstaltugen. Sogar gaze Stfreuqnzen (VOX) wollt man daß geakft wrden von den Russen die Satelitten isn all shcießen. Es ging da umgeilte desiformtioskapagene. Das was donld trump zurhct imWhalkmaopf angeprcngrthat. Ich kann die irchgkeite seiner Vorürfe nacweisen. Ebsodßa man den Bdupröäsdienetn Chrsin wullfmitFShcmdlugenidnen rüktreittwazg. Die näheren Hintergrunde netnehemnsie bite den beiogfügten Unterlage und meinr webiste, dem vonmir eähnetn Blog http://blog.sch-einesystem.de , http://banktunnel.eu/pdf.php der rment angegriffn wird wiel dievon de rkorruptionbeimsneder ZDF priftert habendenPolitker vchendie Infos diesie balstenaus demnatz zubekommen genau wie ander dern Stfatat erichklich werden. Si werdn da üebr 30.750 Siten DIN-A4 PDF fiden. Um zu evrhdern daß ich aussgevor egricht und unabhägigen Juralsietn aht amn allrlsi shinerien avetsalte, man vrhcte di Redktion fidlich zu üerbehmenudnzu bahten ich hätte urberhclich nichtdas rctdie sgchcte zubriegn, diesklusv Story gehrör dnehcülerndudneihätensie für einmillionebtrag andie eprssnband verkauft die deren Veröffentlichung verhdienr will umweter das Bdpsrdidlamat zu polstch Zgständnissn eprssn zu können, wiegehtasu demebigefügten amterail hevor, dann gabensich Zegshcützer als ich und mienen letrenaus udnebauten den Jornalsitendiemic befargen wollte gegeüebr da sienicht drann,, de ridttistdibstahl wird auf social media facebook sichtbar wo mein profil „maximilian.baehring“ in „maximilian.baehring.9“ umgetauft wurde. Außderm shcütze manz rchte flsch ausgsgathabende „zeugen und zeuginnen“ die asu dem rot-ichtmilieu komen,die falschaussage ist ischen hieb- un stschfster erwiesen . Die Bdtrantale fürpolsiche Pbildung, einshcubchverleg, weist explizit aufdei Lügen auchvonPolsiten hin genau wie diewikipedi ugereitheietn aufliste diees beideNErmttluen zumSragstsoffnshclag gibt. Auch aucf meinHiwnsi hin wurde die tarrosten „dnaile akltet“ verhaftet. Ich mche es kurz: Man hat mein Kind entführt! unter androhung der Verstümmelung meiner Familie sollcih mir vor lafdner webcam die pulsadenr aufschneiden und es onlien stellen. Essolletnch Slebst-mord ausshen asl michdietäter ermordn wollten nchdem mhre anderevruche geshcert waren. Man veruchtauchdchdas lengen von Bräden dundas sbaitren von Strim und telfkalebndie mit Blozenschneidern durchtrennet wrden sicherhstkameras lahmzulegen die auf Prozesskaten egrichte sind. Es gabunzählie eirüche in mien räulickiten. Sogra Gehidiste die an erkennissen ausdem terrofallietrssirt hate etwa wermeinOifmrmnetnsind sogrtenfür haus-durch-suchgen udn baghörtetelfone DAZUGIBT ES GRICHTSBSCHLÜSSE dieichgernvolge zum Bweis, bshclagnahme ercher kamn mit kauttgacmheten Dateträgern zurück, BEWEIS-MITTEL-VERNICHTUNG de rkrorruten cops die ihre /absichlcihse?Versagen?) und ihre Käflichkeit kschierne wollten. Sietdme“backupe“ ich alles „in die cloud“ udnazr im Ausland. Es geht um Milldrscher Kursmanipulationen. Man shclugmich zsmmen, verifacht egsta, vegfite mich imKrkenhaus und folterte mich aufs bestialischste. Hierbei verwenet man Shclüsslricze die per Telefon, Email oder SMS – postalisch und sie drüfendabienichtergssendaß ich Rdkater inretungmitguetn Kotakten zum Fernsehen bin asl „okel Dagobert grüst seien neffen“ artge verstcte Hinwies- bsoshctenidn TV Sdnunegndieman mich zwang regelmäßg zu sehen umüer den stnd de entführungsermtillung informert zu sein. Mine lezreb erich ichnicht mer si wurde wohl wie angdrot ermodet an ihre statgeheDopplgäger ans telefon. WgenderZidvduch unde rstfazgen enstdnen Anslst und krkanverisgugskotendienun Betsndteil von greichlciehr auseinadersetzuug sind. Schonam 14.april 2023wdete ichmichdaher asn alk Maizu wgeneinzegeladungfür „Christian Metz“ vomZD beiihen in Mainz.Mehfch habeic dnsnde rpef Fa, email,Koatformuler und Sicbebrfen ansgshciben. Ohne eien Reakion. Ichwerte dasnun so daß man angt hat auszugen wiel die Flinfrmtio die man vreite hat dann offnbar werden. DmeSndermilladrschre schderstzfoderunge wgenFakenewimZsumamhag aufjdüsches altgetum imFllemetllegslcft Sherstzpflciht machen. Dher she ich mich nun gezwugen Die Jusralsiten Mtez udnBrunenr nazuzgen wegen Beihilfe udBgüstung sowei Stfavereilugi shcn Srgstff-terro-Mord,swe eprsserichemMsncharub udnvegreltiung. Dmait müsn sie Ermittlungen aufnehmen. -------- Nachricht -------- Betreff: Faxversand an 06131654319 gescheitert Datum: Fri, 06 Dec 2024 07:20:31 +0000 (UTC) Von: Fax <noreply_fax@> An: maximilian.baehring@ Web2Fax Faxversand an 06131654319 gescheitert Guten Tag, folgendes Fax konnte leider nicht zugestellt werden: Ihre Fax-Rufnummer: 00496924749613 Ihre Faxkennung: Maximilian-Baehring Empfänger: 06131654319 Zeitpunkt: Fri, 6 Dec 2024 08:20:30 +0100 Bitte überprüfen Sie die Angaben und versuchen Sie den Faxversand erneut. Sollte das Fax weiterhin nicht zugestellt werden können, dann wenden Sie sich bitte an unseren Support unter support@easybell.de <mailto:support@easybell.de> | |
|
06.12.2024 08:45 |
|
|
|
|
![]() | |
| [0] |
20241206-0845-0-1.jpg |
![]() | |
| [1] |
20241206-0845-0-2.jpg |
![]() | |
| [2] |
20241206-0845-0-3.jpg |
![]() | |
| [3] |
20241206-0845-0-4.jpg |
| -------- Nachricht --------
Betreff: Re: PeeringDB: Action May Be Needed: IX-F Importer data mismatch between AS21158 and one or more IXPs Datum: Fri, 6 Dec 2024 08:46:04 +0100 Von: Maximilian Baehring <maximilian@baehring.at> An: support@peeringdb.com Hello waht is this PeeringDB IX-F importer? the data in the DataBase is 100% accurate, https://www.peeringdb.com/ix/2084 lists the locix perring you mention and that is exatcly the same data I gave you from my side. Maximilian Baehring 21158 1G Selective 185.1.167.5 2001:7f8:f2:e1:0:2:1158:1 -------- Nachricht -------- Betreff: PeeringDB: Action May Be Needed: IX-F Importer data mismatch between AS21158 and one or more IXPs Datum: Fri, 6 Dec 2024 03:57:47 +0000 Von: support@peeringdb.com An: maximilian@baehring.at This email details 1 new data mismatch[es] discovered by the PeeringDB IX-F Importer. Please review and correct these mismatches at your PeeringDB network page (https://www.peeringdb.com/asn/21158 <https://www.peeringdb.com/asn/21158>) or work with the indicated IXPs to correct the data. ----------------------------- Data supplied by your network Maximilian Baehring is in conflict with that provided by LOCIX FRANKFURT. Please work with LOCIX FRANKFURT to resolve this conflict or correct your data at https://www.peeringdb.com/asn/21158 <https://www.peeringdb.com/asn/21158> as appropriate. Your network page will contain hints to assist with this. The PeeringDB Admin Committee may assist with this conflict if it is not resolved in a timely manner. REMOVE AS21158 - 185.1.167.5 - 2001:7f8:f2:e1:0:2:1158:1 The combination of ASN, IPv4 and IPv6 do not exist in the IX-F data under one member connection. ----------------------------- | |
|
06.12.2024 09:30 |
|
|
|
|
![]() | |
| [0] |
20241206-0930-0-1.jpg |
![]() | |
| [1] |
20241206-0930-0-2.jpg |
![]() | |
| [2] |
20241206-0930-0-3.jpg |
![]() | |
| [3] |
20241206-0930-0-4.jpg |
| Nach der Freude mit den Faxanschlüssen der Polizei RlP die scheinbar allesamt nicht erreichbar sind udn dem spaß den ich als ich die Faxprotokolle in der Email suchte zu allem überfluss noch mit nem kleineren peering habe nun zum 18:00 Uht TV Vorabendprogramm von gestern Donnerstag dem 05. Dezember 2024: Bi den siposn ging es um Oldtimer die man maniöation duch hyposebedingt (?) Stichwort Hexensessel gefunden hatte. Homer wurde gezwubgen im Koffertransportbusiness mitzumchen wo es um Shclaglder-aettschen gibng die er das ganze ge-tarnt als Fmilien-urlaub nach Pari importierne sollte. In Teil zwo ging es dann darum daß Mareg verfste wiel sie "Nackt und lässig perdon nach-lässig" war. DAs hab ich auch shconmal irgndo gehört, bei Natalie Imbrugalia? Ihr gefilö es imKanst sehr guet wie es Buchclubs gab wo Homertik sattfnd und einen Garten. Siewurd per Revolte befreit. Dann gab es #ebrliNueKölln02407 also vilemher #berlinTgaUnchat, Köln50667 gibts ja schon nicht mehr. Diesmal hatte man dann Joes Boxclub dichtgemacht. Er wollte im Homeoffice arbeiten. Erinert mcih an usern Kller-hsueter C***kjoce der hier im Aufzugssmashinen-raum server aufstellen wollte wofür erevruchtemeinIP Addressbereich zu kapern. Wolh um Rotlicht -Milie Camgile Anshclüsse für Zuhälter zu "anonymisieren". DAnch bagn deie 3st Kurzteit dieja umirhe st frequezen bagen muß wennsoe fle lee die keien dahtgebudenen Anshcluss bekommen auf LTE/4G/5G WLAN/WIFI aus-
weichen wieldie gerlscften die anshclüss abtotrne um einzu erpssne OsblockSbaoterue udn Kirminel zu routen. ICh hab den ende 1998 imhexksselebrist gesagt daß ich da kin frudn von bin ien "mesh" aus Wifi aufzubauen da danndi finezrungder LeitgenvonStdt zuStadt nichzt merh fuktioert oder dengrzüerbgrnden etwa Übersseeekalbeln. Ich habe dne egst das passire "ohen mich" udndaß ich vonsolchen Experimentnüerhautnsichthalte. Da geht es drum ne Irstsukur aufzuaben mit der die Rote armee kommunzrien kann be ienr inavsion. Möglciherise sthen dei ernuetn störugen huet am LocIX damit in unittebarem Zusammenhang. Das sidnBullshit Abristbeschffungs- .m,aßnahmen für oseruosäceh Werftelektiker. Nun aber zur 3st Ku-LTU-rzeit. Es ging um BNbelpristräger dei nchgweisne haten daßDemokartei gut fürdie wrscft ist udn nun massiv widerleg wurdn duch ien ebenfalls gut fuktioenrende Wisfct intotalitrtensystemen.Ist aj auch logscih: wennich auf Zansgabriter zurückgrefen kann hab ich dank Sklaverei kaum Lohnkosten. So lang ich den nichst verkaufenw il sodnrn nur für denexport istdas ien eitzräglcieg gshcätsmodell. Man lie duchshcien sitens der rotgefäbten inerz Kurredaktiondaß mandie shcuze vonwetslciehr dmoakrtei woes fgrei märekt ege satt habe und stellt iaistschen Kommustschn System als gentweurf auf. Esfängt ja shcongut an mitde rPrsse-udnzsrfereieht nch shcisishcmvorbild. Dnnwurde gsat daß die rgeirung inFrareich gestürzt wurde am Voraben inienr nchtsitzung, Dushland üsse ja uchnue wälen wasntülcihnichan "nordkorea" Trolendie fakenews verbeiten liegt wie jen die densüd-koransichen psäditenet dzu bchten ZU RECHT wie ich meien das kriegsrecht auszurufen. Dan wurde der Philsoph Sletrdjjk inetvew. Eruopawürde duch das Band des chsrtcleh agluebs zusmeghalten seitd emIttel-alter sagte er. Er kramte Begriffe wie "Imperailosmus" aus der Mottenkiste (make russia Grat again) als Vergangenheit usres Kotents. Ds ist groebr ufug.Di sichten legte in Ostpreussen die Sümpfe trocken udnegann nes alnd um daß sich danndie polen uer den nagel rissnwollten. Di hattn es evräsumt auf ähliche art udn weise kreativ zu werden was akcerfläcggweinnung fürdie chsne bevölkerungnaging. So hatma nir das zudmetsaml idner obstrufe beigabrcht. Dn sprh Sloertdik davon ewir würd tragiern wi anderkZ Sletiosrampe, genau, de rblöde suche soll idnenkregszhen damitder fücling Desrteuer sich in sienr bude breitmachen kann währnd er imfled getöte wird. Armutsziwdnerung würde u rchctkritsert sagte er. Was ist mit Inavsion vobrietendensbaoteuren wie den emitdnenich es zu tun habe? Dzushcige er sichaus,. Dann ging es um denwideruafbau von "Notre dame". nchdem die Kiche "abgebrannt" war wie die Zocker-Gemeinde bei den Simpsons wollten handerker Neue Fenster einbauen.Whecilich wiel auf denalten noch Bilder von der ze vor der Rveoltionzu shen warne die psätren ebren ihe Herrshaftsanspruch nachweisen. Sieh dazu da them "gitthilf Fischer". Dann ging es umien Opern-afführung vonJAques offnebch "fastasio". Die Kultur wrde gefärdet duchirgelceh "faulen Deal"s (in der politk?). Was krt ist darübe rhabendie klustmisterinimWndel der zetjauch gaz utscdlich ansichtengahbt.Dnch ging es umienBuch üer die Badewanne. Und Ziehhaermonika -Spiel in Argentinien. Dnch ging es umeien mann derdi gshcichte seienr Eltern aufgshcibenahte wie sie mit geäschtenapiren ausgreist waren asu demostblock. Es gingumdas them gefächt stemple das ichhuet morgenshconmal erwähnt habe beimTham Authetizität von Altegzums-Urkudne. Dann gab es iensong von "di golden Ztrone" "Der invstro". SOnch dem moot schiß ausf Polzerieveirwirwollenher einamfia kaufhaus aufmachen aufdensGrstück da können wir die pliszstation die das grudtsück bish rhate ja abrißene. Dann gab es eine Einblendungwoe Crla udnclo be ienme Polizeieinsatz war und ich dchte ichhätte geshen wie Cleo am boden gelegen hätte. https://www.tvinfo.de/fernsehprogramm/2023650755-die-simpsons https://www.tvinfo.de/fernsehprogramm/2023650761-die-simpsons https://www.tvinfo.de/fernsehprogramm/2006752212-kulturzeit | |
|
06.12.2024 11:09 |
|
|
|
|
![]() | |
| [0] |
20241206-1109-0-1.jpg |
|
06.12.2024 11:11 |
|
|
|
|
![]() | |
| [0] |
20241206-1111-0-1.jpg |
|
06.12.2024 14:45 |
|
|
|
|
![]() | |
| [0] |
20241206-1445-0-1.jpg |
| https://www.tiktok.com/@maximilianbaehring/video/7445294608659139862
| |
|
07.12.2024 10:30 |
|
|
|
|
![]() | |
| [0] |
20241207-1030-0-1.jpg |
![]() | |
| [1] |
20241207-1030-0-2.jpg |
![]() | |
| [2] |
20241207-1030-0-3.jpg |
![]() | |
| [3] |
20241207-1030-0-4.jpg |
![]() | |
| [4] |
20241207-1030-0-5.jpg |
![]() | |
| [5] |
20241207-1030-0-6.jpg |
![]() | |
| [6] |
20241207-1030-0-7.jpg |
![]() | |
| [7] |
20241207-1030-0-8.jpg |
![]() | |
| [8] |
20241207-1030-0-9.jpg |
| Heute erstmal zum 18:00 Uhr TV - Vorabendprogramm vom gestrigen Freitag, den 06. Dezember 2024. Bei den #Simpsons gab es eine Katastrophe mit nem neugebauten Denkmal wegen dem die komplette Stadt zerstört wurde. Burs sollt die Satdt wiederufbauen aber Lisa hatte zuvor alte Amatuerfilme von Burns gefunden udnesghene wo er sich als Kidn lächerlich machte im Theater und er wollte eine Wiedergutachtung für diese Kindheitstraumata als Gegenleistung für den Wiederaufbau. Er wollte ein Stück im neueröffneten Theater wieder aufführn bi der edamsl ausgbuht wordne war und die ezwungen neurlich auf-führung des tscükes mit ihm als hupstdrtseller scheiterte erneut inder gust des Publikums. In Teilwzo hatte burns einen Autounfall mit Prof. Fringe der wi im"la Boum" film wo man "dreasm are my reality" walkman Kopf-höre träget und in eine das Gehör betrefnde Filetrblase ab-taucht artig dadurch abgelenkt gewesen war daß er eien VR BRilletrug. Burns probeirte das Gerät selbst aus und war begsiet wie es ein vonder außenwelt abschirmt. So wie anchrchten uafd em Handy wo man jemde nutr ienspezilsrte Sicht der Rleität voguaklen dokannder imIntrent. Das "Befreien aus der Filertrbalse" das zeigt ja mein Demostationobjekt anonymsierungs Porxy. Es gab da aber viele zu wenig "content" dafür daß es nutzbar gewsen äüre udsd on entchloss sich Burns dazu eine Art "Soap Opera" für sich filmen zu lassen. Er nagierte die
Fmailen von Homer für ohen mit "Motion Capture" udn "greenscreen" Technologie eien VR Fmilensga zudrehen. "scipte Impore Relist", inden flshc Häden "truer Crime folter Pr0n", das wird agedute (Margesoll "Bein zeigen"). Die Dreharbeiten gingen Tag und Nacht und Homer war dher zu hause alleinudnfrundete sich mit ienrnahcbrain, einer Pilotenehefrau an die ebenfalls einsam war. Das erinertrt mich ein wenig an die Familie Wielandt, die Luftgansa Crao Piloten bei uns aus der Nachbarschaft. Dann begann #berlinNueKöln02407#BerlinTgaUndNacht wo Cloe im Krankenhaus lag nachdem sie sich mit eienr kriminellen Gang angeleget hatte, od die drogen-dealer was mit (vobn süchtgamchen Coputerspielen imBeich von Scheelbllsytem und Olin Proitutionlebenden) Handy verkäufern zu tun habne die sie in den Knast gstekt hat? Dann begann die 3sat #Kulturzeit mit dem Bild einer defkten rot-gelb-grün Ampelkoalition die ich ohne das gelbe licht funktioeiren ürde sagte die Morderatorin, es gabe zahreich amplen die keine Gelbphase haben wie die für Fußgänger etwa. Das wäre aber eine Ampel die von üer zwo Dritteln der Deutschcne ignoniert wird wennman sich mal die Unfrageergebnisse der parteien ansieht. Wenn die oppsito mtiien Vorwurf recht hat dann ist dies daß rot/grün kienermle ehehiet hatudn auch in Zukft progostitere ich nichtemrh Mehrhistfäg sienwird nchdem manun "HartIV" beshcr hatte woe man die dsuchn Klienbrüge die der MAsn amrtuswderer-Sabota Wegn abristlso wud dannauch noch geplüder wurdne vmögettschnsich.. Man hat nur die SPD gewählt um Das Merke Groko Regime loszuwerden bei der letzten Wahl. Das war in Großbritannien bei Sunaks abwahl ganz ähnlich. Diemuß ja uch widerholt wrden wile Fragas lager "kake abegorndete" ins Paramant wählen lße um dem Waglleiter zu dmeistrierne wie viel korrupte Scheiße er baut daß er nicht mal Phantasiekandidaten aussieben kann. "Fake News" und "Putin Trolle"/ "Whalkmapf-spnedne" in ganz Westeuropa das man mit Flüchligen flutet die in Wahrheit Saboteure sind. Dann ging es plötzlich um Algrien, eine früher Kolnie der Franzosen und den soagennten "Befreiungskrieg" gegen jene Ent-wickliunghelfer welche die Eisenbahn usw. brachten dort. Flugzuege, Autos, Dmfshciffe udneibhane, alles Teufslzeug für de Afikner die dem wetn Luft verkafen wollen in Form von "CO2 Zertifikaten". Oder wollen da wir [sic!] "wasser-stoffbomben" bauen mit LNG-Tankern/Temrinals die sie nachher per Intrenet fernzünden können,siehe dazu meinen Versuchsaufbaa. Öko Terroisten wollten in Afrika mit Solazellen Wassrestoff hesrtellen und uns hiervon abhängig machen. Es ging also um Algeriene und einen Psyhiater "Frantz Fanaon" der die "afrika denafikanern, Ausläder rus" Polltik des gewltsamen Widerstndes ggen Fremdherrshcft gut fand. Di UN Chart decktdas ja auch. Es ist nur aber nicht sodaß die Bvlkerung inAlgerine tisitzende aägts haben müszte vor einem Atomschlag der Franzosen, oder? Ich hab zr Zet de idveriegung mal Psychiater inOst udn wet gebten im Rhamen meirn Pressetätigkiet heruszufden was dieserr "klatre Kirge" nstellt hat mit denKöfne de mschen wo man tileies berist war aufdie eiegne Landsluet inienr artt Bürgerkieg zu shcießen. Dann ging es plötzlich um Iklausion. Eien Frau dieien Buch geschrieben hatte sagte dßs ja nicht nur die msnchen benchteilget wrden die ien dukle hautafbe habnewile sie nicht dazughörne optishch geshen sodnr es aucgh Behderungen gbe, auch erbliche,d erwtegen man rsisstsch nälich aufgrudnder "midnertgene Gene" ver-folget wreden kann. Dfür gibte s jezt eien nuen Facbgiff "balimsus". Die sagte 416.000 Menshn im Land seien von Behiderung beroffen von denen 258.000 Sonderschulen besuchten. Auf Dauer fllen bei behdrten Kdenr ja die ltren eg und annhaben die nur noch di eMöglichkeit sich auf irhe "freunde" zu evrlasen udnwennde slbst bhidert" insd dann könen sie villecht nicht optimal helfen. Der Begriff "Behindert" würde nicht bedeuten daß man selbst shcld trage sodner auch vor allem daß man von andern, dritten bhidert werde die sich ienm in den Weg stellen. UDn das ist danndie shcttseiet von Inklusion wie ich sie ais der Kuckuckss-Nets Kita in der bad homburg Oebr-erlbacher Weigartenstraße her kenne. Wo danndie nicht bejderten köeprlich stäkeren kidner doer die slelsich abnormen den Köeprbehderten die ich nich rifg wehren könendas lebn zu r Höllemchen. So Luet wie Chistian Kreuzer dieaf schäher rinprügelt, der HEmann von VAre Zanner (ge Begr) der Sportwetten sbchlißt inspilen Bhderte gegen die Profimannschaft des betfefefnden sports umdern fmileinazocken zu können. Die autorin des bcuhes die das Poblem vorbahcte sagte noch daß bei usn ldr lietundg udn Gesudnheitd as maß aller Dinge geworden seien. Im Hiegrudn sah man dannienhsönse Shcild das darauf hinwies daß Behinderte ofrmlas nictdie sleben Bürgsteige benutzen könne beim sapziergang, ichhat draf berist hiwesenals Wofgang Shcäble inden rollstuihl kam nch ienmgemein Atteat im Wahlkampf. Wi er die Gangway/Treppe im Flugzeg hchkomen soll mti den selben Bildern wie sie etwa bei Staatbesuchen vonder Gangwi der Air-Force One gemacht werden. wo man symboosch aus dem Himmel herabsteigt. Es geb etwas was ie als eien "Sozaldrwinismus" bezhte hat "wi nützlich ist ien menhc", da hta vor alem damit zu tundaß ein gsuder auläder ja wenger Pflegkosten koste als ine erblich behderter udn merh abriten kann für sie aufthaspaerre, wiso sollteman da ienm karneknIlander noch den job gebenstt dem nich behdiertenauslkädner. Das habe ich sher oft ins zentrum miner poltshcn Überlgugen sgtellt im Blog hier. Duch Amsutzdnerung wird Arbeitkraft billig "ERSETZBAR". Fällt drinläder aufder basutellevom Geät per abstfall ertsze ich ihnifch duchien fdttsämmigen und muß mich nich weiter um ihn kümmern onder AfD sobeuchte) "UMVOLKUNG" ganz extrem. Ein de rbsten Szenen im Musical "Evita" ist so finde ich besipsilweise die mit dem rollstuhl/Personal. Das hat was vom BEstle Kalssiker "will you still neddme,w ill you still fedde me" when i'm 65?) wir lebn ja in ienr zet wo Frauen Vätern zusnhme ihre kinder vorenthalten um mit dmenuen Lebgsfährten Fmilei spilen zu könenn udnin fom massivstr seelsche grusamkeit damit diese dann im Alter niemanden mehr haben de rich umsi kümemrt wenn derrets drfmile weggestorben ist. "Tony Erdmann" hat das them mal aufgegriffenals Film. Kein Zivildinst mehr undkien tardionllen fmilien, die Jugend von heute lebt regerlercih imwhrsten wortsinne "asozial" was die Genrstion angeht die ales aufgbaut hat (bei meienr war es das Frdliche Euopa und das internet) was si als lbts-vbetsädlichhinimmt.Womt wir beimThema Kider angkomensind, Fretag gibt es ja imemjene Kinderbuch- tipps umdie ich malfür die Auslandsshcüler bat die kien Leihbücherien in ihrer fremden Sprache vorfinden mit großer auswahl so wie inde rhaimt. Fürdi habe ich ja spwas wie "amazon" erdcht. gau wie die wkipdeia ja dfür dine sollte die sgchichtbücher von östricher, shcizern, de rinzenebrd-budnläder un der DDRdsuchrschigen kidner miteiderabzgeleichen als werkuzeg für ien gesiemes gshcichstbuch das grzüergrifned inEurop gilt. Das them mit dem (vom) "(Feind)-bestätgten Flugeug abshcuss". Tom Haks hat ja #CASTAWAY gecht für die frachtpiloten wie den von der DHL und die, wie Jan Böhemermann diese nennt "Vrsndlsodaten" (das Cargocity Süd Thema). Ich hab in der Zeilgalerie ienmagta-T-Mobie würfe neben einm stnd von"wolrdvison" oder so Paten geshen onb es inwzschen grenzübegreifender WUSCHZTELLE aus dem Netz gibt (ien SM mit der numer uas dmekatalog) und was das HAndy-Porto angeht Wihacnhst-Sondermarken? Ich eriner mal an das "NOARD Tracking Santa" Thema. Steht alles im Blog. Wir lebn ja in ienr zet wo Flugzeug-abstürze im Osten ien große Rollespilen polistche, dhslab hate ich auch angeget "rammstein" nach Moskau zu schicken zur Inthonriserung "GRAF" Lambsdorfs. Ich mien es gibt da ja dieses "(ich liebe?) deutscheland" lied von denen das den kalten krieg thematisiert indesn zet wir zurückzufalen drohen der doch schcon überwundne galt. Vo dem absturz von MH17 in der ukraine. (ist nicht neulich auch in Litauene ein Frachtflieger abgestürzt?) Das istmmer tragsich wenndie "amzon" buch-betsllung fürdie suchprchige miderhiet im alnd dann nicht unter dem weihnchtsbaum im Ausland landet. Et wa kinder-bücher vonden 3st Kulturztet tipps wie "Der Vogel in mir fliegt wohin er will" üer Erziheung von Kindern zubrt-losen Künstlernoder Das mächen mit den shcfelhölzern schlägt zurück" eine neuauflage eines Hans Chrisitain Anderson Märchnesbe dme ich an das Pailinchen denken musste vom Strwwlepletr, nichtda su "kein pardon vom H.P. Kekrleing". Dann gab es noch ein "morris der den hund ruft" oder sowas Buch. Aple geht auch ohne Geld. Das schfft jobs für verkehrdgelde hungernde polizisten. Das "Ampel - Aus" seie das "Wort des jahers" gweorden. Di koaltionhabe usn die "cannbis-laglsierung" beschert dank dem viele jeutz zu "passivraus-Komsument" werden wie sgte "bill clinton"? "Inhaliert aber nicht geraucht"? Und as "Wärmegesetz" dank dem der hiezunggsbauer asu dempalatring steinreich wird mit isne yigo-gastarbeitren. FürRnetenr bedieutet derÖko-Wahn "kalte Enteigenung". Odr ch für Erbne die as grüden die sie slbst deftiv nicht vehcudlet haben in HatrzIV/Alg2 fallen wo danndas amt den BesitzderFmilie enteignet idnem es die Heizkosten nicht zahlt. Oder duchs gestz notwendig wednede Aaf-rüstaktione die ien HArtzIV/Alg2 mefägernict zahlen kann der das hasu sienr fmilie reb.t Der von gescrshstsshcicks verpügelt du betrgen Untrenhemr wird dannauch noch sien privatbesizer berubt, haustche fürs nichstun wie etwa sbt produzerte Viren asu dem system enefrenen bekommen unnötge ngstellte weitherin "gehalt". Frü mcih hat das was von "Kriegführung mit Biowaffen" EDV-Viren udnDDO udnajckeratatcken die Nutzer zwigen sat wi fürher eien PC zu ebsutzen sich zu Opfern von Schnee-ballystem udnKaretkll aboflaln für virnscnner und DSL-veträge zu machen udn Netzensur inScoialMeda und per Spamfilrre abgefanger Post. bevromanmich eprsste mit enführten Kidnrgab es das le snicht im Internet. Dann gab es eien "Boajck Horseman" artgabhgehaftern Sportler der üerKomerzialsieruzng des Sports sprach, da sthem rushchafia da amNickolaustag gepsst häte udnwie man da KONSUMTERROR dnKiderzimer trägt mit etwa der "Air Jordn Premiummarken" das sparte er dabei aus. Das "Dikat der Mode" das bei der 1980er Synth Pop band "depeche mode" sogar den namen bildete,es gibt da ja eine Arte von"Krönunggsmesse" auf "Black Celbration" hat mir mal jemand erzählt Thema "Kaisers neue Kleider" und "Promi Shopping Queen". Hiter demr idee des ausgtezten Königssohne bsi Moes und jesus steckt aj daß er sic anders als betüger selbst zu erkennen gibt durch sein Wirken anderproganda vorbei. Inaht der Weihnchgschcihet st ja dß der Thronfolger behautet "man habe den falschen" gekürt erkennabr daran daß der das land in den Abgrudn wirtschfatet. Da oslt man mal drübernchdenken. Wnn di "moikalesiwnksy" udn "TRY_Y Dnailes" aus demroltichmilieu usner poltik bestimmen mit den zuhältern der Drogenmfia zusmmen und eine Sensationsnlüsternen "princessdie is wareing a new dress" presse. Danngb e sien Itersnten film zur etshungdes Weihnachts-ortaoriums, ein "bio-Pic". Es ging darum ob man wie bei "social media komentarne" auf youtube oder bei Top "Of the Flop" Charts mssnkönne ob das dnemsnchne mdal gefallen hat, sien ztegnossen, oder es eher ichtg war dem geldgeber zu gaflen, demwllichn udnkrichlcihenalde. "Songs of Fait (and devotion)",lide rüber den galbe und die uwerung uter adelige ... | |
|
07.12.2024 10:31 |
|
|
|
|
![]() | |
| [0] |
20241207-1031-0-1.jpg |
![]() | |
| [1] |
20241207-1031-0-2.jpg |
![]() | |
| [2] |
20241207-1031-0-3.jpg |
![]() | |
| [3] |
20241207-1031-0-4.jpg |
| ... genet-schaft at Depechmode mal ein album genannt. dasit ahc ien ietrssntes Thema für ien (vh1) "BEHIND THE MUSIC". Oder ob "RUSSIANS" kligen wie im gelcih-namgen song von "sting/ThePolice". Auf tikto wo ch jet fat 1000 follwer hab ehab ic nuelich nenSpauerga sghen es ging um die Wehnachtsbseleuichtung in Tokio, Japan. Ic hab für de Asiatshcn Brschne-Kolleg ein paar "saeson Greeting" Vdosacht wie man sich den DeCIX -Ricgt vorzutsllen hat. Flls mal eine "was machteigeltihc der kudne" schaut . und da gab es ien lagens pzergang in tokio weiamn in japan ja kaumchrlsich ist bis man auf sien straße kam wo weihachtsbeleuchtung war neulich. udn es gab gstren ienvido von einer Asiatin vor einem Weihnachtsbaum. Asl ichdie gacnht habehab ic nan mienvorvelen ajren anLuekämie evroben Schüleztugs-Kolleg gedacht der mal ienartiklegehct hat üer di "schönst emto station der Welt" in Lnegdrd, so hieß St.Petrburg dmals noch. Und de tage hab ich Videos entdeckt üer Eisbahne in Russland, ic hba mal was zur Trssibirch Eisbahn referiert inder shcule anslo zu "de europschstämmigen Amerikaner brachten mit der Eisenbahn den foschritt" Thema su den "Lucky Luke" Comcis. Weil das Thema heute doch die Kolonialsierung war. ciheinenr mal andie "Spur-Z" Mdoll eisenbahn di ignelche Us-milrär/politker als bshcidgschnk mit in die USA nahmen aus Deutschland damals. So wie siht die "alte Heimat" aus (wo man herstammt) artig?
DAs gning mir so duch dne kopf vo de rkluter die man mit indienue wlet nimmt, etwa das opernhaus in Syndey. Ode rdi gshciche das man inJapan Betehoven so ger hat daß man CD Spieler/Discsentciket hat wo er ganz genau darauf passt mit vom Fasungsvermögen her. Es gibt da eien audiokommentar zur Enstehung desSongs "white chistmas" war es glab ich wo es mkistshcnee geht de rmichienwng an eine #Simpsons Folge erinnert hat. Dieses "schenkfest" daß der Handel so gerne adaptiert aufdemganze Globus dei "Kulturivasion", war esnicht ganu ds wogen die "taliban" in Afghanistan ankämpften? Soviel zu kurzet und "making Of 'Wihancht,oratorium'". Dann wider #berliNueKölln02407 / #berlinTagUndNacht wes diesmla um Teengar schwangersften ging und um das Sorgrerecht. Ich rag mich ja was mlies leblicher vater gesgat häte zu der ehe mit einem afrikanischsämmigen. Der hat ja das Thema TEENAGER-SCHWANGERSCHAFT ausbdenmüssen mt Milla die ihr Kind Amelie UNTER ZWANG ihre ltren zur Adption freigeben musste. A.C.A.B. All Cops Are Bastrads hat mir mal ein solcher erzählt. Ob de rich jezt im Grabe umdehrt wenn Amlie mit Lennart uter dnerm die grudnlage für amtzudnerung epr fmiliennchzug shcffte? Was das Ebre nageht de fmilei ds üer ahuderte ggen Inavsorn aus ader Lädnrvetgt wurde? Der Vetsoben Poliszet ht es ja voll abbkommen, währnd er FMilenstregkietn shclcihet betogihn Mille mit Mike die der eigeen historie wegen wohl nicht merh fähig istsStabile aabrzihungs- Parteshcfte einzugehen. Das Thema wie Elötern die man als Behindert falsch-diagnsoritert gezwigen werden ihrn Nchsuch abzugen, da hat Cthy mit ock hichtg erkannt,dasis ienagz heißes zum "Fammilienfst" Wihnachten mt strk erhöte suidrate. https://www.tvinfo.de/fernsehprogramm/2023651087-die-simpsons https://www.tvinfo.de/fernsehprogramm/2023651104-die-simpsons https://www.tvinfo.de/fernsehprogramm/2006752298-kulturzeit | |
|
07.12.2024 18:15 |
|
|
|
|
![]() | |
| [0] |
20241207-1815-0-1.jpg |
| https://www.tiktok.com/@maximilianbaehring/video/7445719601398222102
| |
|
07.12.2024 18:30 |
|
|
|
|
![]() | |
| [0] |
20241207-1830-0-1.jpg |
![]() | |
| [1] |
20241207-1830-0-2.jpg |
![]() | |
| [2] |
20241207-1830-0-3.jpg |
| Gestern gabs noch Jan Böhmermann mit dem 2DF (Neo) Magazin Royale der sich über das Internet - Streaming Video Nachrichtenportal iSUN, pardon nicht wie Telco Ausrüster Sun Microsystems sondern NiUS echauffierte weil die etwas kritishces über ihn berichtet hatten. Das ganze war total unseriös sagt er, das zeige sich an den ganzen Intreview - Partner wie etwa Jens Spahn. Es ist echt schlimm wen manso von einer website verleumdet wird, von so einer (Putin Trolle?) Fake - News Schleuder. Die Bild Zteung wirdbt ja damit daß man digitla heut shown die augab vonmorgenlsenkannudn udtscrhct es dmait daß man die Sonntagsausgabe der vier Bcishteb Zeitung aus dem haus springer vom 08. Dezember 2024 schon am 07. Dezeber 224 kaufen kan als Printausgabe. Die musk gestrenkam von hergott krümelmonstr passend zu "(wenn du im trüben) ... udn es tropfr in dein gemüt" worn ich denkenmuste als ich getsern 06. Dezember 2024 ein sabotage-bedingtes gld-shower Leck entdeckt hab. Auf der Zeil gab es Iran-Proteste gegen die religiösen Zwänge, das spielt den Christen nebenan in die Hände die untützendenwihnchstamrkt mit zahlreochen Zeugen Jehova artgen (Speakers corner) Wanderpredigern die teils homosexullen und Pr0n Konsumenten die ihre Trieb-abfuhr lieber selbst erledigen als sich von jemandem abhängig zu machen dermöglciherise noch AIDS hat oder so andohtendaß die allesamt inder Hllen landne würden. Halleluja! Ich fühte michien wenig an diese Westboro
Baptists Church mit dnekalrn ansgen erinert die ich so proma fand im Fersehen. Ichweiußt gar nicht daß Homo-sexuellen inirhe gshclchliche identität "umdrehen" zu wollen mti öfflichen Kampagnen noch erlaubt ist. Ich hate eigentlich nur zeigen wollen daß es in der "Zeil Galerie" jatzt so Displys gibt wo Stellenausschreibungen gezeigt werden, etwas "haustechniker (d/m/w)" wo das nicht merh so ist wie beid r frau die dasmlunebdigt wollte dßa ich irh ien Sktertärinenjob erpresse und aus der ebchaft meiner Großmutter bezahle dmat sie,die drogenabhägig war, acuhdie häretenshcen, mich nicht verleumdet. As ich der sgte heir sie das nich so eifch mit stlelushcbungen, da müssten Regel eigehalten werden teiwleise hiße es be irh wennien einem Cafe ein schild imfter hänge "bedienung gesucht", dann düfr mands aj auch abrissneund mit in den ladn nhemn und da sagen, dashing beenbeiihen im efster,ich hab es shconmla baghägt damit psteillen andere Mit-bewrwer während wir jetzt hier miteinander reden nicht auf die Ideekomen sich auch noch zu wberben udnmeir Berbungdmaot Kokurrez zu chen. Es geflt das Prinzip "fisrt come, first serve" das wir von der Vergabe von Domainnamen he rkenne, de rjenge der es als ertse endtcekt, egalober am schchten vonalleberbern geeignet ist die scih kurz später noch bwerben würden sonts, derbkomt auch denob. dals ich hiet ImSupermkt war mußte ich daran deneken wielda EienPinwand warwoman so NAhcbar zu anchbar, Nchhten hinrerlassen konnte etwa "Kidnegwn güstg abzuageben" doer sowas wo dannof so Abreiss-telefonnummern darn sidn womanshenkann wiebeght das nagbot ist udnwie vile sich außer iem schon umetwa bemühthaben. Und das ist bei desien digital-anzeg-tefalnnatülich anders. Gelcih benen den ar eien Roletreppenseiteausfschrift-Werbung "steuerhinterzieher gesucht", davonhate sc schnoma lgehört, ich kenndie frau die das gamacht hat aus dem Bad Homburger Hexenkessel Ende 1998. Es geht da um Ausbildunsgplätze bei der Steuerfahndung. Die meisten im Land empffnden beidem geldmit dem die Rgeierung umsichwirft Stervermidungals Notwehr gegeüebr einem korruoten staat, wahrsceinlcih haben die deshalb bsiher nicht genug Leute gefunden daßsie das Schild abhägen könnenwie die Frau die das "Serviererin gesucht" shcild aus dme fster reistt und ins cafe trägt zum besitzer um etwas idne rhand zu haben währnde sie sich bewribt. Wir erinenrn usnmanwollte mir unebding ne sekräerinaufnötgen udn dorhte mir, udndie Dohrungerfüllteman, mir die häde zu rchen wenn ich es wagne ürde slebtr zushcben. Wehriclich shclte deshlab auch die ganze Zeit "die KI" mein Front-Mikrofon am handy ba wenn ich aslnicht gerkscftlcih orgisetre am liebsten krankeversochten-kärtchenvermeidender tiktoker unterwegs bin der uchkien sonstigen arbisgbesitgen kartelle anghört. Das ist rücksischslos ggenüber Luten die von sowas leben . https://www.tvinfo.de/fernsehprogramm/2008768337-zdf-magazin-royale | |
|
08.12.2024 13:00 |
|
|
|
|
![]() | |
| [0] |
20241208-1300-0-1.jpg |
| diff –ru1N / whois -h whois.ripe.net -T aut-num AS21158 | sed -e '/^%/'d | sed -ne '/^aut-num/,$ p' | sed -e '/^$/,$ d‘ @@ -166,2 +166,3 @@
remarks: +remarks: remarks: AS41051 - Freetransit - LocIX Accelerated Frankfurt/M @@ -170,7 +171,11 @@ remarks: -import: from AS41051 action pref=100; accept ANY -export: to AS41051 announce AS21158 +remarks: import: from AS41051 action pref=100; accept ANY +remarks: export: to AS41051 announce AS21158 remarks: -mp-import: afi ipv6 from AS41051 accept ANY -mp-export: afi ipv6 to AS41051 announce AS21158 +remarks: mp-import: afi ipv6 from AS41051 accept ANY +remarks: mp-export: afi ipv6 to AS41051 announce AS21158 +remarks: +remarks: ----------------------------------------------------- +remarks: peering closed cos of session down without prior info +remarks: ----------------------------------------------------- remarks: @@ -187,2 +192,8 @@ remarks: +remarks: ----------------------------------------------------- +remarks: the locix peering was temprorarily closed on 20241208 +remarks: ----------------------------------------------------- +remarks: rs-peering closed cos of unprofessional ixp-managment +remarks: detected rs-peer AS44324 unwanted IPv6 transit 202412 +remarks: ----------------------------------------------------- remarks: @@ -192,4 +203,4 @@ remarks: -mp-import: afi ipv6 from AS202409 action pref=100; accept AS-LOCIX -mp-export: afi ipv6 to AS202409 announce AS21158 +remarks: mp-import: afi ipv6 from AS202409 action pref=100; accept AS-LOCIX +remarks: mp-export: afi ipv6 to AS202409 announce AS21158 remarks: @@ -409,5 +420,6 @@ remarks: changed: maximilian@baehring.at 20240201 +remarks: changed: maximilian@baehring.at 20241208 | |
|
08.12.2024 14:00 |
|
|
|
|
![]() | |
| [0] |
20241208-1400-0-1.jpg |
![]() | |
| [1] |
20241208-1400-0-2.jpg |
![]() | |
| [2] |
20241208-1400-0-3.jpg |
![]() | |
| [3] |
20241208-1400-0-4.jpg |
![]() | |
| [4] |
20241208-1400-0-5.jpg |
![]() | |
| [5] |
20241208-1400-0-6.jpg |
| Betreff: Re: Fwd: Fwd: you are ILLEGALLY announcing 2001:678:de0::/48 route from my AS21158
Datum: Sun, 8 Dec 2024 14:11:23 +0100 Von: An: LOCIX NOC <noc@locix.online>, Maximilian Baehring <maximilian@baehring.at>, noc@moedove.com, ruben@ifog.ch Hello S.Zeit.! Your messages got sorted to my spam inbox which is not monitored as frequently as my inbox. use mayor email-providrs like hotmail, yahoo and g(oogle)mail regdring spamfilters so yous hold fix this issue as it may affect other ixp members as welll, at least potentially, if they forward emails for example to a wbamer inbox on a smartphone. you say that on decmber 02nd, 2024 the route "2001:678:de0::/48" was installd via an as path "44324 34927 21158" . this is not correct/true, the rouet was installed via an as path "44234 21158" altough the commitys set did not allow such an as path and event the peeringdb entry was inicatiog that perring policy is "selective" !!! and not "open" to everyone!!! i have attached this on screenshots !!! when i logged into my lcix conected router i found ot that the all 3 sessions were down and i was not even able to use teh webiterface manager.locix.online website afterrestteing my pwssowrt i got a message that te login is not asociated with a member. for EVIDENCE DOCUMENTATION i even made screenshots of http://bgp.he.net hat show that AS44324 (wich formerly has been used by a orute motring tool at ripe, say some outadated utilitys with name to numer resolution cache that's a bit older than the curret in ripe-db), now "MOEDOVE LLC", was without otehr hops inbetweendriectly annocung my AS21158 via itself to AS6939 which i have my own peering with on another IXP. Therefpre you can see it on the "http://bgp.he.net" screenshot appearing as an new upstream/trasit, so that is thrdparty evidence that MOEDOVE is actinga s a atraist for aosutnoise-system that tey ar not allowed to. i was that upset that i foudn out you simply seem to have cancelled my subscription withoput an warnig or information taht i completely took locix perinsg down (there is only AS58299 ACCEPT AS-OPEFACTORY at the moment still at locix wihc ist if minor impartnae) and wrote the following to ripe-db: -------- Nachricht -------- Betreff: Re: Fwd: Fwd: you are ILLEGALLY announcing 2001:678:de0::/48 route from my AS21158 Datum: Tue, 3 Dec 2024 01:39:10 +0100 Von: LOCIX NOC <noc@locix.online> An: Maximilian Baehring <maximilian@baehring.at>, noc@moedove.com, ruben@ifog.ch Good Evening Mr. Baehring, Good Day others, thank you for bringing this to our attention. It was not very clear why you forwarded this email to us, or what the problem was. In the future, please do not forward us email without any context. After investigation, it seems like you are complaining about the fact that Moedove is *installing *the route 2001:678:de0::/48 via Locix. This is due to the fact that the route, despite tagging 202409:0:44324 on direct session with Locix RS, can still by seen by your upstream as34927, who also sends the route towards RS, without 202409:0:44324 tagged: > > Route Deteils - |2001:678:de0::/48| as received from protocol > |pb_0137_as34927| > > *Network* 2001:678:de0::/48 > *Gateway* 2001:7f8:f2:e1:0:a120:4927:1 PRIMARY > *From Protocol* pb_0137_as34927 > *Age* 2024-11-13 09:57:16 > *Metric* 100 > *Type* BGP univ > *BGP :: AS Path* 34927 21158 > *BGP :: Local Pref* 100 > *BGP :: Communities* 34927:122 > *BGP :: Large Communities* 202409:1000:2 RPKI UNKNOWN > 202409:1001:1 IRRDB VALID > Note that this is *NOT *a hijack of any kind. AS44324 is *NOT *redistributing the prefix. In case situation is unclear, you are always welcome to contact us or other NOC directly, and get clarification on distribution behavior. However, such behavior Mr. Baehring, where you aggressively accuse others of "illegal" hijacking your prefix, due to lack of knowledge on how to read looking glass output correctly, is not tolerated. As a result, we have temporary suspended your membership for the next 4 weeks. We consider the situation resolved. Best Regards, Lennart Seitz -------- Nachricht -------- Betreff: Re: Fwd: Fwd: you are ILLEGALLY announcing 2001:678:de0::/48 route from my AS21158 Datum: Sun, 8 Dec 2024 14:26:27 +0100 Von: Maximilian Baehring <maximilian.baehring@yahoo.com> An: LOCIX NOC <noc@locix.online> Take al look over here, damend! https://zentral-bank.eu/tumblr.com/sch-einesystem.156_files/20241203-1100-0-3.jpg taht is a backup from my blog Decber 3rd, 2024 at 11:00 o'clock! http://blog.sch-einesystem.de/ARTICLE/2024120311000/ here, escpacially http://blog.sch-einesystem.de/sch-einesystem.new/20241203-1100-0-3.jpg | |
|
08.12.2024 14:30 |
|
|
|
|
![]() | |
| [0] |
20241208-1430-0-1.jpg |
![]() | |
| [1] |
20241208-1430-0-2.jpg |
![]() | |
| [2] |
20241208-1430-0-3.jpg |
| Datum: Sun, 08 Dec 2024 13:29:59 +0000
Von: Marek Ziólkowski <noc@locix.online> Antwort an: noc@locix.online An: Maximilian Baehring <maximilian.baehring@yahoo.com> Kopie (CC): Maximilian Baehring <maximilian@baehring.at>, noc@moedove.com, ruben@ifog.ch Mr. Seitz… Ruben: Get that thing as far away from me as possible, it's mentally ill. AS21158 Menstruation excluded go to doctor idk do something… -- Kind Regards, Marek Ziólkowski [...] -------- Nachricht -------- Betreff: Re: Fwd: Fwd: you are ILLEGALLY announcing 2001:678:de0::/48 route from my AS21158 Datum: Sun, 8 Dec 2024 14:46:18 +0100 Von: Maximilian Baehring <maximilian.baehring@yahoo.com> An: noc@locix.online i am working for the press, my frinds are at televiosn and you will very soon have not a single customer anymore, at yor anxhenge for biutches, i promise tooyu, as well as your criminal friend, this mr. "moedove". there is an FBI Instvitagion running. hicjacking of routes/traffic an taking money for it. i have perrinsg enought, i absoluteley o not need locix. m ecrrehsot form bgp.he.net, an indpednetn trid party show that you are tlling coplete bullshit. | |
|
08.12.2024 15:00 |
|
|
|
|
![]() | |
| [0] |
20241208-1500-0-1.jpg |
| ich bin schon wieder den ganzen Morgen und Vormittag nur noch mit unnötger Routing-Scheiße beschäftigt. Ich wollte nur kurz ein weiteres SSL Cert das zum Jahresende ausläft verlängern udn hab mich daher duch den Spam in meienr Inboxs gewühlt. Das ist nicht so wichtig wie das ander CRT un daher wollte ich mtider domain mal eien günstigeren Anbieter ausprobieren. Die Sytemfuktiorten lang genug um Geldabzuchen aslich dann das CSR Copy und Pastete hatbei den irgendein Server2Server Ajax Script nicht funktioert, (an mir lag esnicht, ich hab esmit here Browsen udmachienprober die na unterschidlochen Inetrnetanshclüssn verhcidenr provder hägen) auf tickets wurde nicht geantwortet und da hab ich dann den Fehler gemacht mal in die Spam Inbox zu schauen. Was dazu führte daß ich nen ganze IXP RIPE seitig disabled habe.
| |
|
08.12.2024 16:00 |
|
|
|
|
![]() | |
| [0] |
20241208-1600-0-1.jpg |
![]() | |
| [1] |
20241208-1600-0-2.jpg |
| Ic hatte hit vromattag auch im Spamfilter was geshen wo sich jemand beschewrt hat daß es Rouet Hijacking bei hm gab und daß er Millionen an Lösgeld zahlen sollte. Das hat mich doch weikcihe sehr an die Verbrechergang aus dem Schülerzeitugsbüro erinnert, die drogenabhängigen Kumpels vom Florian Bruckmaier. Da ging es drum daß es einen FBI Case gab wo angeblich komplette Häuser als Sicherheiten für Millonenlösgeldzahlungssummen her-gahalten haben. Udnich eririner michnoch egau daß ich owas aus dem ebrich dr MATALLEGSLSLFT AG Rsnom-ware Eprssrgag Ende 1998 im hexseel gehört habe. Inder emial stnd sogar eine FBI oder Interpol - irgdnwa auds dem nsgclschrchigenausland Fallnummr mit drinne. Ich hab ja gsat daß da bis auf die knopchenkorrte Cops mit drinenhängen Ich mußte aber erstmal den versuch meine route zu stehlen/hijacken dadurch unrerbindden daß ich diesen komischen LocIX der als gartsbeigabe zum KleyRX Peering mit dabi war damals rausroute da er Probleme macht und dann auch noch unverschämt wird. Den Typen von dem foto das ermitshcickte habe ich auch schon mal gesehen. Da ghet es drum daß Luet wie deise "Moedove" mienNetz nutzen wollen um sich hinter mienr rchtgen Idtiät zu evrstcken mitihreKirmineln gschäfte wie soweit ich enstinne Online-Wabcm-Protitution/geldwäsche. Ich hab auch meprment anmeldprobemmit webmaielrn, fürmchsihtdasso aus as würde die korrutencopsvruchen webmali anbietr die ih nite dazzu erpssen daßsie meine
emails mitlsen dürfen cheme sie mich so lange mit spamm vollbobardiert und mir ilegaerwise total sie sozauhfle strchen damit ch mien eiegns rever nich emrh von de rmeite her ezahlen konnte udn nogdrungen email auf ksotelsen webmaielr annnehmen musste was vonde sicherheit her subptimal ist vorchtg forumelrit. Auch das ist ienart abhörshcnitstelel daraf hab ich hingweiesen. Undicher mittel aj geue gen korruet Cps im EDV bereich. Die die diepolizeabriet sbaotren udn nchd em ausstge Josb als Cyseucrty Luet epssen wolltne vo meirn Muter beim Bakesichristerad die besser bazhtl werden. | |
|
08.12.2024 19:00 |
|
|
|
|
![]() | |
| [0] |
20241208-1900-0-1.jpg |
| https://www.tiktok.com/@maximilianbaehring/video/7446101708318559510
| |
|
09.12.2024 05:29 |
|
|
|
|
![]() | |
| [0] |
20241209-0529-0-1.jpg |
|
09.12.2024 07:15 |
|
|
|
|
![]() | |
| [0] |
20241209-0715-0-1.jpg |
![]() | |
| [1] |
20241209-0715-0-2.jpg |
![]() | |
| [2] |
20241209-0715-0-3.jpg |
![]() | |
| [3] |
20241209-0715-0-4.jpg |
![]() | |
| [4] |
20241209-0715-0-5.jpg |
![]() | |
| [5] |
20241209-0715-0-6.jpg |
![]() | |
| [6] |
20241209-0715-0-7.jpg |
![]() | |
| [7] |
20241209-0715-0-8.jpg |
![]() | |
| [8] |
20241209-0715-0-9.jpg |
| -------- Nachricht --------
Betreff: Re: [PEERINGDB-202412TQALS1] RE: Re: PeeringDB: Action May Be Needed: IX-F Importer data mismatch between AS21158 and one or more IXPs Datum: Mon, 9 Dec 2024 07:12:20 +0100 Von: Maximilian Baehring <maximilian@baehring.at> An: chriztoffer <support@peeringdb.com> Kopie (CC): noc@moedove.com, ruben@ifog.ch, LOCIX NOC <noc@locix.online>, maximilian.baehring@zentral-bank.eu, maximilian.baehring@googlemail.com LocIX is a semiuprofessional IX at Frankfurt a.M. operated by formerclassmates of me, the only thing of interest they have there is graitous IPv6 traffic at AS6939, that was marketing- gag when the partly in germany serbian/ex-red-army-soldiers AS6939 tried to sell huge companies like Metllgetsallsf AG an hewlett packard theyr peering. i am one of the ibnvetors of IPv6 that orginally whas an april-fool an dindictes that german police/labour unions who tried to spy IPsec Tunnels did not knew the difference between IPSec and IPv6, the proof ist that there is no IPv5 but IPNG. Metallegesellscaft AG, a huge mining company with thosunds of elpyes and mer than 250 meinesaround the word more thena was coerced by okeo terois gangs to buy back hijackes routes for sreveral milliosn of dollars, now locix tries to do the same thing with my network. my mother was working at the "bundesvrand der Wachn und Schliessgesellchaften", like therer are labour unions of workrs thre need to be the opposite, the organisation of employers, and this is the union of the topmost big bank bosses. therfore the same car onteh same route that i was using to be driven to shcool was bomb balsted. https://www.bpb.de/kurz-knapp/hintergrund-aktuell/196955/vor-30-jahren-ermordung-von-alfred-herrhausen/ i was woking besides my work in the it indutry for a parliament as well as in theprsse, togehteh wich cistian metz of grmren zdf/3sat television. i was found out that RAF communist terroist had corrupt guay in the greman police her in frankfurta.M., the k15 in frankfurt adickesalle, the 1./5. the disctrct police satstion and the police in bad homburg where thebob balst tookplace. besides that pepole wher former classmates of my school. the baonm blast terrorist are inatrnationally organized left wing paramilitarys that also work together with labur-unionsiet and commusts in coutry like china. some of the communsit the spys were arested https://www.tagesschau.de/inland/festnahmen-spionage-china-100.html also some of the terroist https://www.tagesschau.de/inland/innenpolitik/anklage-klette-terror-raf-100.html . and all of this becouse of evidenece material taht i collectd (as i sais i wolred for r the press) and published in my blog whrefore they sevaraltimes trid to kill me. my child was kidnappend and laboru union and corrupt policmene try to get my ntwork offline. Thefore they made a new peering with AS44324 at locix whcihs trasited my traffic without any permission. lik theis ther gad also been spy acivity in the year 2003 by AS15844, a company that makes WLN/WIKI Liks to 38GHZ backbone in bad homburg whis is parr of the "edward snowden" hacks, snowden is a "lier" who tried to save his job by woking fopr the "russian red army" spying german companies. tey made massive ddos/virus/spam attacks by geratoing traffic and spopofing ips in mainzer landstraße infrankfirt a.M. her tey do not have to pay for itand mades us tarffic invices of thenthousands of dollars onthe lines taht connected bad homburg und frankfurt a.M.. the red army guys organize themselves togethr with the labour uiost of teh DATA CNERTE SECURTY,and teh data cneter securyt ist the Union woh is the psioe of the abritgebervabnd "undbsnvand der shc und schliessgesllschaften", the "employers' association" who dies wo much money hay gat if hey ar inthe lef winglabour unions. as you may know you have to be netral insuch thigs if yu ant to work inthe telco industyr but they aren't. they severaltimes tried to kill me and even poisonde me withmedicine after is was injuredby occuurpt policmen that i inavstgated aganst inhopsital with so i hav problems with thyping . like this they ried to coierce my compayn to hier ciorrut peronllem form them orgnsized in the ommusitc labour nion to infilatrate tha bak job eployers union. but what has all of this to do with LocIX?Welleher are also some of teh corrut guy wokimng inthe datanceter Ceriuyt at the Kleyerstraße/Rebsöckerstraße Data-Center who work for teh communitsts. They tried to hijack my outbound traffic and to be a illegal upstream. please sse the screenhot attached. it shows that "bgp.he.net" lists AS44324 as trasit for my network wat it is not accoding to ripe aut-num: https://apps.db.ripe.net/db-web-ui/lookup?source=ripe&key=AS21158&type=aut-num i kbow this guy called moedove he blengs to tthe peoples that kidnapped my child trying to tkae ove rmy copyn and then tottack the banks. i deteted this error in his route filters, he forwarded my traffic to AS6939 that i peer at another IXP (kleyrex) with. Therofre routes to AS6939 get AS two AS path prepends set at locIX by lrge BGP Community. if the route comes from me or from my uspetra AS34927 tahn this is always as path prependend toensure keyrex and not locix gets the AS6939 traffic. i had several inidents with the guys at "he.net" where we foud out that IPv6 peerings sohwer at locix/kylrex forwarded rotes that wer even blockedby deCIX route filters visible at theyr looking glass. the guys overthere are not very proffessional, kleyrex partly not even answers emails it is operted by Ghostnet, a Intrenet provider for BAd Homburg v.d.Höhe wherethe Hrrehausne Bob Blast Took Place by gystaht i Know very well, Lars Weber(?) for example. This guys treid to press me with my kindpped chidlto hand the over customers/ routes. the belog to the commust labour unionist gangs. wo hat i found in bgein of demceber taht as44324 moedove lls waslited as an upstram for me but i do not wtant to have them for polictal reasons, the belong to the cmmust labour union group polictally. i opened an ticket and told locix and as34829 that they are illagylly doing a trasit between my network and as6939, i was able to see that theyr and my ipv6 interface ip address at locix wher ised as next hop in the routes. THE NEXT HOP TYHEY ADVERTSED WAS LOCIX, 2001:7f8:33::a102:1158:1/64 NOT KLEYREX 2001:7f8:33::a102:1158:1 OR 2a0c:9a40:1::413 SO IT IS ABSOLIUTELY CLEAR THAT THE ROUTE CAME VIA LOCIX PEERING. Therore i deaactivated them explicityl by "strengthen" the "forbidness" https://manager.locix.online/public-content/routeserver ! I knowthat Moedove works togther with the red light district cybermafia. may mail ibo was bombed with gigabytes of spam and therefore i uses the googlemail/hotmail and yahoo spf filtering mechinsm and the mail locix send me that they TEMPORARILY suspeneded my peering there for 4 weeks. AND NOW TO YOUR QUESION, THS SEEMS TO AVE BEEN WHAT YOU HAVE SEEN! THEY "SUSPENDED" THE PEERING "FOR 4 WEEKES" AND BY THEYR ACCIDENT THIS GOT FILTERED IN THE JSON-IXP-EXPORT THAT YOU IMPORT AT PEERINGDB I ALOS HAVE SEEN THAT A FOMER USPTERM OF MINE HATS MADE A WRONG RADB ENTRY AND IN RUSSIA MAY AS-NUMBER APPEARS IN AS-SET-OBJECTS WHERE IT SHOULD NOT! ANYHOW! I AM REALLY UPSET AND FAVE DECIDED TO LEAVE LOCIX COMPLETELY! I HAVE MORE THAN ENOUGH OTHER PEERINGS TO BE PREPARDE FOR SUCH CASES! Please see the attachd email-docu! Maximilian Baehering (for contact details see http://as21158.net all my contact detail info in the RIPE-DB is also accurate, for my blog see https://zentral-bank.eu/tumblr.com/ mainly the sch-einesystem.###.pdf s or https://blog.sch-einesystem.de/ ) -------- Weitergeleitete Nachricht -------- Betreff: Re: Fwd: Fwd: you are ILLEGALLY announcing 2001:678:de0::/48 route from my AS21158 Datum: Sun, 8 Dec 2024 14:11:23 +0100 Von: Maximilian Baehring <maximilian.baehring@yahoo.com> An: LOCIX NOC <noc@locix.online>, Maximilian Baehring <maximilian@baehring.at>, noc@moedove.com, ruben@ifog.ch Hello S.Zeit.! Your messages got sorted to my spam inbox which is not monitored as frequently as my inbox. use mayor email-providrs like hotmail, yahoo and g(oogle)mail regdring spamfilters so yous hold fix this issue as it may affect other ixp members as welll, at least potentially, if they forward emails for example to a wbamer inbox on a smartphone. you say that on decmber 02nd, 2024 the route "2001:678:de0::/48" was installd via an as path "44324 34927 21158" . this is not correct/true, the rouet was installed via an as path "44234 21158" altough the commitys set did not allow such an as path and event the peeringdb entry was inicatiog that perring policy is "selective" !!! and not "open" to everyone!!! i have attached this on screenshots !!! when i logged into my lcix conected router i found ot that the all 3 sessions were down and i was not even able to use teh webiterface manager.locix.online website afterrestteing my pwssowrt i got a message that te login is not asociated with a member. for EVIDENCE DOCUMENTATION i even made screenshots of http://bgp.he.net hat show that AS44324 (wich formerly has been used by a orute motring tool at ripe, say some outadated utilitys with name to numer resolution cache that's a bit older than the curret in ripe-db), now "MOEDOVE LLC", was without otehr hops inbetweendriectly annocung my AS21158 via itself to AS6939 which i have my own peering with on another IXP. Therefpre you can see it on the "http://bgp.he.net" screenshot appearing as an new upstream/trasit, so that is thrdparty evidence that MOEDOVE is actinga s a atraist for aosutnoise-system that tey ar not allowed to. i was that upset that i foudn out you simply seem to have cancelled my subscription withoput an warnig or information taht i completely took locix perinsg down (there is only AS58299 ACCEPT AS-OPEFACTORY at the moment still at locix wihc ist if minor impartnae) and wrote the following to ripe-db: diff –ru1N / whois -h whois.ripe.net -T aut-num AS21158 | sed -e '/^%/'d | sed -ne '/^aut-num/,$ p' | sed -e '/^$/,$ d‘ @@ -166,2 +166,3 @@ remarks: +remarks: remarks: AS41051 - Freetransit - LocIX Accelerated Frankfurt/M @@ -170,7 +171,11 @@ remarks: -import: from AS41051 action pref=100; accept ANY -export: to AS41051 announce AS21158 +remarks: import: from AS41051 action pref=100; accept ANY +remarks: export: to AS41051 announce AS21158 remarks: -mp-import: afi ipv6 from AS41051 accept ANY -mp-export: afi ipv6 to AS41051 announce AS21158 +remarks: mp-import: afi ipv6 from AS41051 accept ANY +remarks: mp-export: afi ipv6 to AS41051 announce AS21158 +remarks: +remarks: ----------------------------------------------------- +remarks: peering closed cos of session down without prior info +remarks: ----------------------------------------------------- remarks: @@ -187,2 +192,8 @@ remarks: +remarks: ----------------------------------------------------- +remarks: the locix peering was temprorarily closed on 20241208 +remarks: ----------------------------------------------------- +remarks: rs-peering closed cos of unprofessional ixp-managment +remarks: detected rs-peer AS44324 unwanted IPv6 transit 202412 +remarks: ----------------------------------------------------- remarks: @@ -192,4 +203,4 @@ remarks: -mp-import: afi ipv6 from AS202409 action pref=100; accept AS-LOCIX -mp-export: afi ipv6 to AS202409 announce AS21158 +remarks: mp-import: afi ipv6 from AS202409 action pref=100; accept AS-LOCIX +remarks: mp-export: afi ipv6 to AS202409 announce AS21158 remarks: @@ -409,5 +420,6 @@ remarks: changed: maximilian@baehring.at 20240201 +remarks: changed: maximilian@baehring.at 20241208 I am really upset. Max Baehring (for contact details see http://as21158.net , looking glass webpage is http://lg.as21158.net in 2001:678:de0::/48 + 193.109.132./23) Am 03.12.2024 um 01:39 schrieb LOCIX NOC: > Good Evening Mr. Baehring, > Good Day others, > > thank you for bringing this to our attention. > > It was not very clear why you forwarded this email to us, or what the > problem was. In the future, please do not forward us email without any > context. > > After investigation, it seems like you are complaining about the fact > that Moedove is *installing *the route 2001:678:de0::/48 via Locix. > This is due to the fact that the route, despite tagging 202409:0:44324 > on direct session with Locix RS, can still by seen by your upstream > as34927, who also sends the route towards RS, without 202409:0:44324 tagged: > >> >> Route Deteils - |2001:678:de0::/48| as received from protocol >> |pb_0137_as34927| >> >> *Network* 2001:678:de0::/48 >> *Gateway* 2001:7f8:f2:e1:0:a120:4927:1 PRIMARY >> *From Protocol* pb_0137_as34927 >> *Age* 2024-11-13 09:57:16 >> *Metric* 100 >> *Type* BGP univ >> *BGP :: AS Path* 34927 21158 >> *BGP :: Local Pref* 100 >> *BGP :: Communities* 34927:122 >> *BGP :: Large Communities* 202409:1000:2 RPKI UNKNOWN >> 202409:1001:1 IRRDB VALID >> > Note that this is *NOT *a hijack of any kind. AS44324 is *NOT > *redistributing the prefix. > ... NO LONGER YOU DAMNED IDIOT! ... > > Best Regards, > Lennart Seitz > > Am 02.12.2024 um 22:50 schrieb Maximilian Baehring: >> >> >> >> -------- Weitergeleitete Nachricht -------- >> Betreff: Fwd: you are ILLEGALLY announcing 2001:678:de0::/48 route >> from my AS21158 >> Datum: Mon, 2 Dec 2024 22:43:20 +0100 >> Von: webmaster@zentral-bank.eu <webmaster@zentral-bank.eu> >> An: noc@moedove.com >> >> to ensure it's not coming from locix frankfurt i do not announce ipv6 >> an longer there (with exceptions that are as6939, as41051 and as58299). >> >>> show route export as202409at100v6 all >> 2001:678:de0::/48 unreachable [as21158v6 2024-11-13 from >> 2001:678:de0::8] * (100/-) [AS21158i] >> Type: BGP unicast univ >> BGP.origin: IGP >> BGP.as_path: 21158 >> BGP.next_hop: 2001:7f8:f2:e1:0:2:1158:1 >> BGP.local_pref: 100 >> BGP.large_community: (202409, 0, 0) (202409, 0, 112) (202409, 1, [...] Die zeiter Email fidnet sich schon im Blog, ich glab 03.Dezber 2024 11:00 Uhr locix schreibt hier > > Note that this is *NOT *a hijack of any kind. AS44324 is *NOT > *redistributing the prefix. > das ist unfug. sie habn ds prefix redstributed sonst wäre es auf der website bgp.he.net nicht plötzlich (das mußmehr tsund/tag o agagneg sien) als upsteram schtbar geworden. mit denen peere ich am KleyRSX, nicht LocIX. Daher wdren dern route as-path prepende im LocIX Import und auch per BGPlrgevommuniyt. An der interface adresse man sehen daß AS44324 Moedove das ans ich weitreleiten wollt per LOcIX, dann häte die rote aber dne as path prepedn aufwisen müssen der über die routeserver gesetzt wird eigehnd iw per bGP large dommuyt ausgehend. das beduet inenrhlab as6939 gwinnt imer dasklyerexdie rote election es sie denn kelyrex wäre kpletet olffline. für denflls würden mutmaßich erstmal meine andren peerings übernehmen und es zumshcluß aäbe wirgndwn den fllback ausflocix. eifch weild er as patch zwo prpends hat asugend wieiegehnd. da fumelt jemdn an routen rum (das sit prinzipiellerlaubt so lange mandmait im eigen as bereich bleibt), schneidet communitys heraus udnserter si idch iegen, das ist im prinzip auch erlaubt, allerdngs darf amn es dann nicht weitegeben. "set community ADDITIVE" (cisco IOS syntax) wi sgta das ist alel kien problem so lange das im eigeen netz passiert aber er leitet das illegakl (sons würd es im aripe-aut-num objetc erlaubts sein rpsektve bei den ix cummuniyt) weiter. udn dhslabtcht das sl as path ^(6939_)44324_21158$ plötzlich bei "he.net" AS6939 auf. Anders als Locix behaute REDISTRIBUTE der typ mein rozte "KLAUT TRAFFIC" asl häte er herfür mit mri ien agreement was es nicht gibt. die beochtung vom lic daß am 03. dezber 2024 ignwnn abnd da problem nicht mehr besteht ist richtg, das lieg aber nicht daran daß es nich ebstdn hat vorher sodnr daß ichasl sofotge nofallmaßnamen die bgp comunires restriklive getunt habe. mien peering policy ist "selctive"nich "open". nru wiel die"ufallstelle" izscen uafgeräumt udner vekehr umegeleietist beduet das nicht daßsie voher nich existert ha. bsi der loicx sich enlich ums ticket küermte das ich am vorabend hscibe muste ja wa geschehen. ich hab gar nichtmehr mirt igendner form von antwort gerchent so lah wie der locix als IXPregaerte. eifc h mal schuenwnnichdui rste medung abstetzte udnanndi anwort kam. ich habes extr üer menre email konten erledgt um auszuschließen daß es im spafilerhägen blibt auf deren seite swot ich das vonhier aus kotrollirenkann. soagr üer dittenetze ie yahoo damit nicht weg routinproblem bestimtmmailsevr möglicher- weisenicht erreichbar sind. daß bgp das gnaze als trasit fürhrt auf de rbgp.he.net seitz is der BEWIS einer ditten partei daß illagkl ttarfic an di educhgricht wurde. | |
|
09.12.2024 13:15 |
|
|
|
|
![]() | |
| [0] |
20241209-1315-0-1.jpg |
![]() | |
| [1] |
20241209-1315-0-2.jpg |
![]() | |
| [2] |
20241209-1315-0-3.jpg |
| So, es gab mehere fehler bei den zwo SSL Certs die ich betragen wollte nachdm ich mien wichtigstes ja letzte Woche schon erlägert hatte, zentral-bank.eu, so war es diesmal bad-homburg.eu und central.banktunnel.eu . ich hatte ja gestern schon gesagtdaßich fürdei nicht istalsSSL OV validateten "kleineren" Certs nicht direkt einkaufe via comodo/sectigo wiel die vergleichsweise teurer sidn sonder das DV Zeugs kauf ich beim jeweils günstgisten Anbieter. Nnormlersie sind das sogenannte PositiveSSL Zertifikate. Es gibt aer auch noch Essntail SSL die isnd billger und unterstützen noamlrise kein SAN. Normlerise sindie gecht für ezlene srver wie sgen wi r ien maserver de rnur auf einen einzelen namen lasucht wie mail.google.om andrs als webserve die fst immer auch üer beei "AT/@" domain so ebannet nch inem steuer-zeicehn aus dem BIND DN namersver config file also https://google.com genauso ereichbar sidn wie unter https://www.google.com . Daß die Domain mit und ohne WWW davor erichbar ist sowas nette man SAN das steht qusi für "SECONDary ATTACHED NAME" bei SSL Bezug, ncht zu verwechseln mit S-torage A-ttached N-etwork wenne s um Extren Fesplatten(arrays) für srever geht die per iSCSI uudnsowas angebunden sind. SN steht beim SSL normlerise dafür daß es nebn dem DNS-namen auf den das Crt läuft "google.com" noch wietere namen gibt für die es auch gilt "www.google.com" . Udnderushcid szchn denPsotiveSSL und EssentialSSL leigt eiglkich drain daß
essnatil nur ien DNS Namenbeihtale und das Positive mehrere, ie des "www." vor dem Namendas wegeglsln werden kann ooeh daß man üf jend denr namen mit ihndohe "www." ein einzelens CRT istallrn muß. Sowar das urpüglichmeisnwissne nch malegcht. und bidem nuen Anbietr den ich egstren asuprobeirt habe gibtes Essntiqa SSL achmit zwo namen udndaher hadlet erdie SAN anfoderunung imCRS request aners udndas führt nach-dem die Probelemdiedie Serverseitig hatten dazu daß derbsihrige CSR denichnutzet geädert werden musste. DA stondnoch Unfug drinen der bei der positive SSL ebtragung nicht isn gewicht fält, bei einem Essential SSL aber dsuchaus. Weildern server Server z Srever ajax eshcish gestrenuten war ist aber mein Fher gar nichtis gwicht gafllen, der uwrd esrt später sichtrab, heut morgen als diemendlichmentckert betworte haben. diehabe hatnicht wi e die andernsonnudnfeitarsg geöffnet, dafür ist es aber eben auch billger dann. Essummerietn ich also einfeher auf dern site udneienr auf meiner seite dahigenhd auf daß ich den CSR ein viertes mal starten musste (gstrn hatte ich drei versuche gemacht) udn vorher den CR anassen damiter auch bei de rnuen CA fuktioernet ohen SAN. Da shat michwide rdne gazen vormitag gekostet. Aber jetzt sind sowohl "bad-homburg.eu" als auch "cenzral.bantunnel.eu" enuert wobei ds um 4,95 US$ güstger war als bi demprmium anbietrdenich sonst benutze je cert. Ic hab das haut istvsivegstes was nicht nötg ist wenn man den bsiherigen galcihen abietr zm verlängern wie im vorjahr nimmt. Zustätlich hab ich uet zschen 5:30 Uhr udn 7.15 uhr damit zuegcht michnhcmalmitdmelocIX urzuärgrn. die werden ja komplett rausgeroutet bei mri. genau wie die kleyrex peerrinsg üer den RS, das einzige was dort noch bleibt ist die AS6939 Anbindungs via kleyrex. Ich hba iefch keinlsut mich anshcnuzen zu alssn evonleute diebehaten weil het die straße geräuzmt ist unde rvkrhe wondr lang läft wäre getsren dort kein "unfall" gewesen weshalbe ja umgelet udn dann aufgeräumt wurde. ds ist ein IPX, ih hab mich shcon beim DeCIX geärgert wie lahrschig di etikes betaworten. udn ichhab shcon 2003 gesgt daß das fehede AS-Path prepend am CIS nicht nch außen witeggen wrden draf "unzuöllässge verkürzen des AS Pafdnes", es wird vogetäsct man habe iege "inter-connects" dabi läft alels üer CIX Sithces und Route srevr. Da gibt es probmlemwas da ostmonopolangeht mit dr zulässigkeit von IXPs. Vile anbiet die da billeg prisgabiten drüftenkeinbeudssite RgeTP/NBetza Lizenz dfür haben. Wir eirnentn usn an denBrandbei OVH inStrasburg? die kan dochaf die "schlaue" Idee eifch ien kabel vonrakrich ch Dsuchand zu vrlgen epr rechenzetrums verinung um dann zu behauten sie müssten dafür keine auslands-gsrächsgbürhen zahlen zsczw satten sodnr die Sterkc non wgen hietr metr oder kiloteren für sin Gesprächv on Karlsruhe nach Starsburg wennbeide ismlseb Landläge. | |
|
09.12.2024 13:45 |
|
|
|
|
![]() | |
| [0] |
20241209-1345-0-1.jpg |
![]() | |
| [1] |
20241209-1345-0-2.jpg |
![]() | |
| [2] |
20241209-1345-0-3.jpg |
| Nun aber vom Ärger mit den UMTS Lizentversteigerung - Eprssungen drIndsutriebeim T - Mobile Börsengang, da ist ja auch ein milliardschwerer Skandale wo Osblock Mafiosi sich selbst ermächtigen wollten siehe das Thema Nobel-preisgekrönter "polnsicher Werftelekriker" und "BIGfax" und "OSprusse lategtum Spakulaion" von "PENUST DIE BANK ZAHLT ALLES" "IMMO SCHNEIDER/HERRHAUSEN". Dasollten ja fimen erpsst werden True Crime Folter Pr0n" rolicht mafaiosi irhe Traffcrchnug za bzahlen für dieolnli Prostituion von Webcam Girls "VIDOE ON DEMAND" vestckt hitre dem "Sporpaket auf der Hotelrechnung"! Daß payTV das sien Ihalte wenn es etwa ien Hotel oder eine kurklinik ist in abd hOmburg bezihe solte von den knoten in Frankfurt a.M. woe ber die DTAG verhcer ihr kartell so sgstelet daßsei ien midtsleitgsläge von 15km oder swas machten. damit alel süer frakfurt auzueliet gensuo teru ist wie das osgtspäch wennin bad homburg ein provder aufgemcht hätte. undidner adicklealle ahbendie dannauch shcon mitghört hat manmir ezählt. elahb ich NOTEGRDUGEN mien cihtgen wtiklcugen von abd hombrgnch bad hombrueg auf nem priatn pop der nur mienkden zugäglich war gerouet habe daiut das nicht üerfrakfurt läft,det raffic losustraße bis tannenwaldalle damsl ende der 1909er, ABHÖRFREI! vomrote hijacking dr mtellegsellsftAG wo INtepol oder das FBI ode ros noch ein Aktezechen zu hat mal ganz zu schweigen. "Snowden" istkein Held dr Ntezzesur sodnernda karass Gegentiel,
ienderderspioi wie die ichinesn die verhaftet wurden. Rate mal wo? In abdhomburg v.dHöhe,demshclagsort deshrrahsuen attats, da hat abe lang gedauret. ICh hab aj täglichdie sattssnclagt angschiben, midtsns alls 14 tage ienmal udn die polizei bsidie geerkt habe daß alle denrnlogedunich die whheit sagte. die shcäden für diens irrum sidngitsch, das sidn nicht ecfh ain paar millardn, dassnd mehrstellgemilardbeträge. das ist halt wnene abden od dorfpolizsten mit f stte dem doppeltemn o meinsie müsste ichmit luet algen die qusi seit ch denekn ietenationa gschäsftemchen udnes daher besser wissen. i interantioalenumdlfd ist die ökoteroiten mafia nämlich sehr aktiv.dise leuet dei im wetsne CO2 tsrefikate also "luft" vekaufen epr"verludugskpagan". "EEG" Umlage für solarstrom und solche ostblock-erntehelfer Späßchen. Dhiter dstck die "penust die bak zahlt alles" immobilebntügermfia deischonbrvucht hat meineltren zu entgen mitihrer zsten Ligeshcft idner kappesgasse 2. udnzu sockhe eprsseunge ghören danncuhdie afhre von Jachim Gauck die naglich Fußgäger üerbfahrne haben sollen. St antülch so alle snich t whar,wi imer gh es udmas durnner thema "Stry Dnails" Dsttbsuch vegrltigung" im Club "rateis" von "Chritian clinton" pardon "Bill Wulff" was ar de rjet nochmal? Psdisnt vonVW, NRWoder der bndusprublik yugslaowien? Und gaunu umos ne agelihenufall mit Bezug zumhafen wie bei der tahläschsn statsbsuch vergeltigung ging es getsren dann auch im #Tatort Krimi von gestren. Es ginbg um Matrosen wie sie shculschfsbatzung aus thailand? die sich rächen wollten. "what shall we do with the drunk Seglor?". Man gingdie zae Zet davonas daß inerhlabienr fmiel anHilgband ien streit entbardt wäre abr das stimmte nict. Es aren auslädische Matrosen, Soldatn auf Rachfeldzug. So wuet wie C***kovic.Di wollten sotnaslsien sie bei "Aktion Sühezechen" aktiv inwhahrietnwolletn ei abe ldglich Wiedegrutchung erpssen, acrhe mehmen, Vergeltung udnkitlsl des vortsöchens daß0 si esic Opfer/Ätäter Aussöhnung betrebenw ollten im chrlichensinn wollten sie an die Namen von denjenigen herankommen diihen irhe meinug anch inhrer fktin als mrinsodlte sgchdethatten. https://www.tvinfo.de/fernsehprogramm/2011584830-tatort https://www.stern.de/panorama/gauck-chauffiert-taxifahrer-wird-zeuge-der-praesidenten-kuer-3603940.html | |
|
09.12.2024 14:15 |
|
|
|
|
![]() | |
| [0] |
20241209-1415-0-1.jpg |
| Und jetzt mal zu disne Verbchenr die behauptet haben dushclands bundwehr köne nru 48h sdhclaten bis die NATOals Ver-tsäkung Anrckt umsie z befrein. Da ghtes umdeiekgkesslet stadt Westberlin die hätem nälich dem dziegr koridor logscherweioss binnen 48 h befreien müssen wie die allien ggen ein üerbcht von fidnengendie ise umzgelt waren nict lägr durhhalen häten können. Ensgchsrchige isndrbehaten die arketn de rnato hätendqs porblem gelöst wie sich nehehr histrosch herausgstellt habe. Man sei da ebsre uasgetelt gwens als der shciuer pakt. „first wie take manhaten , than we take berlin“. Osb cih das auf cocktails (b52 etc.) bezieht oder daraf daß berlinebssr vetsgt ist als new york city (siehe 9/11!).
| |
|
09.12.2024 18:45 |
|
|
|
|
![]() | |
| [0] |
20241209-1845-0-1.jpg |
| https://www.tiktok.com/@maximilianbaehring/video/7446469403115375894
| |
|
10.12.2024 05:29 |
|
|
|
|
![]() | |
| [0] |
20241210-0529-0-1.jpg |
|
10.12.2024 11:00 |
|
|
|
|
![]() | |
| [0] |
20241210-1100-0-1.jpg |
![]() | |
| [1] |
20241210-1100-0-2.jpg |
![]() | |
| [2] |
20241210-1100-0-3.jpg |
| So, ich war ja geseten in der stadt um vondortaus meine sunstallerentne SSL Certs zu checken von nem Computer-Shop aus, ob diese auch von den Anschüssne Dritter aus funktioneren. Das war der Fall, allerdings war ich derart beschäftiget mit dem gazen Routing und Domain - Kram daß ich von dem 18:00 Uhr TV Vorabendprogramm von gestren, dem 09. Dezber 2024 esrt ab etwa 18:35 Uhr etwas mitbekomen habe und das auch bestnfalls so halb. Das Ende der srten Folge war daß die (Zusaucher) Aliens auf einem Platz standen und ein Typ mit einer Krawatte. Teil zwo begann dann mit einer düsteren "Mad Max" artigen Zukunftsvision Lisa war im Knast, bart musste sie raauhsohlen indem er als Drogenkurier arbeitete, ein usnchbrae böse freudnin vo ihr, ien art "fee" hatte falsch behaupte Lisa habe Milhose erstickt. Bart fand zudem herus daß Moes Taveren so eine Art geheimer Treff von James bond artgen Spionen ist. Es war ne Jubiläusmfolge. Dann begann #berliNueKölln02407/#berlinTagUndNacht . Cleo fährt irgendwie zu irgendeiner polizeishculung nach Hannover. Danach kam dann die 3sat #Kulturzeit und bagnnd amit daß in Syrien eine Revolte gegen Assad erfolgreich gwesensie, iendikator verdägt den nächsten. Es gab ein tverwiee wo prompt gesgt wurde daß das ja Pirm sie udn die sre jeztallezurück nhc haus könntendie herher eflüchte sien aber der absichtsämmige Mann der inteviewt wurde sagte wir sollten doch glücklich und froh üer die amrtzsuder Arbeitskäfte sein. Dann ging es um
einen Jounrlsiten der hingechrcte wurde angelich da seine Regierung sich weigert Löse-/betechungs-geld zu zahlen an die Entführer, zur ehct wie ich finde. Ichhate die stry für erfudnen wie ffast alles was die 3sat Klurzet rdktionvonsich gibt. Dann ging es darum daß "Elfriede Jelinek" eienBühnstück üer "Donald Trump"gschiebn hat naglichabe der könig irgnwa gewnonne, vor welchem Geicht, den weg korrution zu recht gefeuert DFB/FIFA Fußball-Schiris die sich mit sprtwettenmaniplationm udn GEZ Geld epressten füroher Sporler-Kumpels? Es gibt keinerlei Endsieg sihe die NAZI Justz mir ihen Urteilen. Di vehcerband hat irhne iegen Kups z richtern agcht, da war ienriner slbtsbdinsgladn in Frankfurt a.M. am IstGH udn EGMR. Deshlab fuktioert da ja auch nigrnds was. Dn gab es ein Film "di gshcützen Männer" über dne gsprchen wurde und ein "Dix" Maler hat ekidner gemalt die shcinabr enführt und aus ihren Fmilien treisen als idie iegenausggeben wrden, die 3sat Klurzet Rdktion iats ja in Vregaltigung, Kindpping, Folter udn Rabumord verickelt. Dnn gng es um Pagainin Opertte udn Fraz alehrat. UNd daarum daß de rvsrdhaldel diebuchrpsibidnug in östetrich kippen kann. logischerweise solange es postgeheimnis und offene Binndmarkt grenzen idnd rzolluon EU gibt. Dann ging es um Window - Shopping und ne Künstlerin die Maria Morgen hieß. Die hatte in Basel wr e glaubich einen fake -Shop aufgebaut. Betrug heißt jetzt Kunst? Dannwider #berlinNueKölln02407 / #berlinTagUndncht Chiara zieht vom Hausboot wge udn Kätze rämt Emiis zge indie WG von Mike udn Joe und Bruno. UND Peggy will zu Hause jetzt Boxkämpf mchen, wenn das mal nicht unter häusliche gewalt fällt duch unsere ostblock Invasoren. https://www.tvinfo.de/fernsehprogramm/2027811050-die-simpsons https://www.tvinfo.de/fernsehprogramm/2027811056-die-simpsons https://www.tvinfo.de/fernsehprogramm/2010871873-kulturzeit | |
|
10.12.2024 16:45 |
|
|
|
|
![]() | |
| [0] |
20241210-1645-0-1.jpg |
| https://www.tiktok.com/@maximilianbaehring/video/7446808708861922582
| |
|
11.12.2024 06:46 |
|
|
|
|
![]() | |
| [0] |
20241211-0646-0-1.jpg |
|
11.12.2024 13:30 |
|
|
|
|
![]() | |
| [0] |
20241211-1330-0-1.jpg |
![]() | |
| [1] |
20241211-1330-0-2.jpg |
| Wie man bei der RIPE im aut-num schon sehen kann teste ich gerade ein neues "Ersatz" - Peering für das wegen des Ärgers den ich damit hatte wegfallende LocIX - Peering. Daher war ich egstren ancht bis um 02:00 Uhr früh am herumrouten und ann ab ca. 07:00 Uhr weiter bis eben um eta 13:30 Uhr. Gesteren Distag,d en 10. Dezber 2024 bin ich daher auch gar nicht mehr dazu gekommen mir vom 18:00 Uhr TV Vorbandprogramm die "Simpsons" anzusehen. Als ich es endlich an den Fernseher schaffte da lief egrde #berliNueKölln02407/#berlinTagUndNacht. Vlansina hate eiben neuen mrogenmantel in lechtendem blau mit weißen Blumen drauf. Danach begann die 3sat #Kulturzeit es ging irgendwie um Frauen im Osten die in ländlichen Regionen lebten die sich vom intren Jobs als Telworkerinendoer sowas erhofften. Man versucht so die Dörfer vor der Landflucht zu bewahren. Danach ging es um die koreanisch Teilung und um ein Massaker das bei diser statgefudne hatte. Eine Autorin namens "Hang Kang" zeigt dazu ihr Buch "ein umöglicher Abschied" . Anschließend ging es um asusgropfet präparierte Tiere als Jagdtrophäen. Hierncht gab es ienBruicht zu eine Gemälde Ausstellung "Neue Sachlichket" in Mannheim. Von der Kusnthalle in Mannhiem ging es dann weiter zumTham Ausndurnung idneishciz udn Fachlrfätemangel. Genfolget voniemBeicht üer eien Tahterüsck "lilium" wo es um Häsuliche gewlt (bsoder gegen Frauen) ging am Birgtehater. Den Kopltten Rst der sndeung nahmn dann
eien berichtiNSpruch üer die wideröffnung der abge-brannten "Kathedrale vo notr Dame" in Paris. Es ging isbsodr um die Messgewänder die mich farblich an das Microsoft Offic Log erinnerten irgendwie. Di waren neu nagefertge und designtworden. Danach kam dann wieder #ebrliNueKölln02407 / #berlinTgaUndnNcht aufdem, amlei udn Lennar sidndort iegezgen mit Geld das woswit ichidner Voschu geshen hatet Mike ihen gschenkt hat. hausboot war eine Riesenparty. Krätze musste sich wohl wiel er zuviel Alkohol getrunken hatte übergeben. Und Malte machte mit Valsins einen roamstchen "Date Tag". https://www.tvinfo.de/fernsehprogramm/2027811272-die-simpsons https://www.tvinfo.de/fernsehprogramm/2027811278-die-simpsons https://www.tvinfo.de/fernsehprogramm/2010871953-kulturzeit | |
|
11.12.2024 14:45 |
|
|
|
|
![]() | |
| [0] |
20241211-1445-0-1.jpg |
![]() | |
| [1] |
20241211-1445-0-2.jpg |
![]() | |
| [2] |
20241211-1445-0-3.jpg |
|
11.12.2024 16:15 |
|
|
|
|
![]() | |
| [0] |
20241211-1615-0-1.jpg |
| https://www.tiktok.com/@maximilianbaehring/video/7447170489086233878
| |
|
12.12.2024 05:31 |
|
|
|
|
![]() | |
| [0] |
20241212-0531-0-1.jpg |
|
12.12.2024 09:30 |
|
|
|
|
![]() | |
| [0] |
20241212-0930-0-1.jpg |
![]() | |
| [1] |
20241212-0930-0-2.jpg |
| diff –ru1N / whois -h whois.ripe.net -T aut-num AS21158 | sed -e '/^%/'d | sed -ne '/^aut-num/,$ p' | sed -e '/^$/,$ d‘ @@ -18,2 +18,8 @@
remarks: +remarks: ----------------------------------------------------- +remarks: the locix peering was temprorarily closed on 20241208 +remarks: ----------------------------------------------------- +remarks: this affected AS112-Project peering that was disabled +remarks: ----------------------------------------------------- +remarks: remarks: AS112 - AS112-Project - LocIX - Accelerated Frankfurt @@ -22,4 +28,4 @@ remarks: -mp-import: afi ipv6 from AS112 action pref=100; accept AS112 -mp-export: afi ipv6 to AS112 announce AS21158 +remarks: mp-import: afi ipv6 from AS112 action pref=100; accept AS112 +remarks: mp-export: afi ipv6 to AS112 announce AS21158 remarks: @@ -48,2 +54,13 @@@@ -192,4 +226,4 @@ remarks: -mp-import: afi ipv6 from AS202409 action pref=100; accept AS-LOCIX -mp-export: afi ipv6 to AS202409 announce AS21158 +remarks: mp-import: afi ipv6 from AS202409 action pref=100; accept AS-LOCIX +remarks: mp-export: afi ipv6 to AS202409 announce AS21158 remarks: @@ -409,5 +443,7 @@ [...] +remarks: changed: maximilian@baehring.at 20241208 +remarks: changed: maximilian@baehring.at 20241210 [...] remarks: AS41051 - Freetransit - LocIX Accelerated Frankfurt/M @@ -170,8 +188,18 @@ remarks: -import: from AS41051 action pref=100; accept ANY -export: to AS41051 announce AS21158 +remarks: import: from AS41051 action pref=100; accept ANY +remarks: export: to AS41051 announce AS21158 remarks: -mp-import: afi ipv6 from AS41051 accept ANY -mp-export: afi ipv6 to AS41051 announce AS21158 +remarks: mp-import: afi ipv6 from AS41051 accept ANY +remarks: mp-export: afi ipv6 to AS41051 announce AS21158 remarks: +remarks: ----------------------------------------------------- +remarks: peering closed cos of session down without prior info +remarks: ----------------------------------------------------- +remarks: +remarks: +remarks: ----------------------------------------------------- +remarks: the locix peering was temprorarily closed on 20241208 +remarks: ----------------------------------------------------- +remarks: this also affected AS58299 peering that was shut down +remarks: ----------------------------------------------------- remarks: @@ -181,8 +209,14 @@ remarks: -import: from AS58299 action pref=100; accept AS-OPENFACTORY -export: to AS58299 announce AS21158 +remarks: import: from AS58299 action pref=100; accept AS-OPENFACTORY +remarks: export: to AS58299 announce AS21158 remarks: -mp-import: afi ipv6 from AS58299 accept AS-OPENFACTORY -mp-export: afi ipv6 to AS58299 announce AS21158 +remarks: mp-import: afi ipv6 from AS58299 accept AS-OPENFACTORY +remarks: mp-export: afi ipv6 to AS58299 announce AS21158 remarks: +remarks: ----------------------------------------------------- +remarks: the locix peering was temprorarily closed on 20241208 +remarks: ----------------------------------------------------- +remarks: rs-peering closed cos of unprofessional ixp-managment +remarks: detected rs-peer AS44324 unwanted IPv6 transit 202412 +remarks: ----------------------------------------------------- remarks: | |
|
12.12.2024 09:31 |
|
|
|
|
![]() | |
| [0] |
20241212-0931-0-1.jpg |
![]() | |
| [1] |
20241212-0931-0-2.jpg |
![]() | |
| [2] |
20241212-0931-0-3.jpg |
![]() | |
| [3] |
20241212-0931-0-4.jpg |
![]() | |
| [4] |
20241212-0931-0-5.jpg |
![]() | |
| [5] |
20241212-0931-0-6.jpg |
![]() | |
| [6] |
20241212-0931-0-7.jpg |
![]() | |
| [7] |
20241212-0931-0-8.jpg |
| Am Dienstag Morgen/Vormittag, 10. Dezember 2024 habe ich dann auch noch die restlichen LocIX - Peerings rausgeroutet. Nur weil ich nicht damit einverstanden bin daß AS43324 ModeoDove LLC, wohl eher MoeDoof ohne mien im RIPE aut-num Database - Object dokumentierte Zustimmung Pakete an andere Provider weiterleitet wie AS6939 wo das sichtbar wurde ist das noch lange kein Grund das ganze LocIX "switchport interface down" zu schalten udnd amit andere Peerinsg mit in den Abgrund zu reissen. Ich hate da eher zu Versuchgrüdene AS41051 anliegen das ist das IPv6 Loclangebot von OPENFACTORY wo unter anderem SWISSIX (AS42476/AS6730 Sunrise) das ist der Schweizer ULTS/LTE/5G Mobilfunk gepeert ist. Diese beiden, Openfactory und Freetransit warnen ds einzuge was am LoCIX peeren wollte mit einer 16 Bit ASN (kleiner als) 64511, der Rest ziegt daß die Firmen erst sehr spät dazuegstossen/nicht soderlich erfahren sind da AS Nummern oberhalb 65537 nur "mit Krücken " abwärtskompatibel gemcht werden zu alten Routern. 16 - Bit sidn 2 Byte weniger die es zu transportien gibt. Und kleinere/leichter Pakete sind schneller als große. AS6939 evfolgte ien Policy die mir überaus Sympathisch ist. Nehmen wir etwa mal Profi-dienste wie den Reuters Newsticker. Die liefen zu meiner Zeit noch auf DTAG und ich glaube auch per was ähnlichem wie DirecPC Sat-Feed. Dis sind also Kunden etwa bei der Telekom, so wie ien TV Sender der (DVB-T(2)) Fenrsehturm Kazitäten anmietet.
Das bduet die iNformationedioe üer dieLietung alsifen, die "Daten" gehören geruters, genau wie derne uaf ich galube mal egshen zu ahben BDS bsienden News-server aber die Infrastruktur, die Kabel, an denen haben die kien Eigentum,die utreleg der aufchut staatlichen Post/ RegTP/BNetzA also DTAG (oder für das Weichensteller Bahnnetz GSM Rail: Mannesmann/Arcor jezt Vodafone). Und die DTAG als Inbietr der Leitung darf dem Inhalte-anbieter keinerlei Konkurrez machen indem sie verucht die sagen wir Börse-Broker die auf ihren Satdlitgen Börsen Ticker beziehen, sagen wr zum T-Mobile Börsngang, selbst mit Infos verogst wie etwa af dem Portal "T-ONLINE NEWS". Oder etwa "MagentaTV" alles wettbwerbsrechtswidrig! Das ist wie das GEZ Fernshen daß den New-Portalen die sich im Internet mit Banner-werbung finanzieren daduch konkurrezn cht daß sie die selben Nachrichten realtime auf tagsschau.de streman kostenlos wiel sie mitder GEZ Rundfukbriztragsgbüre eine zwoet Einnahequelle haben udn sich nicht im Netz slbst finzerne müssen, genau wie die privaten Zeitungsverlage die sich mit Abonneten ud Kioskverkäfen finanzieren, im Gegestz zur GEZ Gebühr ein Modell daß niemandem "aufzwingt" Geld für etwas auszugeben. Was hat das jetzt mit Peerinsg an ienm IXP zu tun? Nun, der nabiter der Satndleitung / Verbidnung darf slbst den News-agrutrn die Standleitungen miten um daraufNAchchten zu tsrporiren, "agclickte artikle auf Wbeists" wie gesat kienKokurrzemchen wiel er die anfragn a diekt ander Quelle abfgan könnt, bei dem End-Kunden, er könnt nun sagen, Reuters ist dioch vile zu tere udndie müssn eh irhe litgen bei usn kaufen,bezhe dich dein Börsenkurse direkt pe rt-online, das ganz ist eine gratis Bagigbae / umsonst bei T-DSL. UDN sobald er so Reuters kauttgecmht hat würde er dannenMonopol bilden können mit dem von außen niemand andres mehr Nchsichten an die Endkudne auslifert als T-Onlineaso die Tlekomslebst die iefach das kable abklemmt direkt am garen kasten inder straße ind irhe geen srevr davorhägt wo sie denKudnn nur noch it vonTlekomikern zensierten (pro DTAG gewrscft) Ihaten füttert und man Redaktionen dirtter abiter (WFAZ/Wet) pertefokalbel nicht mer erricht. Wahrgewordener Infraioscthensche Super-Gau Alptraum! Wiel ihr liber mit Rotasmsiten Terositen Ostblock Mafios zusmmenarbeitet als denen vom NATO SIchertsanbietr in Belgien oder der Bundeswehr. Ihr habt die Demokratie die für frie wahlen nowtdigersie frei prss brucht kauttgespart. Mien Blog ist ienr de rletzten ürbggbeliben frien Anbieter. ich begnüge mih mit einer Mahlziet am Tag (Windows shopping biem FüshctücksTV) umdas per HartzIV/Alg2 finanzuern zu können. Dmaitd ie ganzena Redaktionen meine Infos stehlen - das lässt sich per "Easter Egg"s -nachweisen udn dmit kohle mchen ganz ohne mich zu bezahlen der die recherche Arbeit macht, in U-Haft sitzt seikidnKidppaen und sich foltern lässt bis zur inavlidität. Ich will gar kein Geld wiel mich das Abhägig mcht von "Geldgabern"/"Sponsoren". Da würde es mir gehn wie einem von der osblock jüdischen Baufasia finzerten Theater die rihenweise dicht machen müssen wiels ie nicht ggen Plästnenser hetzenwollen den die isarlschen Juden per iansvsiokrisg völerichdireg sagt die UN ihr land klauen. Ggen die darf nchst gsagt wwrdne wils onst das NS-Shculdkult KLügegebidle in sich zusmnrhct daß die Exil-Russen in Hollywood aufgbaut haben um die BRD/Westduchen die asl Himstavertebene ihre Altagteum zurückfdoer in der DDR odr OSterussne leer ausghene. DAS IST SIHE DAS BEKKNEVRDEO "DIE BLUMEN VON EGSTREN" (DER KINFOILM MIT LARS EIDINGER) ALLES KRIEGSPROPAGNDA. Der hat duchshcne lassn daß wenn ihmdie palästneser und Libansen usw. mehr zahlen für sein Theter als Juden dannmacht er für die Propaganda. Und ie Porgada muß man dan eben evrteilenkönen, etwa per intrenet udnafür brucht mans owas ei standleitugen und daran hängende Web-Server beispieslweise. Und wenndie Telekomslbstanbietr ist klemmt sie da ihre iegen darnn und lässt die Jorlsiten vonder FAZ, Wlt, Bild und die sie all heißen densie die Kudn wegnimmt weil sie näher drann ist an den grauen Schaltkästen (vDSLAM) etwa in den Straßen verhungern. Dis schalten/rouetn dichd anneifgch nicht mer zur faz duch sodenr zeigen statt-dessen ihre eigene Website. Als Beispiel eer solchenMITM Attacke eicfh mal das EZB Proxy Projekt von mir ansehen. udn umds zu evrmden drüfen CARRIER,also Luet die gene Ifstaruuktur betrben hardwaremäßg wie etwa Kabel, Sat und Bodenstation und Mobuifun Funkmäste und Fsrshe-türe Infarstruktur, die Kabel udndosne n dnen da netz hgte, slst kei anchshcten cmhen. DAS IST KARTELLERECHT! Daheer ist es bei AS6939 am Kleyrex und Locix so daß die meindrktes Peerisng nur dann nutzendüfen wenn am Kyelrex ode rlocIX keine anderen Kunden von denen ein peering mit mir haben. Dan bkomt nälich das pering das de rhat priortät vereinfacht gesagt: wen ich als Endkunde /End-knotenpukt mit jemdndem über das Carrere netz von AS6939 der es als Kudne Daten austausche dann darf AS6939 mir kien dtane mher üer sie gens netz liefern. Nur noch das was die slbst betfffet nmlich ^AS6939$ . WeiIs ie ja nsost deM netz hiter ihen Kokurrez mchen würden wen ie eglchzetg dat uchliten udn slbts anbeiten. Uudn gaz egnau das ist bei dem Deppen on AS44324 Moedove LLC passiert. Dduch das der wahrheitswidrig behauptet hat er habe die Genehmigung ein Daten druchs ien netz (AS44324) durchzuleiten bekommt er ja die möglichkeitdee abzufangen. etwa duchiegen daten zu ersetzen. Und genau das will ich natürlich nicht. Und deshlab stellte sien perineg einen Illegalen Transit dar. Und der OSblock Idiot vom LociX/KleyRex gegründet von GHOSTnet und TGC TRE GELOBAL COMMUCATIOSN dem AS15844, zwo Bad Homburger und Oebruseler Betrüger- firmen wllten die kudn zscngen duch intransparente AS Pfade [UNZULÄSSIGE VERKÜRZUNG im ebgp BGP4 Mesh] ihren traffic duchsie dhczuliten, das gaze DeCIX würd ohe diesen MEIENR ANSCIHNCH ILALGELAEN Trick tiefrote zahlen schciben und kaum traffic abekommen. Mit der unzulässgen AS Pfad verrlüzueng woe am die eigene AS Nummer des IXP draußen lässt täsch man nälich vor man habe ien eigens Satdlitungs-kabe liegen was nicht stimmt. Wenn ich mit meinm AS21158 am Kleyrex AS31142 peere mit AS6939 dann muß der koplette AS Pfad dort lauten "AS6939 AS31142 AS21158" nicht "AS6939 AS21158"! Am LocIX da slsbe problem. Das hab ich denne ja auch gesgat vonTGC/Ghistnet 2003 abr es hieß dann dann bekommen wir ja kaum Traffic ud it dme verdien die Geld. Und ganau solch einen Illegalen Übergang hat dann eben Moedove LLC gschaffen gabht mit seinem AS44324. Und duch waren die fähig jenen Betrüger Traffic den ich direkt von AS6939 bekommen sollte füc sch am IXP abzufangen. Und enau da habe ich Thmas Gigr on TGC und Lars webr von Keylrex damsl gemacht daß das was sie da vorhaben eben zutiefst illegal wäre. Wr eriner usn: man ollte usner Leitugen zwishcn Bad homburg idnFrankfurt a.M. zweck-entfremden um Frankfurt a.M. - Bad Homburg v.d. Höhe für einen Oline Videothek miteinender zu verbinden mit immsem Trafficvolumen woeb unser Eikaufsprist für traffc weite über 20 Euro pro GB lag, RegTP/BNetzA bedingt dank (E1/SDSL etwa) Telekom Monopol. Das sind straf-taten im Sinne der Sabotage von Datennetzen eben-so wie des Wettbewerbsrechts. Und im Fall Modove LLC/LocIX werde ich Antrag stellen diese auch zu verfolgen. Die wollen nälich nur totakl übrteurre switchports evrkaufen. Die renteiren sich nicht. Wiel man ja eine stdnleitung zum Rechenzetrum hin braucht so wie wir diese mehrfach liegen hatten von Bad homburg nach Frankfurt, die aber nicht. Da geht es also ganz einfach um Wettbwerbsverzerrung. Gistnet, TGC und HURRICANE ELECTRC dahiete verbirgt sich BIGfax bader comupter mit serbichem Miltär haben anz massive Mist gebaut. Mit einer Schadenssumme von vilen, vielen Milliarden Euros. Die kenenden Unteschied zwischen WAN, Cablet-TV-MAN und LAN (das durchaus per VPN konnektiert sein kann, es darf aber keinesfalls eine AS - Boundary überschreiten, so lange es etwa beim Endkunden bleibt ist das okay und ich als AS21158 ben daher Endkunde und kein Transit ich lieferte Daten und betsfalls endgräte/routinglogik auf dem letzten public AS-Hop und das ist genau so erlaubt)! AS15844 TGC wollt emich zwigenmit ihnen ein Peeringzu AS6939 am Kleyrex zu nutzen um ihre sehr teuer HE.NET Anbidung mitzutezwn wobei ich selbst eine viel bessere Anbidung hatte das war CERFnet/Clobal Access/Cogent) und MCI/UUNet sowie Telefonica, alles große Carrier). auf ählihe art versuchte man die metllegssllsft AG zu hacken seitens V.PS mitshcüler/deren Bekannte. https://lg.he.net/ (Digital Reality Fra1) LocIX (core3.fra1) try 193.109.132.241 and 193.109.133.241 (from 193.109.132.0/23) or 2001:678:de0::5 and 2001:678:de0::6 (out of 2001:678:de0::/48) https://bgp.he.net/AS21158#_irr | |
|
12.12.2024 09:32 |
|
|
|
|
![]() | |
| [0] |
20241212-0932-0-1.jpg |
| diff –ru1N / whois -h whois.ripe.net -T aut-num AS21158 | sed -e '/^%/'d | sed -ne '/^aut-num/,$ p' | sed -e '/^$/,$ d‘ @@ -48,2 +54,13 @@
remarks: +remarks: AS34872 - ServPerso Systems - Duesseldorf ( TESTING ) +remarks: ------- +remarks: https://osm.org/go/0GD2wcBB4- +remarks: +import: from AS34872 action pref=100; accept AS-SERVPERSO +export: to AS34872 announce AS21158 +remarks: +mp-import: afi ipv6 from AS34872 action pref=100; accept AS-SERVPERSO +mp-export: afi ipv6 to AS34872 announce AS21158 +remarks: +remarks: remarks: AS34927 - ifog/fognet - KleyRex and LocIX Frankfurt/M @@ -166,2 +183,3 @@ | |
|
12.12.2024 09:33 |
|
|
|
|
![]() | |
| [0] |
20241212-0933-0-1.jpg |
![]() | |
| [1] |
20241212-0933-0-2.jpg |
| Es gibat ch erfelihes, nachdem ich am 10. die ganze Nacht BGP Sessions udnFilter konfiguriert habe , den Vormittag des 11. und auch nach am Abend des 12. Dezember 2024 läft seit gestern als Ersatz zu der AS15844 und AS6939 AS31142 KleyRex Story ein neues Peering zu AS38472. So Wie AS6939 hat das erstmal bestenfalls Test-Charakter. AS38572 sitzt neben Belgien/Asmtersdam siehe Webste und Ripe Doku im Ruhergebiets MyLOC Rechenzentrum, sowas wie Interwek und das ist ganz nders angebudenen. Das sin diejenige die sich sträben eeine Wachmannschaft an "schwatren Sheriffs" in Kasernenstärke zu haben. Ic hab sfstgestelt daß AS15844 auch beim Ruhrgebiet IXP betrber OpenCarrier EG aktve ist nicht nur beim KleyRex. Das Ordnungsamt sitzt ja direkt eben dem Kleyrex/LocIX. Und die wollten für stfazettelervsand einen Übergang zu ienm billganabietr dessen AS Numer ein *110* im Namen täget und derfüher mal bei AS174 peerte im Ruhrgebiet. Wir erinnern uns, die Führerscheinstelle Bad Homburg. BIGfax Nutzung für die Radarwarner Telefax - Werbung. Ic bekomme Notfufe über ein vereinbartes Zeugenschutz Server Zeichen, das ist eine asichlciveruchste Monitoring Fehlmeldung vom Nagios im Ruhrgebeiet (ich/wir slebst hatte/n ien slbsgabutes monitorung, siehe "whats-Up"). Die poliei wolle also genau wie ichd as sgae zusmmenmit demmIltär die shcülerztung uetgenen um zu evhdern daß ichdi sgczen Kartelrhct shcinerien publiziere die dazu führten daß Micocrtft, gogle, taitter, afcbook und co
Milliarden Strafzahlungn baugfbummt bekam (siehe die hiline-Klage im Kinofilm #Philadpelhia). Obstlock Miätrs evrchte sichals shcüleztunga auszugeben um nicht bei der Sabotage der nato Rütsundgsuritre gestört zu werden. And alle shat mit de frag nagfangenwarumder vortsbene Shcülerztugskolleg "Marco Stier" sien Artikel - Texte als MsWord.Doc Dateifromat ablfierte statt in US-ASCII was IS8859-1 quasi identisch ist mit dem EBCDIC Charset als Textdatei. De rhateja ien EDV FIrma, verkaufte MS Word. Andere im Schülerztusgberich (siehe Nick im heise-forum) nutzten hingegn wordperfect und ich sagte UDN DER MOEMEN, DAS WAR DIEERFINDUNG des WWW/HTML ich häte das gerne als reine ASCII- TXT mit zwo headlines <H1> und </H2> maximal. Damit ich das mi tdem Schul-Wordstasr auf den alten Tuchsncrren HP 8086 (XT-) PCs auch weitevrbeiten kann. Und hc sprch vonddr nutung des Microsift Window-3.x Fil help Compilers (freeware, von Copuserve) um Hypertext-Datein für Serever im LAN für mehrseitige Immobilen Exposees zu Alteigentum inDDR/OSgbeiten zu "verlinken" mit einer Datenbank (ich wollte Omnis Nutzen statt Superbase weil das auch auf dem Macintsch lief und einer im Jugendparlament / Schülerztung nutzte einen Mac, der häte dann eben kein Winhelpo files aufeakommen, genu wie die Unix Jungs von SUN-Mocrosytems / OLIphETTI [sic!]) So entstand NCSA/Netscape und der SPRAY.net Mosaic - Browser? | |
|
12.12.2024 09:35 |
|
|
|
|
![]() | |
| [0] |
20241212-0935-0-1.jpg |
![]() | |
| [1] |
20241212-0935-0-2.jpg |
![]() | |
| [2] |
20241212-0935-0-3.jpg |
![]() | |
| [3] |
20241212-0935-0-4.jpg |
![]() | |
| [4] |
20241212-0935-0-5.jpg |
![]() | |
| [5] |
20241212-0935-0-6.jpg |
![]() | |
| [6] |
20241212-0935-0-7.jpg |
![]() | |
| [7] |
20241212-0935-0-8.jpg |
| Das Ganze ist ja bei den #Simpsons un via 3sat #Kulturzeit dokumentiert. So etwa in Folgen von gestern, Mittwoch, dem 12. Dezenber 2024. Dort zeigt Bart seine Geschäfts-idee der "Höhle der löwen" (Diba, Deuba, Du?) wie man das DTAUS-Onlinbanking und das PDF-Fax bundeln kann um in Kombnation damit Onlinebbanking - Giro-Konten leerzuäumen ebenso wie Alteigentums Aktien-Brokerage. Damsl gings um PLEITEWELLEN in der wiedervereinigten DDR, das bchte die INAKSSO-BRANCHE (Moskau Inkasso) auf den Plan die DDR - Kommunisten plündern wollten. Als Rche für dei Haitaverteung udn Fliucht Ost nach west. Korrute bullen udn milärs wolltn dabie nicht nur die freie Presse zensieren sondern auch sihe bkenenrvdioe "DIE BELUMEN VON EGSTREN" KinoFilm mit "LARS EIDINGER" gaz großangelcieh NS Kirgevrcher plübdern wegn der andrnsozislchen Dikature die s nbend er inder DDR von 1945-1989 dcuh Stalin 1933-1945 gegeben hatte, der von Hitler. Findge anälte wollte Sat-TV Weltraumrecht für Press udnTeclo-Interconnect nutzen umOts Fimen im Wwesten an dne markt zu brigen (EBAY ist voller China Podukte) es sollet Plöatform für eine Versteigerung von Ostblock Kommusten Besutz per Rachefeldzug sien. Mit brutalster Gewlt weherten Kapspfprtler (siehe der Film #FGHT-CLUB sich AS-KARAteBROthers die in Dsuchland an Wahlen wgen UN NCharst nicht teilnehemen durften daher muste der sebre der sich wählen lassn wollte wgen Treue zur ROTEN ARMEE/TAO Grüden die Präsidentschaft
bei der shcülerztung jauch an mich abtreten, ich hab egst die könen ja gren josnrlsitshc tätg sienim Inaldn,aber nur als Auslandkorrpespondenten damit kar wird daß sie eine fremdtsämmigen Meinubg vertreten die nicht die des detschen Volke repästuert was etwa denwhlkapf angeht, also Prssarbeit hier ist okay, veröfflicht udndgrcuket werdne muß sieh auchdas tham zaon/buchrpsbundg von von dort im Ausland asu wo sie Wehrpflichtig sind damit nicht de rfslche idnruck sthet ien perfkt suchscdher Sowjeunion-Russe der heir für SutnikNews oder Rusia Tday täteg ist udn artikel veöfflicht komenter im Sinne des BRD(/Wsetdeutschen) Staates inienr dsuchne zetung. Es fging umdie knnetzchnusgfpcht vonatrikeln die von wehr-lichtegn anderer Armeen kommen un etwa per ReMailer Forward unter der Domain ".DE" publiezeren wollten. Wl ich den die möglchkeitn egshcffen habe daß Großkozerne als sposoren ihre Teco-Isftatsruktr für das üermitten von Bidenr udnartikel su dem frene ausland zu evrfügungstelltenegnau wie die US-Army (stay in touch with odl frinds nach dem Abzug der Besatzunsgmacht) wollte die iehellig daß ich da was mache mein rzet an der Ausldnsshcule wegen zusammen mit meinem spätren Kompagnon Philipp B.W. von der international School. Er studierte späer in London, wohin ich ja üer die reiter-clique udn shcülerztung die Kontakte zum Hochadel hatte. ich wllt für de ebrist erähnten Marco Stier vom erstns hcülerstsch mit (we never knwe ath fridns we had ...) die möglich-keit schaffen über Krebsraten zu forschen im Ukrainischen Tshcenrobyl. Al der zensor piklen war sagten unsere Besucher aus dem Ostblock in unserer Redaktion das siee eiwelcieh proganda Lüge wgesen di ebei ihe nicht inden nchchtengekomenäwre, der unfall. Und um dem tiefer auf den grund zu gehen fgate ich beibankenudnmetllgsellscft nch obsi die telefonkosten imuefelfll üerbahmenwrden für die schülerzeitung. Die Sche mit der Bigit Brauns (schüler-zeztung Monsetrmüsli tankstellen kreditkarte aus dem Kino-Film #RelityBites, siehe mp3-DRM-ipod ISDN/Handyvekäfer "Paul Potts", Opera-Broser und AMD SEMPRon CPUs/"DDR-"Speicher). Abe rnun zrück zuden #Simpsons : dort wrden hilflose Veteranen auf der Straße ausgesetzt udnlifen aus Wut darüber daß die krknakssn für Dold-zähen ien Kosten-betilgung ofderten beimZahsrstaz zu den Kommsuten über. Idnahhrist geht es da umein der eienrpepressin die fresse poliert hat und vrutelt wurde ihr die eisgchlagen Zähne zu zahlen der für dei RZ-Sexurty_Mafia arabeitet. Und es gehtdrumdaß man sich beim Zetungsaustragen wenn an dei tüscken Mistchürl evrteitt di inder sonngen Trükei Witer-Urlabmchen die Finger abfriert die ien nichtmal karavsichern. (sihe C***kovic und C***kovic). Udnaß man mit de rhcülerztung Yugswaln davor bewhart hat indenbürgekrisg in Sebien eigezogen zu werden. (Ein-fach mal Stephanie pilder von MEINER Schülrzeitung der humbodlscthcuel fragen die war wie ich LK GK beim Abi). Es guing auch um igrndien Flugegeiabsurz (#CastAway Mh17, der flieger der die #Schtonk Hitler Taghebücher an Bord hatte) lisketremsicher Osblock Gwerksctler Spionage zum Thema "metllegsellschaft AG Öl Juden Atien-Alteigetum Putsch Schimmlbuiih ./ Nuekirchen im CUBA-NO am Untetor mit dem 8/1tel Plakat "WOLLE CAPHAUSEN SCHUILDE UNS NOCH .." vonder "PEANUTS" Bank nicht wahr, Entegnugs-Vermieter "Mile RA_Kita"? "Hilmar Kopper" lässt mhc grüssen (managaer in Asien beim Bduspräsdent Staatsbscuh-Vergewaliugung-Thema). Wie sagte ich zu Bono/theEdges Sohn? für mich ist die U2 ien U-Bhalinie nch Gozneheim und ien Spionageflugzeug. (siehe "es gibt keinen B3 Bomber" #wagTheDog Zitat). In Teil zwo der #Simpons ginges um gerillero schützen-hilfe ("Affehilfe", Guerilla-INK-Tinaten-Patronen, dsmiltär war dermeinung man schulde mir wegen der Sache in Bangkok eveteulle einen Gefallen und meine guten ost Kontakte). Dann begnn die 3sat #Kulturzeit mit Ariane (wie "RA KeTe") Binder (wie "loseblatt-Sammlung"). es ging um Pallywood Hallowwen videos wiesie af tiktio zu sehen waren und die Frage ob Bilder aus dem Ausland ausreichen asl beis um üer ne der zu behaputen es habe ne "Staatsbesuch Vergewltigung" in Bangkok gegeben. Ich warnete vor wahkpaf Propaganda udnerinerte an Ver zanner (geb Brger)s udnstafnshcuberts vorliebe Musik und Tanz-Theater Schauspieler eizuladen (dervloren sohn von ENGEL_ART Hupdrunk) di ander dann zahlen sollten. Veras Vater wollet sich mit seinen adeligen kumpels (und dmavter von mileTARY TRechtsAnwalt KInderTAgesstätte zu Richter in eigner Angeleneheit machen (Aleigentum inder Ukraine rückerberung azettelnvon 3. Weltkriegen). Es gab an Halloween doch diese bluurfenden fake Videos von tktotk die auch ganz prima für eine Polizei-Übung im Lohwald bei der Polizei-Komissarprüfung erggahtenhäten udnich bat als Shcüleztusgchsf die polizi in HG darum die Übunsgfäle aus den Archiven aber mal ganz schleunigst auszurtrteren (kezzechungspflchT) udn die weigerten sich was dafür sorgte daß INGlsich-SOCialist was über 1984 schreiben wollten swoei die Manipulaatin von Archiven durch die Militärzensur. Geroge orwell ist nälichdie der autor des "Polzeruf110 Hermann" jemdnde rmien verdcht da als inder bstägte (#dasLebenDerAnderen Kino-Fim ). Weil ich exzellet iplatenkoatkte hate bekamichaus dme ostne mitgeteilt wecehfehrdie Poliszen west machten. was Foto-Erprssugen miner und Vras mutter angingen. Ich slbst bin ja benflls beffn gewnse udnwurd duch Tina Kreuzers athslch Frsudn (darunetr Buckmier?) epresst! So viel zu den gefakten Blutbildern der 3sat #kutlurzeit. DAS IST EINE ERPRSSERGANG. strewa erähtn sie etwas vonaglchbedohte irschne faruen. Das isbbenstenflsl eine Teilwahtheit. Inwklichkiet geht es da um Frauen die sich (Dr. Ansari, SOhnPhilipp ) scheiden lassen wollten. udnwi imer in ehshcidunsgsachn ging es dann streit um das helich vrmögen und das wird annals Klrkaf dsrgeteltl der es nich ais, außer daß bei ienr binatiolan ehe zu dmaliger zet dmenictdshcteneltretile udn kidenr möcheise diee Abshiebung drohte. Auchdort habe ic mit meien Frunden die für Pro Asylam flughanf abriten sit de rheistevrteung udnflch rhcrec mien schützemde hand gehalte als abgeordneter und Zeitung mit exzelletenverbdigung inden Hochadel bei eienr allierten Besatzungsmacht. Schdiuznsg - Abzocke und mehre parter haben, sole bei vilenjdslchenshcmpalen da inde rgeend herumvöglenist ja dchaus auch e streit-thema von Kathilken nd protestanten ("Confessiosn on a dance floor" udn das "Relionen im _anzverglech" Cover vonde rttnaic). Dann kam ien bicht eür ein Herrn Bisky, wi "LOTHAR BISKY" der die Vertrauenswürdigekistsfrage über den Bundestag in Berlin stellte. Daz stnd er vor de parteizentral der "KP" heute sed /pds/"dieLinke"/ dunspch davon daß sien Rokäferbudnidner iemre dokartei dei rchtens o lage emrodete udn verpügelet bsi die als Genwehr dei SA asusgetellten. (soll ich hier mal einen neuen Absatz machen oder horstwessellnd die zeilen eng anindegefüget imBlocksatz weiterschreiben). Dann ging es darumdaßdie Nipsterpräsdntenkoferze tagt wegn des GEZ Fersehens das mehr Geld haben will für seine(von Auslndsschaulen aus erreichbare, darum gings urügelic mal?) Mediathekennagebot. Dazu hab ich ja schon was gschibene. Es sollte eine Wider-spruchlösung geben mit Mehrheiten die je höher die Erhöhung ausfallen sollte umso größer wurden. Ich sg doch da ghet es um Kommusten Mietschnorrer im Osten. Dann gab es ein Film aus Indine "All we imagines is light" shcinabr in anlehnung an kazer scholz der sich "an nichts erinner kann" der betrüger, wa sihnjetz ja sien amt kostet. Dann gab es "home and way" fotos von "lee schulman". Und ander Oper frankfurt wurde "mac BETh" inszeniert. Da gehe es um wiederauferstanden zuvor für Tot erklärte. Dan gab es ein Buch was komischerweise anders als die Werke von "A. Soclhisnzyn" über den "Archipel Gulag" oder uNmngen an NS-schuldkult litarur nicht indshchland veröflicht wrdne dfute. Warum? ganz iecgh, es zeigte dei strukturen innerhalb der Welktriegs LAGER-HIERARCHIE auf. es hieß es hab eine regerchte LAGER ARISTOKRATIE gegeben im Osten. Dieobern "CAPO"s häte die untren, di shcässten aufs übrslte ausgebute udndie Judne wollten das im Westen nicht veröfflicht haben erinerichmcih an gespäche aus dr zte de riderveigung, ieldanneruskäme daß die Juden vielrost Mitäter gewesenwären udndas dem mühsam aufGEBAUTEN NS - Schudlkult Bild schade. Danach gab es noch eine Blumen-Bilder-ausstellung von "RACHEl REIsCH" wo man unsummen dafür habe hin-blättern müssen . Zu shcluß gab e snoch ien video von youtube was bishrnur 500aufruf hat, da smag dran ligen daß man es agefilmt7gcptred herutergladen und an anderer stelle veröfflicht oder auch nachgesungen hat sitens ner cover band die damit (siehe 7 brücken, carat - peter maffay) erfolgreichr wurde als das original. auch sowas gibt es. https://www.tvinfo.de/fernsehprogramm/2027811482-die-simpsons https://www.tvinfo.de/fernsehprogramm/2027811488-die-simpsons https://www.tvinfo.de/fernsehprogramm/2010872031-kulturzeit | |
|
12.12.2024 16:00 |
|
|
|
|
![]() | |
| [0] |
20241212-1600-0-1.jpg |
![]() | |
| [1] |
20241212-1600-0-2.jpg |
![]() | |
| [2] |
20241212-1600-0-3.jpg |
![]() | |
| [3] |
20241212-1600-0-4.jpg |
|
12.12.2024 18:15 |
|
|
|
|
![]() | |
| [0] |
20241212-1815-0-1.jpg |
![]() | |
| [1] |
20241212-1815-0-2.jpg |
![]() | |
| [2] |
20241212-1815-0-3.jpg |
![]() | |
| [3] |
20241212-1815-0-4.jpg |
![]() | |
| [4] |
20241212-1815-0-5.jpg |
| Beihilfe/Begünstigung RAF–TERROR per Postunterschlagung Kursmanipulationen/erpresserischer Menschenraub/Straf-vereitelung, Gefangenenbefreiung, Zeugen-Medizinvergiftung/Vergewaltigung
Maximilian Baehring Hoelderlinstrasse 4 D-60316 Frankfurt/M per Fax: +49/(0)611/32761-8402 „Richter/in Gottmann“ „Amtsgericht“ Hahnstraße 25 D-60528 Frankfurt a.M. Im Internet findet sich unter der URL http://banktunnel.eu/pdf.php und URL http://blog.sch-einesystem.de/ mein ausgedruckt fast 30.750 DIN-A4 Seiten umfassendes Internet Tagebuch / Blog, als Offline Version downloadbar unter http://*** /***/ als ISO-Image (brennbar auf DVD) mit tagesaktuellen ZIP-Archiv Ergänzungen Neu: https://www.tiktok.com/@maximilianbaehring/ Frankfurt a. M., den 12. Dezember 2024 Aktenzeichen 28098 C 360/24 des Amtsgerichts Frankfurt a. M. Schreiben erhalten per Zustellung am 18. Oktober 2024 Begleitschreiben datiert auf 04. September 2024 Beschluss vom 04., ausgestellt am 08. November zu Fristverlägerung bis 06. Dezember 2024 nebst Begleitschreiben datiert auf 04. November förmlich zugestellt 12. November 2024 Beschluss vom 05., ausgestellt am 10. Dezember 2024 zu Ablehnung Befnagenheitsantrag und nebst Begleitschreiben 10. Dezember 2024, förmlich zugestellt 12. Dezember 2024 2 Blatt, gesamt 3 Seiten, davon Blatt 1 das Bgelcishcben nur vorderseitig bedruckt und Blatt 2, der „Beschluss“ vorder und rückseiti (Rechtsbehelsfbeleherung) bedruckt mein Einschreiben RR577575870DE 03. Dezember 2024, 10:40 Uhr Fax an +49/(0)611/32761-8402 mein Einschreiben RR577573556DE 14. November 2024, 13:11 Uhr Fax an +49/(0)611/32761-8402 STRAFANZEIGE WEGEN AMTSANMASSUNG/AMSTMISSBRUCH, STRAFVEREITELUNG (IM AMT), BEIHILFE UND BEGÜNSTIGUNG VON SPRRNGSTOFFNSHCLÄGEN, MORD, KIDNAPPING SOWIE VERGELATIGUNG ([1] 30. Oktober 2024 Einschreiben RR577571674DE an Gerichtsstaße 2, 60313 Frankfurt a.M. Oktober 2024 ca. 12:12 Uhr Fax, 3 (in Worten: ddrei) Seiten an +49/(0)69/1367-6301 24. Oktober 2024 ca. 14:51 Uhr Fax, 10 (in Worten: zehn) Seiten an +49/(0)69/1367-6301 Richter/in „Gottmann“! Warum beantworten acuh sie meine Eingaben gottverdammt nochmal da muß man schon mutnmaßn daß dies mit Absicht geschihet bestenflls teils und nicht ordentlich? Nachdem man die ganze zeit die Beweismitleserver die ich betreibe sabotiert hat und ich deshalb erneut zusätzlich Kapizitätne anmieten musste udnzudme gstren festsellte daß mein Beweismittelserver http://take-ca.re vom Provider „plusnet“ (easybeall) mit AS20676 zumindst auf Basis von TCP im IPv6 nicht erreichbar ist habe ich mich gestern schon wieder über ihe bsui auf die knoche korrupte Justiz geärgert. Und zwar da ich auch Post der Generalastaartsanwalcfst Frankfurt a.M. erhalten habe daß meine Dienstaufsichtbschwerde verworfen werde. Das Schreiben, 2 aneindergetackert Blätter jeweils nur voderseitig beschriftet mit Datum vom 04. Dezember 2024 ereichte mich per normaler Post, frankiert 09. Dezember 2024 hier eigeganegn 11. Dezember 2024, Aktenzeichen 3 Zs 1842/24 GStA Frankfurt /M. Mein Schreiben vom 03. Dezember 2024 mit nfgahistantragh haben sie ja erhalten. Das erkennt man daran daß sie diesen vorschnell abgelehnt haben. In dem stand nämlich drinne daß ich den gestellten Ablehungsantrag nur dem Richter „Hommel“ (Rommel/Lommel/Hummel) gegenüber begründe der nachher auch dfür zustädig erkärt wird über densben zu bdinend und nicht dem Richter gegenüber den ich ablehne. Ich hab da ja auch Strafanzeigen gemacht gegen Personal von ihnen, ja explizit vermutet daß es ich bei Justizbediensteter Brooks um ne ehemileg Mitshcülerin vonmir haldet die mir gezilt schadet indem sie aktendunden Posteg manipulaert. Jetzt ist es für jende normaln Msncn vollkomen lodcgh daß der gegen den etwas vorgebcht wird nicht unbedingt dbsisienwoll wenn dies gschieht, Ishcüchterung von Zeugen/Opfern. So istd as auch für dne Bfaghaistrag vomsgtzgeber geregelt. Und daher steht im Schrebn vom 03. Dzebre nur dinne daß ich einen solchen stelle und JETZT KOMMTS Daß ich in esrt dem über ihn befindenden Richter ausfornuliere. Und was machen sie? Sie lehnen den Trag ab bevor er überhaupt ausformuliert ist. Das geht rechtlich gar nicht. Es gibt nur eine ege Ausnahme, nälich wennsie ich für uizstöädig erkären udnd en Antrag an ein anderes Geicht verweisen würden. Das ist aber heir nicht der Fall. Es stimmt uch nicht daß der Antrag nichr bergüdte sein würde. Ich hab ebrist jede Mneg Grüde gennet imvorfld die dazu führen daß ich diesen Antrga stelle. Und ben nageküdigt daß ich noch wesltch lemr amerila zu Begründung habe daß ich währnd de rBefanenehsiatrgasbegrüung zusätzlich vozubrigen besichtge. Die Art und Weise wie sie den Befangenheitsantrag der noch nich zu ende egstellt ablehnen zeigt schon ganz eindeutig daß sie parteiisch sind. Dennso vil hate ich vorab shcon mitegteilte: ich kann hieb und stichfest nachweisne daß Justizmitarbiter Pots ustchalgenudn Beweismittel manipulieren, habe daher sogar Bedenken daß was ich vorzubrgen habe für den Befangenheitsanrag sie gar nicht erreicht (hat). Ich habe ausgeführt daß ich bedrohter Zeuge (auch in Korruptionsverfahren) bin. Ich habe mitgeteilt daß mein Kind entführt wurde um mich, der jourslistch tätig war zum Zeutpunkt des Sprengtsoffnshclags auf Deutsche Bank Vorstnd Herrhausen datzzu zu erpssne die aisge z euteralssen, auch was einen zur Finaziereung der Flucht (von der Terroristin „Daniela Klette“?) begangen Juwelenraub anaght bei dem Juwlei Zeus in Bad Homburg. Nebenberuflich programmerte ich damals in der EDV Porgramme, Faxserver-Gateways ebenso wie die Warenwirtschaft für Juwelire. Doe Uberfall-Folgen und Schutzgelderprssung führten zu Odysseus Kelpetzides Gshcäfstaufbage(Zeugin Ursula Kutschera), er behauptete mir gegenüber seibe Verichrung wolle das Risiko nicht weiter tragen ohe ihm neu Aufagn zu machen. Er wude gezwubgen sein Gshcäsftmoblar z svstgern udndie Gerichtvollzher löschten dabei abscihlich die Datenbank mit de rnchgeisn werdne konnte daß es nach der Tat ein Fehl-btrag von mehreren Millionen Euro gab. Erpresser aus der Drogen- Szene (die seinen Lherling Savas Vitzikanos inder hand hatten?) veruchtensogra mien vatr zu eprssen, einr der täter ist Folrin Bruckmer, der sohndes bad homburger Kurdretors, zudem gibt es auch noch eine Vera Zanner (geb. Berger) die ich mich z prssn evruchte und die firma „Martellegselslcft AG“ meines Vaters. Ich wurde vonden korrutenBetan karnkshausreif zusgchslgen dafür wurden diese auch verteilt udnas stnd auch alles groß in der Zeitung unter falschem Namen. Sie wie ich am 13. Mai 2013 inskrnhaus eigeliefert worden war. Shculd aran sind die korrupten Frosiker und Polzisiten die ieMilonbust verschwindne ließen. I Krknhaus hat manmich vergfte und mien bshclgnahmetn hcner verunt. Auchdas kann ichhierb udnstchsft nachwiesen. Ich wurd mit falschen Medikamenten vergiftet. Sietdemkan ich der eisn gersmistk stdert hat nicht mehr ordentlich tippen. DESHLAB HABE ICH GEFODERT DASS MANMIR JEMDEN ZU RSIET STELLT DER SCHREIBEN AN DAS GERICHT AUF MEIN DIKTAT HIN AUFNIMMT STADT DASS WIR UNS SO PLAGEN. Ichhab außerdemausgführt daß man mich bedohtwiel meienMuter imabrigebervrand de rbnskciherhist tätg gesen ist zetnah zuM herrhausen Anshclag, daß sie zumindest sexuell belästgt wurd al s ir im auldsiesgtaz ür die mtallgselslcft in Thailnad lebten. Da wear alässlichien staatsbesuchs des dsuchen Budpräsditenetne mit nem Schulschiff, es gab Abtreibungsdiagnostik undmain vater sprch von Vegrltigung. DA WAR ICH EBENFALLS ZEUGE. Seietdmebin ich imprivat orgiserten Zuegenschutz. Ich hab mitegteilt daß mch galub daß die Anälte de rtäter des Jwuelier-Übearflls das gezielt ausnutzen. Ich hab das dmls de rprss erzählt in meiner Eigenschaft als Rdkatru einer Zetung. Die zegen habe ih beannt uter dnerm mien füherne mitshcüler chistian Metzd e rjezt beui 3sat TV dem ZDF in Mainz arbeitet. Ud ich hab mitgetilt daß ich in meienr Eigshcft als Rdkter Kotakt zu Polo-Truneir reitenden Royal im ba dhomburge Kurpark hate die für mich den diplostch dlikaten fll klärn wollten als meine „Anwälte“ Da ginbg es umien „latgetus“ rcherche. Ic glaube inzshcne daß die mit der Gegnseite parteiverrat betreiben und gemeinsame Sache machen. Man düfe auf srcüksft aufmeinklien bder als opfer nicht aussagen. Derist abermit de rvetrung duch diese ominösen adeligen anwälte gar nicht eivstanden, bensowenig meine Mutter. Die bahuten aber fist sie wärndern rhclieh evtereter. Ich hab mich uzm ein anwlt bemüht der wikolcih unbhägigmien Sache vrtritt. Aebr niemand wollte dmeienfall üebrhemen udncih weiß ischen warum: Mien muter ist ja im arbeit-geber-vrand der bankeischheit „bundessverband der Wachc- und shcließ-gesellschften“. Undid wrdneperment vonGerlscftlern asboiert, isnsder bei den Wachdienstne im Justizgebäde Bereich doe für ihre Blödrusmitzen eprmen geld epressne wollen. Shcutgeld wie ich meine. Udn die haben aufder fühusgben de rbankencuh iegen aälte hat man mir geaagt. Und ich hate ja gsagt daß ichmir iner Alteigentums Rechrche zu tu hate deriderveigusgkiminaltitä die zur Spregtsoff- Anshalg Ermordung des bankenvosrtands Afrsed Herrhausen führte. Er hate mit Alteigenum Ost spekuliert zsumen mit „penust di bank zahlt alles“ Immobilen Schneider. Was das enetgnet Altegtum de rbeiden sozalsistschen dikaturen von 1933-1945 (hiler) und 1945-1989(Stalin) angeht. Ich wr dml auch politisch aktiv. Ageoneter im sleben Parlament wie juwlier Zeus Mitarbeiter Savas Vistsikanos. Und mein Kidn wurd nun von den Tätern des Sprengstoffanschlags wgn des altgetums die auf der Flucht den Juwlir üebfilen enführt damit ich nicht aussaagen kann. Man hat auch dernFmilienmigeldern vonmr di ich nicht mehr erreichet Verstümmelug angdroht. Mich slebst zwang man dazu mit dohgugendie unterdenrme per SMS kamen ode rper Meial mir de Pulsadern vor lafener Webcam aufzuschlitzen. DAHER KOMMEN DIE KRNKEGNRCHNUGEN DES AREITR SMRTER BUNDES UM DIE ES GEHT! Und polistue od rischhetsdist ausbdler,igdnwr aus dertruppe die beimbdusvrad der shcn- dunshclißgslscften herumgeistert da warn such stansälet wolle den fall zu Schuluingszscken nutzen.UDnuter dseneprosn war ganz edsutge auch jene Frau „Andresen“ wie AM Tahren mit dern ich Ende 1998 inder Sache Kontakt hatte. Es drängt sich förmlich der Verdacht auf daß die das ganz al SHCULUNG für angehnde Jrsten dgstellt haben (darter auch ihr epottschagende Miatbeierin Brooks) umzu vetchen daß es sich umien relen fall hanhedl bei dem die sich slsbt bedient haben. Uch werde aus krisn der justiz massivst bedroht. Undicwieß´da es leute vonienmSLbsthflevrien gibt die opfen Kapfpsort.trainsgvrkuafen wollen Schutzgeldeprssun ist das. Und daß Sniäter der Malteser und andern Vereinen die benflls füs Judgparlemnt kadidrtensich bei TV Sndunge i e „ntruf“gro mit dmefll inSzen stzen wollnten, da reklaiern danndie rdakion das „Copyrgeht“ des vofalls für sch iund vehdern mit Ugerrhct daß die „ECKLSUV SOTYR“ an die öflichkeit kommt. Etwa vond rsttsbsuch vegrlgung doer dem herrhausen Spergtsofffanshclag. Einer der Typen vomKbanskciherhstverandwurd wgender ushclagungen gefeurt udnwolltemein avter erpssne, ihma ls rchstalt ein Jib imvotsnd zu verschaffen. UDNNUR ER DRÜFE MICH VETGEN, er werde es zusmmen mit den korrupten Justz- bdten aus d rgslercft so arragirne daß niemdn meinafll üerhemenill und er sich als großenretter ausfspieln kann, gneu wie der korruote Sanitäter der meienfall als sein „Scrpets reliyt True cirme“ styr vermaktenwolltemit meirn shcüelrztung zsummen wo Frau Brooks (ihre Jutszangetellet seösbt doe nur mit der verwandt?) mitgebaite hatte. AN OLLET AUS DER SACHE EINEN FÜR MICH RUMFÖDERISCHEN STALINISTSCHEN SCHO POZESS MCHEN, IENISZENRIERUNG, FRAGE SIE MAL DIE 3SAT KURZET REDAKION, DIE ZEG DIE ICH ZU LADEN BETRAGT HABE FÜR DIE SPÄTER HAUTVRAHDLUNG. Undda wollt de rverhcer aus dem Bankensciherhsitumfled sich dannalsde rgoßewohtäter drstellen der mich den amrn vprügletenJugen umsosst vetreiegtudas hat er schon am 24. Dezember 2023 zu tune versucht. Imgezuge wollte er dann daß die Führgszrlel umien vater udnein Muzter herum ihm ein jb geban wil er de rege jusr sie de rberist ei imein afll zu üerbahmen. UDN FÜR ALL DASHAB ICH ZEUGEN. Dieich aus ansgt daß sie genaus zusgshclagewrdnewie ich jetzt noc nich nennen will. Undmie afaghaistrag zet daraf ab daß man einen gemeisamen Terein mita näkten die berist sid die Sache zu eürbnehmen und Presse anberumt wo ichmien Sich de rdinge zu rpotokollgeb,live vor laufende Kameras. Und ihr Rihetrkolleg war da nicht kooperativ mir als qusi Rhctschib-Ivalidn udnbohtemZugen zu gelfen. Nur mal ad umdsuchcin zu alssn waurm alblhaugatrag batragt rde de bgünug wäre noch weslich Umfagricher geworden. Da si den nun VORSCHNELL ABLAHNET BVEOR ER ZU ENDE GSTELLT WAR RICHT ICHIEN NACHTÄGLCHNA BALHUGARAG, DIEZPO ERLUBT DAS NUN ACH GEGEN SIE UDNWRDE ZUDEM BSHCRDE BEIM LANDGEICHT FRANKFURT A.M; EINLGEN MIT DER HÜRDE DAS MIRNIEMDN HILFT DAMIT IST BESCHCLUSS vom 05. Dezember 2024 NICHTG, BEIDE RICHTER ABGELEHNT. -------- Nachricht -------- Betreff: Faxversand an 0611327618402 war erfolgreich Datum: Thu, 12 Dec 2024 17:27:08 +0000 (UTC) Von: Fax <noreply_fax@> An: maximilian.baehring@ Web2Fax Faxversand an 0611327618402 war erfolgreich Guten Tag, folgendes Fax wurde erfolgreich zugestellt: Ihre Fax-Rufnummer: 00496924749613 Ihre Faxkennung: Maximilian-Baehring Empfänger: 0611327618402 Zeitpunkt: Thu, 12 Dec 2024 18:27:08 +0100 Seiten: 3 Eine Kopie des Faxes finden Sie im Anhang. Wir danken Ihnen dafür, dass Sie unseren Service genutzt haben. | |
|
12.12.2024 19:00 |
|
|
|
|
![]() | |
| [0] |
20241212-1900-0-1.jpg |
| https://www.tiktok.com/@maximilianbaehring/video/7447584550269488407
| |
|
13.12.2024 05:35 |
|
|
|
|
![]() | |
| [0] |
20241213-0535-0-1.jpg |
![]() | |
| [1] |
20241213-0535-0-2.jpg |
![]() | |
| [2] |
20241213-0535-0-3.jpg |
![]() | |
| [3] |
20241213-0535-0-4.jpg |
![]() | |
| [4] |
20241213-0535-0-5.jpg |
![]() | |
| [5] |
20241213-0535-0-6.jpg |
![]() | |
| [6] |
20241213-0535-0-7.jpg |
![]() | |
| [7] |
20241213-0535-0-8.jpg |
| Gstren lauerte mir wider derkomsihe hausmsietr C**kovic auf der immer fake Gerichts-Post (gelber Briefumschlag anstatt wie richtg blaugrauer) bei mir in den Briefkasten wirft in der hioffnung duch seine nach einem DDR-Stasi Foltermethoden Hnbdch staffidnende zutiefst demoralisiernede, zermürbende udnzesrtzende exzessive Folter mit permanent negativen Nachrichten bige mich dazu mir iernuet diepulasdern aufzschlitzen. Er ist als pschsich getsöretr Sadist asu dem ostblock der Polzei bekannt so meine Infos stimmen, nur fie wegn der amnste für fslch als psychisch kranke dignsietzerte Rgeimrkiter nch de rmaueöffung. (Stolz brüsteten seien Kuples sich besoffen in Hexenkessel: "so kann man jeden in den Suizid hietzen oder zum Mörder aus Notwehr gegen die folterdnen Peinger machen", man isoliert ihn und bringt uihmnur negatves udnuetsrchläg alle seien Erfolge). Vorienpaar tagen übernachtete einr von denen in dem komsichen tatoo Laden wo die Türschibe eingeschlagen wurde,w hsclilchd iese amfaios die sich wgendergstez-gebung zum Altgetum dasduchszlschte Dikaturen etgenet wurde falsche KZ-Häftlings Nummern tätowierne lassen wolltenum sich dann Immobilien, Grundstücken, aktien usw. betrügersich zurückgebenzu lassen Idnstitätsdibstahl die ihneb gar nie ghörten hatten. Oder wie VersVater als duch die Oktoberrovultion enteignete vertsmete Artikoraten veruchten dieklinbürger zu egtene wiel ien zu Zeiten des
Absolutismus ja alles ghört habe zsmmenmit dem Papst. Vor derhatür watten Berüerg arbare die sich alsmein anälte ausgebn oder Meidzistudnten die man gefert hate wiel sie sich anFolterxperimente idner Pschiatrei ebteilgt hatten wegen uter adnerm auch meiben Aussagen. Das stand sogra idnerztung daß in Marburg ein Medizstdtent exmatrukuliert wurde. (siehe der Krank a. Potent-e Kino Film "Anatomie") Man folterte exzessiv gefange udn Zivis aus dem geensichn Polsicteh lAger die es gewagthate sich gegen die Kur - Btrüegrbarde zur whlausftellen zu lassen. Die Vercherfrudn von Kurdrektorssohn Folrin Brcukmaier aus der bad homburg v.d.H, bertügerklinik Dr. Baumstark. ch hab die sicherhisthalebrgilt wie sie mit lafendemMotr inihren auts saßenud mit dmesptphoen wohl mein Blog lasen iwneiseit diegeworfenfolter-Post zum vonIhenn gewüschten schinbaren suizd-Veruch führt und dazu daß ich mich per Post mit ienm Einsoruch wehre damit ich dikuneteren kannmich gerichlichzur weher egstzt zu haben gen den whansinn de rbsoffenStudenten aus der medizin, Poluzschulen und der Jurisprudenz. Als ich ins Intercafe cam sah ich vorher von einem Vesap artgen rollerfaherder den gehsteig nutzte , esgabja auch shcon Harley Davidson Fahr die aufdem Bürgertsg mit dem Motorrad auf mich zurasten. ImIntretcafse dsß dann gleich wider der meistens besoffen Sportwetten-Zocker denich asu dem bad homburger Hexenkssel, der kneipe von andrea Ressler kenne der an dem Spielautomaten im Intrecfeherumhig immer. Fühergab esinSpilehallen Inter-cafe abristplätez,die iezgen die mitte idner ncht geöffnet hatten wenn ich dasmls mit dem 500MB Limit aufdemUMST Stckien 650MB Große Linux-Istallations-CD downaolden wollte oft die eiznige möglichkeit Intrenet zu neten wiel die korrutend rckerkolnnen mein Anschluß gesperrt hatten weil ich mich wie das gerict enbtschied wiegret ihre gefakten rchnugenzu zahlen. Der Typ der in Vergaltigung,Mordun Kidpaping verwicklet ist udndenebsitezr desinterecfes dzau erpssenwollte Schutzgedl an ihn zu zahlenil er anders asl der western-Union Shop Kiosk mit der Postannahmestelle zwar sowas wie Handyprepaidkarten verkaufe (= Bargeld, gegeient zr geldwäsche) aber nicht inshcen Öffungszten mit de rgelrcft kooperirer sdner cuhonntags offe ahbe. Das sollet aber das alliestellusgmerkmal der Cargo-City Süd sien. Der typ saßda wider udnprovirzet, zigsienhady rasu udnflmte mich nchdem mir der typ denichimAutogefilmt hatte gefolget war, aus demaut asgstigew ar udnmir so aggrssiv genüer war als ich sgte ich binimzsgcshcut wgen terroismus udnsiethenuter verdctmich einzu-schüchtern, meien aufnahemn dine de rbissicherung daß ich Beta laut umhfl rief der mann würde mich (weil ichsein Knezechn zur überüfung duchdie zgeshcüter filte) vefolgend und sie sollten die Polize rufen. Das wra am Frisörsalon neben der Pizza-Hut am Zoo inde rhödleristraße gestre abend, 12.Dezebr 2024 kurz vor 18:38 Uhr, da ist der zetstempel des Eishcben-Rückscin belegs aus dem Internetcafe. Sofrt hab ich getsren abend auf #tiktok ein Video hochgeladen. Man hört noch seinen Osblock/rusen Miltär Kupel sagen meinfall "daß sei dei Frau mit dem Sorgerecht". De rtyp gibt sich jaals sicheistdiste ausbidler aus dnabriet mit dien koschen Typen vo nUPS zusanmen die ich am Zoo egfilmt habe wegen diesen "mailbioxes etc." Laden am Bornheimer Uhrebtürmchen der dichtmachen musste wegen seiner Schutzgelderprsesermafia. So wie eines der Intrenetcafe nach dem nächtsn dichtmachen musste. Der typ hat "sien geld" mit dem schneeballsystem "Life AG" verdient und wohl auch als teil von der "Cybermafia Viren/DDOS/Hacker Ransomware Erpresser" Gang die sich offizlle als "rechenzentrums bewacher" ausgibt. In den Rechenzentren lagern Rtolichmiliue Pr0n Filmchen. Dassidn die Priftere dei DRM Netzzensur udneprsung mit "Club artemis Srtry_Danie Filmchen" der Politik wie Willf, Floftaine, Trump und Clinton. Derbölodne typ sit einer der haupt - Erpresser im tiktok - US - Wahlkmapf. Währnd ich das hochlud sah ichdannuaf instagramm ne "Motivational Kalenderspruch-Kachel (Fliesen Schieler?)" wo vor dem OLG Gebäude ein schrzharger fredtsämmger typ, mutaßlich dendealer die Polizei im 1. Revier auf der Zeil33 beschfpe, ihr Polzeipräsident sei ein vebrecher udn er, der auläderwürde sienOsblockPäsdinetn holen um den erhcißen zu alssen mutmalich wiel die deutschen mit dem nazi-tätervolk gen geboren werden. Er chlug dabi purzel- büume udndas videokam von demaccount "frankfurt ist wild" oder so auf instagram (wild wie der gegensatz vo frei). Abdn kam dann auf ZDFInfo ein Film wo herauskam daß eun Typ "Otto Warmbier" sich für die Prese als waffen-händler ausgegeben hatte in "Nordkorea" und die von den Russen(?) via a Nordkoraidnen Irak "Scud Raketen" angeboten bekommen hatte. Man sagte dort in Kommunisten-Kreisen Nordkorea sie nich Mitgield von Itrepol udn käne dher tunwas manwolle. Da musste ich an das Polizei Prvizren Video auf Instagram denken wo bid suf dekochen korrupte Verbrecher wirklcih Opfer von Polizebrutalität wie mich "nachahmen". Wehclich wider einr vondeir "yugsoslschr chrlinChplin Immiattor Truppe". ICh weiß daß es im Umfeld von 3sat auch Osblock bsuchr gab die mitVERLEUDUGEN gen diemetllsgellsft AGUnd wofrma begbau Shcädn evrucht habendie in die Millionen wenn nicht Milladre gehen. Ichhäte nicht dgenwenn einRote armee grftrupp nchduschalnd käme dndiese Araber/-Olgarchen Scheballsystem Verbrecher mitnimmt udnin Rsusldn vor ein Gericht stellt. Das sind keinerlei Journalisten das sind vonder lisketxrem n gerlscft aus-gtellte presseausweis-missbrauhende asylbetrügende Russenmiltärmfia- Saboteure und "Agent Provocateur"s. https://www.tiktok.com/@maximilianbaehring/video/7447611436576099606 https://www.instagram.com/frankfurtistwild/reel/DDaTn75qDgk/?hl=de | |
|
13.12.2024 05:40 |
|
|
|
|
![]() | |
| [0] |
20241213-0540-0-1.jpg |
![]() | |
| [1] |
20241213-0540-0-2.jpg |
![]() | |
| [2] |
20241213-0540-0-3.jpg |
![]() | |
| [3] |
20241213-0540-0-4.jpg |
![]() | |
| [4] |
20241213-0540-0-5.jpg |
![]() | |
| [5] |
20241213-0540-0-6.jpg |
![]() | |
| [6] |
20241213-0540-0-7.jpg |
| Der Typst ja nichtderuezge de rnader "nachhamt"/"nach-äfft" asl wäre er auf dem Niveau eines kindergartenkinds oder eiens Affen aus dem Zoo. Ich hab ja auch bei deisem Foto mitde rudne uterdemauge daß der komische typ der sich als "Marek Ziólkowski" oder sowas ausgab am LocIX esgt dß das verdammt nch derwudne aussihet die mir zugefügt wurde imZsmpsile von den Prügelbulen vom 5. udn 1. Reveir undem K15 mit folterdnen Medizinern die ich aus dem Hexenkessel Ende 1998 vom Pressemeeting kannte. Vonden ich mien daß jetzt einer im Laden "thai Coner" bei mrigenür eingezogen ist. Die tragen so Logos des Fußballvereins "Eitracht" auf ihren "Hoodies" mit denen sich gewltberiste Widrständler aus der Fußball Holigaszene zu erkennen geben. Motto "wir sidn alle Frankfurter, wer im Schneeballsystem unterwanerten verein bei der Turschuhmafia GEZ Gebühren abzocke imPrfifussball" mitmacht. Das sidn so inwta dei Leute die das märchen von den verpügelte Ehe-frauen erzählen die nich tgenug hauhaltsgeld belämen im Kapitalismus und keine Kidnerbetreuung um Kampfsortkruse zu evrkaufen. QUSI "AUFRÜSTUNG" DURCHNCh DER WNDE ARBEITS-LISE OSBLOCK-SOLDTEN, NVA, VopoSusw. IM KAMF DE EIGEERDETEN HÄUSLICHEN M" GEWALT FRAUEN GEGEN EHEMÄNNER UDNEX-PARTNER di vrchen denraunmehr lohn idnem sie deren ehmänner bandnäßig organisierte eprssen und verprügeln uNother zu prvozieren! Diese show- kämpfe filemen deislbsterannten helden gegen die
frauegwalt sid dann und betreb damit per intrenet etwa rufmord.Dies typendind de rgudn warumwirklcihe stfaten nicht geahndet wren wieljdr dnekt das ist wider so ien Fake-Shcupsile-thetar. Das ist diese mafia die anwälte einschüchtren damit sie einem nicht helfen,bis hin zu "ich sorge er shcbellmsystemmiglidern dafür daß der kiene pflichtverteidigungsmandate mehr zutgetilt bekommt". ODerdies Budwhrlermafia "wersienavteraldn nichtevrtsgt indem erstt soldte zvildistlsistedner wird der hat keinerlei Anspruch daraf vor gericten ien nordgeevrtgung gestellt zu bekomen, ervetdegt andr ja auch nicht". Jendflls hab ich d na ganzmeneg dejVius gehabt von Eprssenrus dempolize udnsicheritkrfäte umfld diemcihausf as sidistschs Gequältabenwielsie wolltendaßmienmitter dei im Budsvrad derWch-udnshclißgeslslcften als skrtärin arbeiet ihen Jobs verschafft oder Aufträge. Darunter waren verbcher die miten wenn ein Telewroker per VPN im letzen ASS-Hop Public oder RFC1981 Prva t adress spce eieglgt ist indiekozrztrale Dann düfr er etwa sien per VoIP an ihn dcgeleiten Telfonsnhcluss (Sagen wir den vonder wolfrmabrgabu aus österreich imfstnetz) nicht an sien dsuche ahdy anrufrtleiten per ISND eta. Und as wollte die ostblcok verchebnde die in eienr spedition arbeitet wettbewresverzerend in DeCIX nähe so dmistren daß sie in Düssldorf ienrchzetrum ananden, ich glaube das könnte myloc sein. UDndannwolltn si emithrne vie zu wenge sichritklrften die deutshcen Grossbanknen dazu erprssen dort rhen Onlibankin gdüber laufn zua lssn wiles fürdei bilgr si inde rabsichtdaß Vreasvater vomKGB/der roten amree dasbhören annzsmemnmit Civkovic, siehe dazu auchdas "virau.cloud" rhczterum in Paris das von Yugos betrebwird ebebnso wie AS6939. Di evrhcerin "Andrea Ressler"die gegen ihren fühern Kmganon (dieser steckt meines wissnes nach hinter AS44324 ModDove) afshcausgsgat hat woltle da allerlei Kirminel dige machnmit netzndie sie uu hijacken versuchte, daruter auchdas vonmir udnmeirn führenfirma. ABHÖREN UNTER (schul)FREUDEN und REWARD SNOWwitheDET perfect Webmaielr E-mail fowarding Securty.Alle bekant von florian bruckmioer der vehcte sich ien Job im Banken-sicherhtsumfled in der EDV zu erpressen mit grohto-shopten Epresservideos und einem Patonkel "ERDGEIST" (Nicname fr "pfarrer ERDmann,GEISTlicher") oder sowas der wiesienKoplize Stefan Schubert, der KluKlux Clan Elektiker aus dem Beudweeg in Bad Homburg v.d.Höhe ind kthischenKrichgeide aktiv war. der mit den beim besuchder Hochdeligen Reitrlique gklaen Geldkoffern. Mien Klu-Klux-Clan Fan "trauzege" aus der kita inder weingartenstraße in bad homburg v.d.H. ober erlenbach als ich als kleines kind mit (Chris)tin kreuzer Hochzeit gespielt hatte ud bei usn im Has etwas E.T artges warmit einem Foresiker teem und einem amBakn baumeldne toten Arbietegber den diegsrcscftsafia aufgnüoft hatte nchdem er irhen total unevrshcämte Lohnderunge nicht nchgeebn wollte in Tarofverhandlungen. Wir eriner usn: die korrute Cops die für dei Gewerscftsmafia beim Terror-Asnchalg auf Herrahausen Attentat das Geicht angelogen hatten und für Josb erpressen wollten als Rechenzterum-becher wie dieser "Michael bck"? Dies eprsseband von "Bader Computer" wo die Verbrecherin Vera Zanner (geb. Berger) die mich chnalg mitnächlichen anrufen stalkte ihr vater würde an Krebs sterben mic z erpssn versucht mit falscvorwürfen vonrabkipen udn gebudlten virenscanner? Das is qus mit Florinbrucer ien de rdhtziehrinende Abo-fallen Mafia wo es um Streaming errepssung geht um gekidpppte kInder aus krisn der BDSM/Sado-Maso Skte truppe von Uta Riek in die prostitutopn zu zwingen mit hremEx Freudnstfan Moscjshceitch von intXXX.net der füher fürmeinKokrreten CDC Hofmann (wie Psychiatrie Strwwelpeter Hofmann) conCommdoer PC abrite udndenkidner C64 Raubkoienspuler verkauft hatte statt nicht kopierbare konsolen etwa von Nitendo wie dei die chmien Budrhscnkte um sie adnn zu eprssn sie würden raubkopiren wogegen der Pfarre Erdmann se dann shcützenwollte indem er imbedrffalle lizenze asu dem bestand der kirche asl die fhlenden ausgab. "BILL GATES konnte sich den beißeden SPOTT chicf sotwareevagelist" nich verkneifen,a sldas aufzufliege drohte versuchte man CDC, dann meine firma, den juwler und metallgesell-schaft zu erprssen. daindkienwhistlbwoer und datenshcut helden das sind abo-scheballsytem-kartell-erprsser https://www.tiktok.com/@maximilianbaehring/video/7447749932099964182 | |
|
13.12.2024 08:00 |
|
|
|
|
![]() | |
| [0] |
20241213-0800-0-1.jpg |
![]() | |
| [1] |
20241213-0800-0-2.jpg |
![]() | |
| [2] |
20241213-0800-0-3.jpg |
![]() | |
| [3] |
20241213-0800-0-4.jpg |
| Vm 18:00 Uhr TV Vorbnpdogram bekam ichegstrenso gut wie garnichtmit, wähnd drsipons war ich im Internetcafe um das Schreiben an das Amtsgericht zur post zu gebne mit dmezowte bfaghisttrag un der Ankündigung daß ic Rchtsmittel einlege. Dann sah ich den Verbrecher vor der Tür de rzudemnuen nchbarn gehört vom Thai Corner der sich hier als "immibilenwnatlt " ausgibt udn uetrdem drigende tatvedchsteht ein Altegums-Trickbetrüger und Kidnapper und Vergewaltiger zu sien, ein Komplize von C**skovic und Nikic udnrhemKupel vomnderoten armee, der eine Etage oberhalb von C***kovic wohnt. Di mir verbite wolltenien der EVD zu arbeietnwiel ich keine waff tragen wolle und die Nutzer von onlinenbanking infirmen ien anrchtdaf häted aß ihre pCS udnetwzerkevrklaungmit wffegwelt vonEx-Soldten geschützt werden. Endtwder ich würde Luetseitelen oder is würden micevrgeltigenudn das kind kidppne udnashabnsie ja uchallesgcht. Dann haben sie evrucht mich zu ermorden und über meiengene in demkidn in der erblinie ans gedl meirneltren zukoen. auchgegendie gab esmordveruche. Und niemdn vonde rpolize drafeishctenw eil der Vernrecher "Prinz William" dies vegreltiguneg mord udnqs kidpping angrodete hat mitsienReitrliquen Kupels vomPolo-Turnirzusmmenaus dem abd hombruegr Kurpark. Dehsalb flog enhland auch aus per BRexit der EU ildie da asl "Thronföegr maöver" dargstellt hatten wie beim "sisi Kisermanöver" vor dem Ausbruchdes1rstenwlrkiegs. DA spilet insmchn-bidlmit
hienei inde rienfrau einsche ist diemanevrtegne muss woriu sich dnndie whrflihtegribt. Udnwiel die Täterasu de rrterclique da sals Miltrmanöver tarten (putin spricht zu rrhct von einer "spezail-operation" darf mandis hcien nichtebuchten wie nichtallemschn vor dmesgtzgelcihsidn sodner mhcn bengelciehr als andere). Soviel dazu. Man hat WIRKLCIHE SHCRSTE STAFTETE ALS ÜBIGEN der polizei oder desbanskciehristevbndes getarnt! Ds ist aber nicht wahr. Wahr istdaß vera znenr shculdne gemacht hat um "Künstler" anzuheurn undmeinfmile zscgenwollte ihre "miet-peronl-kosten" zu überhemen. sie baute ichsie der sohn von schagerbarde "engel_art humdendrink". sieh der film "conspiracy theory" der den "JFK tatort dallas" herrhausen asnchlagasu der sicht des fahrer "VAtER VONHOMASPETITH ASU OEBR ELEBECH BEFRAGEN" den man einsperren wollte weil er tatsächlcih einen quer-ulatorenwahn hat,sienkommikationhaustäschlichaus densätzen"dasshe ichnich ein, daghe ich zumanwalt" betshet. Udnerhat cuhnochienwanlt dr sicbeegrict ibeleibtchtidem er nur auf formfehelr pläderte aber nie iahltlich zur sache kommt. man wollte da ienmchafferu einen arbeitsplatz erprssen: wir erinnern uns. asl die slebe shcutgedlmafia su dembaksichersitumfeld. das ging soweit daß man luet ebrukenmchte mit nutendie baftragt wurdnie bazufüllen udn vefgte damitsei nichtmer richteg shciebnkontn udnne srtärinbcrhten.man vruchteu trenehmrabhägig zsucmhenvon perosnal su der gewerk- schaftsmfia daß dann den betreb usspiorn sollte. womit wr zurük beim thema sind des 18:00 Uhr TV Vorabendprogramms "ZAHLBERGERs FESTSPIELE" vom 12. Dezember 2024, einem Donnerstag. Den bei den ZAHL fmile Bergs SHARPZESS TheaterSPIELE für die Straming Gasfaser Mafia ging es darum aß JEDERMANN imBtreb denlcih seine küdgung bekommen hat. Wgenshcre gscfäfstchädgungudnAuplüdeungder anleger udnihaberwird es da auchnoch stfavefhrngene, dann bkomtmihr ienschern unebzahten abristplatz im Lager wo ihrper znsgabite dishcäden abbartendüftbisan erue lebsende. Dan ginges darum da Cecilshortmannwill aß Kinder Saxophon lernen oder "calling you" Telefon-sax? (der "baghda dcafe" kligelton ai"out of russenheim"). Es gabien lagenbicht üdiesxpohosteszen inösteriche, dahat sie jaienkuple der sich ien zusatzegehalt verschffen wolletduch plüdenrungderkassede rhcülertungdie garkiengeldhatte. Es ging darum daß etwa "einen hohen widerkeunnsgwert habe". ichnenn das "NACHÄFFEN/ NAHHAMEN". Ich hab erst um19:51 hr zugechaltet. Dann kam #berlinNueKölln02407 / #berlinTgaUndNacht . Wo dieser Joe Möllr Lutzshcigelvonder abtelungshcutz udnshcigegeld ermitelt geen die SopaOpera TV Mafia. Derstädig pliet füere Matrix besitzer "Mike" derja gerd erst vonsiem ater ausplüdert wordn sein will duchdssnnue fmilie hat amelieja geldgschkt mit dem sie mit irhem Pleite freund Lennert de rmikenc ne mege geldhcudlet in ien Wohnug ziehen kann aus derdafür abr Emmeisuzuhensollte dor gediwe sowas. Inder "kinder WG" wird prompt gefeiert udneskomtmzu hdgrflich-keiten. Keirm dr ienfeudin hatdie sch vonrgem, unbakkner vatre hat shcägernlassnwillsicha ls der große bshcüter aufspielen offizeie, infofizellegeht es da gertert daumdenerzuegr zu erpssen. Er ezrählt rcikder japerment betrgen idvonallen Luetn insiem Umfld, zuletzt vonLehre basti daß es fast zur shclägerie kam und er ddhalb nicht wieter fert alkohiosaufend mitder shcgren frudnin deren kind nich von ihm ist. dan gab es noch ienGsräch vonPeggy udnBrunoauf der straße woe Bruno peggy sgatedaß der Kuss densie haten nicht unbdetend gewseen sei für ihn. https://www.tvinfo.de/fernsehprogramm/2027811704-die-simpsons https://www.tvinfo.de/fernsehprogramm/2027811710-die-simpsons https://www.tvinfo.de/fernsehprogramm/2010872113-kulturzeit | |
|
13.12.2024 14:00 |
|
|
|
|
![]() | |
| [0] |
20241213-1400-0-1.jpg |
![]() | |
| [1] |
20241213-1400-0-2.jpg |
![]() | |
| [2] |
20241213-1400-0-3.jpg |
![]() | |
| [3] |
20241213-1400-0-4.jpg |
| Beihilfe/Begünstigung RAF–TERROR per Postunterschlagung Kursmanipulationen/erpresserischer Menschenraub/Straf-vereitelung, Gefangenenbefreiung, Zeugen-Medizinvergiftung/Vergewaltigung
Maximilian Baehring Hoelderlinstrasse 4 D-60316 Frankfurt/M per Fax: +49/(0)611/327618-326 Landgericht Gerichtsstraße 2 D - 60313 Frankfurt a.M. Im Internet findet sich unter der URL http://banktunnel.eu/pdf.php und URL http://blog.sch-einesystem.de/ mein ausgedruckt fast 30.750 DIN-A4 Seiten umfassendes Internet Tagebuch / Blog, als Offline Version downloadbar unter http://*** /***/ als ISO-Image (brennbar auf DVD) mit tagesaktuellen ZIP-Archiv Ergänzungen Neu: https://www.tiktok.com/@maximilianbaehring/ Frankfurt a. M., den 13. Dezember 2024 Aufforderung der umgehenden Zusedung Antragsfromulare für Prozesskostenhilfe für Einlegung des Widerspruchs-Rechtsmittels einer „Beschwerde“ gegen Ablehnung des Befangenheitsantrages den ich am 03. Dezember 2024 zwecks weitrer Begrüdnung vor dem über die Befangenheitse-Ablehnung des Richters „Hommel“ enshcidenden noch zu benennenden Richter per weiterem, auch mündlichem Vortrag, im Beisein von Anwalt (den ich wgen durh Veräumnisse auch der Klägeruin erlittner Medikamnetvergiftung mit der Folge ienr Rechtschreibbehinderung benötige) und Presse die hierbei den ordnungsgemäßen Ablauf garantieren und dokumentieren sollte stellte. Hilfs- und ersatzweise stelle ich Antrag ohne das Formerfordernis des Anwaltzwangs vor dem Landgericht die Bshcerde selbst einlegen und begrüden zu dürfeen in Sachen Einschreiben RR577576932DE, 12. Dezember 2024, 18:28 Uhr vorab Fax +49/(0)611/32761-8402 Aktenzeichen 28098 C 360/24 des Amtsgerichts Frankfurt a. M. Klag-schrift erhalten per Zustellung am 18. Oktober 2024 Begleitschreiben datiert auf 04. September 2024 Beschluss vom 04., ausgestellt am 08. November zu Fristverlägerung bis 06. Dezember 2024 nebst Begleitschreiben datiert auf 04. November förmlich zugestellt 12. November 2024 Beschluss vom 05., ausgestellt am 10. Dezember 2024 zu Ablehnung Befnagenheitsantrag und nebst Begleitschreiben 10. Dezember 2024, förmlich zugestellt 12. Dezember 2024 2 Blatt, gesamt 3 Seiten, davon Blatt 1 das Bgelcishcben nur vorderseitig bedruckt und Blatt 2, der „Beschluss“ vorder und rückseiti (Rechtsbehelsfbeleherung) bedruckt mein Einschreiben RR577575870DE 03. Dezember 2024, 10:40 Uhr Fax an +49/(0)611/32761-8402 mein Einschreiben RR577573556DE 14. November 2024, 13:11 Uhr Fax an +49/(0)611/32761-8402 STRAFANZEIGE WEGEN AMTSANMASSUNG/AMSTMISSBRUCH, STRAFVEREITELUNG (IM AMT), BEIHILFE UND BEGÜNSTIGUNG VON SPRRNGSTOFFNSHCLÄGEN, MORD, KIDNAPPING SOWIE VERGELATIGUNG ([1] 30. Oktober 2024 Einschreiben RR577571674DE an Gerichtsstaße 2, 60313 Frankfurt a.M. Oktober 2024 ca. 12:12 Uhr Fax, 3 (in Worten: ddrei) Seiten an +49/(0)69/1367-6301 24. Oktober 2024 ca. 14:51 Uhr Fax, 10 (in Worten: zehn) Seiten an +49/(0)69/1367-6301 Sehr geehrte Damen und Herren! Wie sie sehen bin ich nach einer asbcihlich Medikmantenvegiftung and er auch die Klägerin Arbeiter Samariter Bund schuld hat inzwuschen Rechtschreibe - Invalide obwohl ich zuvor Gemristik studiert, als Redakteur einer Zeitung gearbeitet habe und ein Untrenhemr führte und auch ein Online-Tagebuch im Intrenet (sogenanntes Blog) führe wo man auf üer 30.750 sietn DIN A4 zumBesis nachshen kann daß ich vor Vergiftung und Misshandlung durch Medizienr ken Rechtschreibprobleme hatte. Ich bin als gehandicapt und muß mich gegen Medizinr die mich massiv mishndelt haben um sich dafür zu rächen daß ich gegen sie ausgesagt und die versucht haben mich ganz aktiv zu töten und es dabie nach Selbstmord ausshen zu lassen um mich als Zeugen in ein vefahrn gen sie wgen Kunsfelher/Kur-Pfuscher loszuwerden. Ich hab inde rklin dr. Baumstrak, Vikroawge 18, D-61348 Bad Homburg v.d. Höhe Zivil- diesn tgelet und mitbekommen wie manhilflsoe alte dmen abzpckenudnihe Vermögen berauben wollte, da gehs es umdei Rückbae von Altegum das dcuh siszsche dikatren von 1033-198 (hilet, Stalin) entgnet wurde. Um zu ecrrichnd aß dieanrüch ncht getendgecht werden wisen korrupte Osblock Medizner AltgetümerinKlikenien, ließen sie dort für „Faga“ erklären und sorgten dafür daß deren Betrüger-Amtsvormünder di ansprüch auffs altegum verährnließ wärhnd man die Opfer sediert wegsperrte. Auch die Banken und Immobilnbche witterten nach der Wiederverigung wie die Bau-Mafia die eine Menge an Yugoslawien-Kriegsflüchlingen als lohndumpende Hilfs-arbeiter ausbeuten konnte das ganz große Geschäft, Deutsch Bank Vorstand Alfred Herrhause wurde in meiner Heimatstadt idnloe Lufs gesprengt von RAF Teroristen denen es icht passte daß er „PEANUTS die Bank zahlt alles“ Immibilien Pleitier Schneider Krditevschffte um im Ote mitAlgetum zu sepkulieren, die selben RAF Terroristen die auch Treuhand Chef Rohweder ermordeten, damsl gab Sepkulation um die Rückgabe vonduch die Sozialstschen Dikaturen 1933-1989 (Hitler und Stalin) enteigente acuh Akteien Alteigentums was auch poteteille den Frankfurter DAX noterten Rohstoff-Kozern Metllgesellscft AG (über 250 Begrerke weltwiet, allein in Frankfurt mehr tausnd ansgtellte) betraf mit sner jüdische Gründerfamilie. Sie werden mit Sicherheit mal vom „Metallgesellschft Öl Skandal“ gehört haben. ES GEHT DABEI UM AKTEN HAUS UND GRUNDBESITZ IM MILLIARDENWERT ALS SCHADENSSUMME! Ich war drot merhfc involvier,Mib Vatr war Manager von erst Thailand, später Österrich Geschäft des Konzerns, mein Muter arbeitete als Chefsekretärin des Bundesverbands der Wach- und Schließgesellschften, dem ARBEITGEBERVERBAND der bankensicherhet (Geldtransportefahrer usw.) und ich war damals als Redakteur einer Zeitung tätg, Abgeordnter, programmerte EDV – Software. Und zar zu genau der Zeit als das Herrhausen Attentat war. Die RAF Terrorisein „Daniela Klette“ die unlängst verhaftet wurde at zdem shcibar denJuweir Zeus überfallen unweit des Anschlagsorts der nder klistdt zufällgeie ienrtscftssytem mienr EDV Firma einsetzte umso ihr flucht zu finzeren. Es gab damals eine rgerchte Einbruchs-serie unweit des Tatorts woeuch mien Bür (kisllsftarße 10, D.61348 bad Homburg) lag. Als Zeugen habe ich Chrstian Metz von 3sat / dem ZDF in Mainz vorzuladen vorgeschlagen mitdem ich damals als Hobby Juslaist inder selben Redaktion war. Dr kannauch bezuegndaß es unrgemäßgkeite beiden ermittugen de Behörden gab dieso graveirnd ware daß der benskciehristverand udndie prese mich in ein privates Zeugenschutzprgramm stecktenda ich gegen lügende Polizisten aussagen solltedu Schutzgeldeprsser welche die Banken- und auch gericchts EDV Sichhet sabotieren bei der Bewachung von Rechenzentren in denen Beweismittel gelagert werden. Ich kann eine gerichtsbchuss vorlagen nach welcgem die US - Amerikaner meine Telkeommunakion abhören, ienhdusuchcuchungbe mri veranlassten wohl auch weil sie wissen wollten wermien Quellen bei der RAF terrorechreche sind. Zurück kamen kaputtgemachte Festplatten wohl idne absicht der Beweisvernichtung. Das Haus in dem ich wohne wurde mehrfach in Brand gesteckt, man versuchte mich zu erwürgen, da gab es ein Verfahren (mit dem Vors.RiLG Kulik und OStA Dr.König) mehrch wude ich aufdemweg zu Gericht oder der Post angegriffen. Ich kann hieb und Stichfest beweisen daß man Post/Faxe/Emails an Ermittlungbehörden / Justiz abfing und/oder manipulierte. Die Täter vegreltgten uter dgen, entführten mein Kind, vuchten mich dazu zu eprssen mir vor laufender Webchm die pulsadern auf-zuschlitzen wollten den Mord anmir als Zeuge wie Selbst(?)-mord aussehen lassen. Sich dann als Eltren meines Kindes ausgebn und das Familien - Erbe abräumen. Da geht es uetr anderem um Alteigentummeirnvrobene großmutter Margarethe Bähring (geb. Reinel) und ihrer Schwester meiner Großtante in der ehemaligen DDR. Man schikcte mir SMS und meisl drohte meiner Familie die ich nicht mehr erreiche Verstümmelung an, zang mich so mir miteienm Messeridepusdenr ufszuschitze vor laufender webcam und das ganze online zu stellen. Leser meins Blogs deime rhcrchen gen die kortepten Ertter udnJusrten vefolgen, Presse,NGOs wieamnsty usw. sahendie fotos und riefen Polzie/Krankenwagen. Ich versucht denen das zu erkären aber die packten mich totzienr patenverfügung under wigerungmein Karnvseichtkärtchenzu zegen ein, Suizidveruch bedeute auto-matisch geschlossne Psychiatrie. Dort kam aber niemand auf mich zu um mir zu helfen gegen die Erpresser,s ttsdens usterlet amn mir Quelatrentum, fsslet miha n einebtt udnvgfte mich biszurivalsidätemitmedikamenten, wahrscheilich der mir Ende 1998 agdrohte Racheakt für meine Aussage gegen korruet Mediziner. Als Vorsichtsmaßnahme habe ich gar kein verichetrkärtchenmehr seit den Drohungen, zudemienpatienverfügung die behadlung untersagt. Dmit für den Unfug den die mich als Zgen Einschüchternnden Mediznerkollgenmchennichtauch noch die Allgemeinheit/ Versochrtengemeinschaft zahelnuß osndensi Täter verlanget ich „Privatrchnung“. Undvollkoe rüksichlso vrucht genau diese Privatrchnung nun der Arbietr Samrietr Bund einklagen womit man mich weiter uer druk setzen iwll, manwill mich in die Privat-Insolvenz treiben, dbeisolen Inkaso Büros dann mien wohnung duchsch ndürfn um diedot lagenden bweimitetl-aktenzu fleddern udnbeise geen die Korruten Medizer Kollgen die af ganz ählich Art und wis alte leuet um ihren Altgettums besitz brachten, ich wurd ischen als crosch/latent suizid digsituert von „Dr. Dommer“ vom Stadtgesundheitsamt und Dr. Wende die mir nicht weiklich helfen. Genau darum geht es im Verfahren. Daß man mich inmer gdushit shcädigt undich nicht will daß meine krankenkaase dafür bezahlen muss sodnenr nur die Täter. Die ich auch ganz genau benennen kann. Und die ich aauch strafangezeigt habe. Warummanmich als Opfermit rchunsgnbelästgt ist mirvollkomen unklar. Man häte nch der gemachten schrifrlichene Aussage die privrhcnugen andie sttnslcfst wietrleiten müssne,da hab ich inmhr al 10 Suzdfällengaten, diekrnkassenansgezegt daß sie eientfta baght des aberhcnusgbtrugs wennsiestt dentäterndie kosten für die eätze übernimmt. Ich habe mri ja extr dfür, zur stsellung de shcdnhöhe, die Rechnung priavt ansatt andie kasse zusenden lassen. Das habe ich auchalleslang und breit meiner Krankenkasse erklärt, daßs ei nchstzalenslll, dem abrister smisrer budnmehrcch shctelcihpr ischbebrifen und telefaxen inKopi zur sichherit dopelt,w iel man ja teislwisemeinPost abfängt. Das hatdie Sadisten vonehemigenmeidzienr kollegn gendie ich ausgesgat habe nicht davon abgehalten den angelcihenfoderungen den ichstsn idprchenhabe per ndohung das inikasso Bür mir die Tür shclagenwrde uezrebn u evchenobeohl ich darauf bestand habe daß man zunächts ma gerichtlich klärt ob ich asl Opfer das üerbhaut zahlen muß. Das wollte man icht abwrten,wieurkudfächnde Jukies vrhctemansofrt an Barg-Geld zu kommen, am besten an der Tür. Zuzüglcih „inkasso Gebühren“. Als ichdraf bstand mansolle dchersmtal ein Gerichtsurteilvorlgen bagnnan dan plötzlich da mahnvfahrn, ich widerpch dem mahbschide, nun sidnwir vo gericht. Dort ahbe ichdie shce shcftlcih gschildert udndamit müste sie iegelich schon erledigt sein. De rricher müsste die kalge bwisen, tu er bar nicht, auch er quät mich sdistshc und zufällig kam ichdraf awaru. Ein sinr gschäsfstellenMiatberin ist eine fpher mitshcülerinaus demaltegtums btrpgerkartelldie Jur tsuderte damsl. Ich ab den rchter drafhigweisen und angdeuet daß ich bednekan habe daß man meinspostan ihn unterschlagn könnte. Passnd azuhat mandas Obnlie tagbuch daß ich betreie und indie ich ieganze gerichtdouknte eigscnnt hoclade wielsiesonts bei „hdusuchcungen“ duchdie korruten betanbe die hei rimeriwedr irchen abhanden kommen,d eiuzralgen, alo diese srverhat man egrde erst widermniplirt so daß sie möglicherise obehl si emehrch basgcihert sidnwas ienhaufen geldkostet vomegrichtaus nicht erichbar warenzetweise. SBAOTEG ZUR ERICHTUNG VO BEISMITTELEN! IMETRORSFAVERFAHREN. IMRAUS STHET MEHRFACHER MORD! Ei nrmal denkender richter häte mein Stfazge bstätgtudndfür egsrgtdaß ic hefl bekomejemdn dermir als rhcctiub-inavlid hilft nchmd ersinexostche Vehldunsgort gewählt hat in Ginnhiem obwohl ich nur wenige hudertmeter vomricht weg wohne udndas obwhl ich shcidlte daß ich wennichauf die straß gehe angefeindet oder angegriffen wurde vojen koruzten Kolge gende ichrchchierte. Erollte den vardlusort parout nichtlrlgenindie grichtgeäde amend de rzei s alswolle ermich vollkomen unnötig massiver Gefährdung für leib udnleben austzen. Genau wie in diesem schreiben habe ich gendu chblickn lasn daß es da hufwise matril gibt wa ichnoch vrbeigenwill, egstam mehr als fünf dicke Leitz Ordner. Dennoch bekoem ich vomchter keinevrüfttge worten, lle nur „tröpfhcnwise“, soals wolle er di sche ummcih zuquälenidnei Läge zhen di er gaz eicfh haäte mi t ein fdsretsch lägstabhalhe könene. Wil er mich de rletz szidal is so inien weitren Suizidveruch nötgen? Weier wta mit zu demkartell aus kurze Jsutbdstteghört ds ich bekämpfe itmeir rhcreche? Da geht es um Schutzgelderprssung i berich vonprvatenermittugen gendie plize duchdenbakdischistavrabd imFallherasuen (wge Alteigetum). Da man mir imernochkeiprozesksostehifuteralegzushckue (wohl ein Racheakt?) habich nun ablhunatarg gen enricher egstellt und gebten für dessen begründung bei dem üer den ablugstrag etschidend richter daz shcvotra mhn zu könenn. Statt soclhen zu benennen damit ch denatrag bgürne kann, das ght den abgalhente ja erstmla nichts an wasichvorbige hat er den atrga eifch abhelehent. hierhegen willich nun form udnfrsgerchtdas rchtmite er beshwerde einlegen wofür ich sowit mirbekannt Anwalat brauche. Und für den brauch ich Prozesskostenhilfe. Fromualr dafür beatrag ich hiermit fristhemmend. Hifs/ersatuzwiese beantrage ich selbst daß die alungdastrags zurückenmm wird da ich noch nicht begründen durfte. -------- Nachricht -------- Betreff: Faxversand an 0611327618326 war erfolgreich Datum: Fri, 13 Dec 2024 12:59:57 +0000 (UTC) Von: Fax <noreply_fax@> An: maximilian.baehring@ Web2Fax Faxversand an 0611327618326 war erfolgreich Guten Tag, folgendes Fax wurde erfolgreich zugestellt: Ihre Fax-Rufnummer: 00496924749613 Ihre Faxkennung: Maximilian-Baehring Empfänger: 0611327618326 Zeitpunkt: Fri, 13 Dec 2024 13:59:57 +0100 Seiten: 3 Eine Kopie des Faxes finden Sie im Anhang. Wir danken Ihnen dafür, dass Sie unseren Service genutzt haben. | |
|
13.12.2024 16:39 |
|
|
|
|
![]() | |
| [0] |
20241213-1639-0-1.jpg |
|
13.12.2024 17:30 |
|
|
|
|
![]() | |
| [0] |
20241213-1730-0-1.jpg |
| https://www.tiktok.com/@maximilianbaehring/video/7447935072134532374
| |
|
14.12.2024 08:00 |
|
|
|
|
![]() | |
| [0] |
20241214-0800-0-1.jpg |
![]() | |
| [1] |
20241214-0800-0-2.jpg |
![]() | |
| [2] |
20241214-0800-0-3.jpg |
![]() | |
| [3] |
20241214-0800-0-4.jpg |
![]() | |
| [4] |
20241214-0800-0-5.jpg |
![]() | |
| [5] |
20241214-0800-0-6.jpg |
![]() | |
| [6] |
20241214-0800-0-7.jpg |
![]() | |
| [7] |
20241214-0800-0-8.jpg |
| Nachdem ich gestern um 04:00 Uhr angfangen hatte in der Früh und froh war daß ich um 14:00 h soweit durch war bemerkte ich Probleme mit einem meiner Backups vom Blog in Osteuropa. Ich hab ja shcon im Brief an das Amtsgericht dvon egprchen daß ich Probleme hab die aber nur meinen DSL Intrenet Anschluß betrafen IPv6, wenn ic mich auf einen mienr angemeieten Server ein-logte und von das Problem dort aus teste lief alles am Morgen zumindest. Bverochd as haus verlasse (ch weiß janie ob ich lebnd zuückkhere) mache ich immer schnell noch ein backup meiens blogs auf allen meien Backups-Servern, n und außerhalbmeisniegen AS, auch auf andern Kobtinebten udnmsite eben auch auf die von der Störung betroffene Maschine in Osteuropa. Und ie war jezt plötzlichauch nicht mehrnur vn AS20676 aus getsört sodern auch von andern Netzen aus nicht mehr richtig erreichbar. Ich muste diemschine rebooten udnd azu muss ich mich inien webiste eimloge udndas beftragen udn die hat two factor auth. dann ging es kurz wieder. doch bsi de rbckup lauf druchwar hat es erneut und ich begann mit Dimittirj vom provider dort zu chatten. Ich schilderte das Problem. Die meial es tow fctorauth gingen tielwise wgendernetzwerkproblem nälich nicht mit dich. der shcobd as problem aufs das dushe Ende der provider. (Das kannish shcusßilen,ich peere sogra außer der EU extra umd sicherzustellen daß ich errichbar bin aus dr absrchen welt unden ehemelugenostblock ländern,
als dem non-EU/Nato RIPE Area). wir bakmn es dannso hin daß wir dei email adresse fürdas two factor auth wo die TAN Codes hin gesndet werden auf eien webmailer änderten der der vonder störung nach EU nicht betroffen war. Eien wbemialer zu nutzen ist aber eine zusätzliche sicher-hesitlücke. man verucht also wiede rmciha uszpsionren und in dem land im hemelaigen Osblock sind bundes-wherler sttaionrt die evrehcer dei von den taland-staatsbesuch marineschculschff avereligunsg vowrüfen betoffen sind, der typ im Appartemen mir gegenüer ist auch irgendwie frazäsösche Armee die in die Ukraien einmrschiern will was dzu fühter daßdie Oppsitiond en ahushalt blockrte udn man dort ne Regierungskrise hat. Ich schilderte "Dimitrji" das porbem, erkörte daß aufd ems rver Gigabytewie PDFs lagern die für einKorrurions Teerrorosimsu Ermttlug relevan sien mit ienr sprgstoff-explosion gegnden Goßbanknvortsnd inmiern ehsitsatd. ICh herinenre mich daß mien Mitshcülerin Eva Bekce rmaö eräht hat daß sie doer5t Fmilie hat in dem Land woeocjh die kapztäte angenmietet habe in OSteruopa. Und es war dieser Polizist oder was das ist "Becker" der wihgl aus irher fmile war und "Staats?anwlt oder so" der sagte wennich irhen Fall üebrhme merkensie das an blockerten SSH Ports. Rachekate wiel ich SSH und DNS Tunnelung ubtebrudne habe zu einem Proxy Srever von Uat Raieks (diemtermienr tchter, fartu id eimch unter medikamnetn vegreligt hat) Ex Freudn aus dm BDSM/Sado Maso Milieu 2002 Und genau diese habe ich jetzt. Wri eirnenrn usn die wollte ja daß man two factor auth einführt damoitz wennsie die mänenr an die fort shcikne und erschießen alssendie Frauen ander exklusv-vermarktung erer Leidshsgchichet vedienen könen die ihnen die Knider entführt udnanvegreltget haben uter dogen. die "TRUE CRIME FOLTER PR0N MAFAI". Und daafür wolltend e reeichen daß Two cftor auth so eingeführt wird daß ne Ehefrau das handy was die SMS/TAN bekomt kregt fürs sagen wir Koto udn dermann die PII. So daß sie wie ein Bakridktero der imemrnemitarbeietrinmitnem zten sfeschlüssle brcht nur nachdme vbeir augen prinzip anireh srevre rankommen. Ich habdas spft abgelehnt und hab gesgat, wennirgenelcheKidnapper komen udndei frau bedohen km ich anmien Safe/miendtane nichtmehr ran. Das erhöhtnichtd ie ischehrist odenr die angrffffläce. Sie daszu dis komschne "Samasung Galaxy Ringe" zum frei.sclten von DRMInatendes eheprtensmit RFID Chips. Das sit so als würde man ienr Frau id ien mann hasst eienlebsnevricherunsg geben die für denfal daß sie ien ditten damit beeuftragt diese Ehammn umzubringen ausgehscüttet wird. Derklassiker "Zeugin der Anklage". Dei Frauenwie die daurebesoffene "Andrea Ressler", "boba Voigt", die dem alkohol ebfalsl nichtabgneiegt "vra Zanenr (geb. Berger)" stecktens ich nchdem siedie Luet die wirklcihdas netz aufbaun sollten epr enfühten Kidnernund Dogen/mdizinvegfitungen aus dem Renne geklgelt hatten die kOhe de rmäner idnei egen Tashc, auchdie die sie auf deisem weg beim "Metallegsllsft Öl Optoione" betrg ergaunert hatten walsie mit dne russn kooperierten. Sie dind jen "oligarchInnen" die die russich statsschsft zu Rcht jagt wgeen Terorfinzereung und dem Kirgsausbrcuh im Süden der früherne UdSSR,wo etw a de fmile von "Ver Zanner (ge. Berger)" herkommt udnauch Usraula vonDr leyenhatte doch irgenwasmitostgebietn zu tun, wollte denKirge idnerukrine, oder? Als ich sieaufder wlhkpafvasrtaltung zur erde stellenwoltle mit bweisen udnausgedpcktemwehlprogramm aht ise mch evrhften alssenwärhdndie behdertenamfia am Ostbahhof anderdogenabmulanz wietre mieses "armes duschaldn" wahlkampf Thater spielte. Das ist ien disr"pschiatrie" rierichtugen üer die Strfatäter per flschn§20,§21 StGB Guachten frigerpesst werdn aus demkanst die zu den Teroisten gehören oder den Shcleelbsystem shclsurgangs für amtuszudenre. Ärzte wie idei inde rklin dr. Baustrak sore dafür (gegen Geld inform von gahserhöher bei Beföderung dafür daß die pschiatsrch Fehl-beguatchte werden, dannlauef Luet wie Florin Bruckmaeir udn sien Kopel claus amssmen die HOlocts-Rpeatioen milliarden-betrüegerr als naglich Junkies freirum und nicht in den knast,als ichSuzdbedingt inderpschatre war habe ich das ermiteln können). ICh als Zivlst mit basgchlssenm Zvildinstundhemaliger Juranlsit/Abgorndeter sowei aktver Bloger udnBüerhctelr imdtashcutz wrde asl vonden korrtenKrisn derbaksicherhsiet udn Pollize und Militär drabgsaliert garde wider idnemman miene Backup -Lauf Scripts sabatiert. Die krruet Gang wiell Luet aus dem osblock nch Wetsuerop shclusen damitsiedort nichtd emhohen krigsrikso aisgstzt sind udn afür das was sie fr "mien Firma" ahltenetgenen idnemsie Lüegshcichten erfiden üer "Krebkranje Kidner" (in Wahrhiet "Marco Stier" vom "Leningrader/St.prtsburger U-Bahn" Rchrche). Damit dei Russn Milärs die mehrafch mit der atomaren bombardieruzng gedoht haben usn die nicht wirklcih auf den shcädel werfen hatle icnotgeduen die Polzie udn stalstscften im berichde Roten armee genasuo up to date wie die Nato die ier mitliest (estaander vPS inHalsiki doe ch wgender nähe szuLuns/Orsvals/Nioa Opernsource srvern nagbudne ahtte mal als ertsgerät für eine von Barak Obama bchlagnahet Mashciin meine wohnung). Die verbrecheer-bande denkt: an dne max kan sich doch ker der russnvomschüerlatsch dasl die idner shcülerzeutungs-rdktionde rhumbodlschle wrae mehr erinnern, wiegau der ausseh da stzen wir einfach Nato-Spione ein die vonsic behaten "ich binmaximilian BährinG" es abe rnicht sind. DAS IDTETSITÄSTSDISBTAHL THAMA: "JURNLISM IST NOT A CRIME" REARD SNWOhiteDENT" (kontaklose Boxen Folter)sieh auch "FREE JULIAN ASSANGE". Was da wirklic dahietrrsckte, daßdie DDR Kommsuten wieder sohn von "Lothar bisky" eibe Bürgekrieg vom Zaun brechen wolken in zetraleuropa von sed /BDS/"DieLikne" udn dem BSW das trautsichim dafür ebazhlte GEZ Runfdunkdaß er unab-hägig ist niemand zu sagen. Daß "Olaf shcolz" dn "rober Hacke" totalevsger nd,a ic Lidne rhat desba dei Koaltion aM Tham Hshatsstreit Platzen lassen wie die Franzosen. Nich nur "brak Obama" hatne Haudurchsuchung bei mir gemcht, iNABd hOmburg Obr-ELrnbahc,genauda wo ich herkomenahbn sie zwo Chian spioan vehafte, und hier saß auch ienbrishcer Agent im Haus udndi chinsen diein mein Emai veteiler sthen mit ihrem mien Msierver sbaotrenden "Ski Gin Ping" wollte ein komistsch Revolter untetsützen. inm ienm Blg fdnensichdetailillrte Logsvomagriff vonder chian Webmailer usw Site "qq.com" und "163.com" aus. DAs Rchezterum woe AS15844 die richtunkabindung derstd abd Homburg aus oberusl wikirchen ankoendnaldnte inder eshcnhiemr landstraße 110 wurd von Chian telekom übernommen. Genau wei ich mich die gaze zet ärgere daß sobld ich ien neue Peering hcohze ihkurze tet später sle daß die irgend-welche Rissn Peerinsgvor die nas gezte bekomen. Das ist alls ganz ganz amsisve krigsvorberetend Spionage-tätogekeit. Der iezeg Grudn wrumheir noch keinr Russiche und chissichenudnNorkoreansichen Nukerpregköpfe einge-scgen sind ist daß die Justiz idn Osteuropa anders alsdie herir imwetsn z funkrioerne scheint (die whalkmapf-finezreung der Klitschkos Ukarine ausgenmmen), ich die Stfavefolgusbhördne dort damit esäftge daß ich denen eus die slbeninfos nteral anliferwie denato wie das eie guter Journlsit (dsgeteil vomGEZ Sattsfunk) macht. Und da ich Warnuen/ dohugen erhalten habe von frazöscher site asudie die Inhate unterirhe Kotorll bekomen udnzseiren köenen willd aß man mien VErbidnugenblkcernwrde evrute ich daß die Truppen der Nato die in Nordoerupa ander greze zu "belarus" warten aufden asubrch des 3.Weltkriegs, daß genau die hiet dern Sbaotagekate des wegfiltersn meines traffics stecken. Manwil daß ich mir malwiderentnervt eien ndenr provdersuch mußs,deisrver fürnoch mhr Geld umzihe, ich hab gerd wider meien ksten um mehr als 10 Euro ehröht, die prise in Ostrup stegenudndas wggefallen LocIX perring, 10Euro wenger z senen jedne moat. DAs istale szetrPSchoateror udne kommt vonusernLuten imwtesn, vonetstosterogsteruerten Luten dihre peröliche EInnahsitaion druch Karriesprügere vor die interessen des landes und der fridlibenden Bvölkerung der EU / NATO stellen. SOluet die wi Pistroius mien sichwährnd drKazler Schcolz noch gar nicht angzählt war ihmausde reiegn Parte ien docl inden rücken rmmen zu müssen umslsbt andie mcht zu komen. Sihe die debatteSödergeen ez. GEnau solcheleuet sidndas, jetzt wodie wletöfflichkeit DANK RTUMP der wissne will wer diewhlen mnipuaert hat indenUSA per "FAKE NEWS" udn"PUTIN TROLLEN" lang erfähr wei ichtgemeir arbeit im heegrudnheir ist wollensie michamlibestn umbrgenudn für ihr nichstun udnmcih sbotrenudnzscmmchnlagen,vegerlrigen udn meinKidn kidppane lbstdieolberren eihemisenfür ie erofgediesie jahrelnag masisvsbaorterahbe. UDndazu gehört daß siemichzsucgenwollen aufsrever indrkirm umzuzihenoder in paris gerade. Mienausfall Srever inOso wurd obwahlegrde für ein jar imvoruas bezahl ernuert etw iencfh soabsgchalte. Die isswenegnaudaß ich geneug zu käfenhabe mit korrter ustz indsuchladnudn nciht das geld hbemir inAsland nenanwlt zumehene dediese prvderdimeinnetwzerkstbität gefärnd idnemsie etwa iench aml diemietkoste für sien DNS Server imOsblock vo ienaufden andren tag VERDREIFACHEN !!! also daß ichdiese euet iefch nict veklagenkannwielichdafür wede rgedl noch Zatt genaug habe. UDn sowwill man mich dzau zwenge mir "PERNAL" eizstelendie dannvoninen ehr meiennetwzerk uetwander. DAs tema Two Faxtor Auth. Wo ichja erde geziegt habe daß es shcchsinist.Wenn cne lebsevrcerungsbhcließnwürde dannwürde ich die atomwffen-idnsutreiebgüstgen daßsobald mir etas zsutösßt eihcallen einabombeaufdenshcädel gerofnerd. Els "Ervshcaft". Ihr habt e snälichnichtanders verdiet ! >-------- Nachricht -------- >Betreff: Re: Website down >Datum: Fri, 13 Dec 2024 15:48:42 +0000 >Von: nmsl8091 <nmsl8091@proton.me> >An: maximilian@baehring.at <maximilian@baehring.at> >Kopie (CC): maximilian.baehring@..., maximilian.baehring@... > > > >Hi sir, > >It's still down, I hope you're well. > >2024?12?13? ??? ?? 7:39,nmsl8091 <nmsl8091@proton.me> ??: >> Hi sir, >> >> Your website take-ca.re seems to be inaccessible, what happened? >> >> Regards, >> >> Tutan He Tui Mit Osblock Miltärts Kooperierende lisketrsmistche Gewerschaftlich Orgasierte Saboteure (ROTE ARMEE FRAKION) "FEIXEN" wgen Sabotage-"AKTEN" | |
|
14.12.2024 08:01 |
|
|
|
|
![]() | |
| [0] |
20241214-0801-0-1.jpg |
![]() | |
| [1] |
20241214-0801-0-2.jpg |
![]() | |
| [2] |
20241214-0801-0-3.jpg |
![]() | |
| [3] |
20241214-0801-0-4.jpg |
![]() | |
| [4] |
20241214-0801-0-5.jpg |
![]() | |
| [5] |
20241214-0801-0-6.jpg |
![]() | |
| [6] |
20241214-0801-0-7.jpg |
![]() | |
| [7] |
20241214-0801-0-8.jpg |
![]() | |
| [8] |
20241214-0801-0-9.jpg |
| Als ich gestern erzwungenerweise - die gewerkschafts-apparatschicks die alles kaputt gemacht haben bei der deutschen industrie, asl Akatioäre mit Pensionsfonds haben sie dabei nur die eigene Rente dezimiert sagten sie wollten per telfon rdensonderndaß ich gezwungen werde asl rmer mann selsbternnet Künstler wie "lars Dininger" dafür zu bezhelren "Nachrichten zu Singen und zu tanzen" (kstarsen) dieichmir dan auf dem Sowejet-Raunfahrt ubniosn programmen SAT-TV Sendernn gesponsort von "Vodka Gorbatsghow" nicht etwa "Sputnik News / Russia Today" sodner "Pro7/Sat1" das 18:00 Uhr TV - Vorabendprogramm ansah am gestrigen Freita,g den 13. Dezember 2024 lief gerde "der große Gatsby" inder Sinpsons Fassung wo eienBbande von kirminellen Niggern Ged damit verdieneten fslch zu bahuten sie würdn nicht wgen dogehaldes vefolget sodenr rasmisu. Di eiejlich rsshcitshc verfolgten, etwa Eplipetiker oder spstker oder elblichdement die gtsche evrlgugen dfür habn lißen sie an ihre Stat massi leden. RSSISISTCH BANTCILIGING ist nich eta Ablismus, es gibt nicht nur SCHWARZ/WEISS, des gibt en agnzmenge andern Erbanalgen, die "mogalefalten" Shclitazaugen Asiaten müssn ich ja auch nich sbcheren bechtiltgt zu werden. IChhab noch nie gehört daß sich eie hoch-itellegnetr asiate wie ein (laut dem "Otto Warmbier" Nord - Korea ZDF - info Beitrag von voregster abend) "dummer nigger" bschert hat. Es gab gestern noch eine
interessnate Doku, das war zur GSG9 wi es bei der ertürmungd es Landshut fliegesr gestunken habe, das wollten die ParamilätrsichenPuscthesten vom Zoll -Kiminal-dinst die viel zu vile üerbn fü restätez die es idne rrleität garnicht gibt unebdigt asl Dsisnbsrchtgunsg-nchwis im fsrsehe haben. MAn hat mir seitsn Miluträs ndgroht man werd emichsol lange wuaälen bis ich mi indie hose mache dmit rgendien offizer sich als großer Hdl drstelleudn ien Parfüm ode doedorranta prisn konnte, siehe daz ach das manipuaert abflussrohr um Gülle üer jemdnem ausshcüten "golden shower" hier im haus daß ich vo rien paar tagen auf "tiktok videos" filmte. die wollten ja genau wie "take-ca.re" die koghe di ic mit dr exklusivermektung meirn stry vedienlässt fü scih absahnen, die "tikjtoker, facbooker, istgramer". daher veruchen dieevrcher möglicheerise ander news- quellen zu absotren, es gab egstren eie bericht zu "paparzzi" und "prinz harry" "britney spears" wo es drum ging daß es angelich prmine von "500.000 euro" gab für erpresser-fotos ich etw von PROMOS sodern von ZEUGEN die man duch veröfflichtung von Fts gefährdn - zumashcß duch die lisketxrmeistsch jüdshcslategtusm bau-mafai freigeben wollte die auch Herahsuen ermrodet hat, es gibt da wie gesagt shcnittemeneg zum fall immobuilen schneider, "peanuts - die bank zahlt alles" es ging da wie bei de remordungvon "rohwedder" um ddr - alteigentum. Und genu wie ddei Lute janicht gaz normal den Telefon- hörer indei hand nhemrn oder einBaltt aper udn nen brief schreiben ans gericht doe rdie gegesneite wollte man cu bei den siposn eprssne daß dighgrencle Nigar Rapper geld bekomen für hre Fake news rppen udndieaiäder-Ciummity ggen die Inläder aufwiglen duchdas verbeiten vonunwahren geschichten. EIn Frakfurte Nigger der Poliste ist ist daran shculd. Er half den osblock runnseen insein grnzenlsen dummheit die bevölkrung Wetsuropas zu spaleten idnangelcihe "Nazi" helfer die gege Stalsin etgegnugen käfen wollten nch der wnde udn Nza hasser, die das altgeum inder DDR udnden ostgebitenals KIRGEBESUTE bahten sollten, shclißlich wprden die "frazöschen, spnsiche, ndierlädschen udnbriteshcn WHTE SUPREMCY" NAZIS ja auch die von hen bestzt gehaleten Kolonien zurückgeben müssen "NEO-KOLONIALSIMUS - IMPERIALISMUS". Die Osblckevrcer habn also die aulädne rgen usn afgahtzet si esolten sich mit KGB Sbaoteruen udnagtent de sich als vonden nazis entgenet Juden ausgaben per Idtitätsdisbtahl soldrsich erklären as wegnd e rhaufrabe arssich verfolgte, dabi vergss man vollkomen daß es gneug juden mit weißer hatfarbe gibt, nicht nur abare, als smeiten vom solskstamme der smeiten zud em auch Moslems gehören komt das wort ansismeistisms da szegt da die medien vonull udngar nix ahnung haben. Fraesie mal die experten. Jedfsll ging es darum daß Brns gezugen wrden solet mit ienr entführten "dummen gans" odee einem amren-Logo Geld für Rapper Küstelr ausgzugeben. KIDNNAPPING MEISN KIDES amits hc ien band schreverhcer jobs erpssne draf bei der EZB!. NEIN! Das gibt haztehalnegKanst für alles gewerlschaflter. di esprgstoffgemrodet, gewürfgt, vergeltget, evrügelt udnkdie ntefürt habenudndie korruet olioze hat dabsi zusgchaut udndie Tclos habn sic nichta asn Nuetralitätgebot gahtel wie die prsse sodner verchet su der Folter von Opfern wie mir Koatal zu shclagen. ICH FORDERE DEN SOFORTTGEN RÜCKTRITT DER VERBRECHERIN "CHRSTINn laGARDE", der "patin" der Finanzmafia zsumenmit diesm Koaholike asu dem Unfld der Kriche von "Stefan Shcubert" ud"florian bruckmaier". Die metllegsellcft udn Juwelir zeu wurden ebdorhts ie sollten mheremillone zahlen damit manihre dtan nicht duchdie shcztgelderssermfia vondenr "bsksichrhist" shclägetrupps klaut mit dne sie die millonenshcäden beweisen konnten diedie RFA anrichet auf der flucht nch dme harrhusen anschlag (wegen dem alteigentum). BUdn muste der entührte agsn wegn irgnwelche Rapper bazhlen und marge bekam anglich einen "kleinen laden", die zshgshcutz-Marge, nichtdie echte, die Zegenschützer dei ishc als meinetren ausgaben wrden aussgen können wie chlimm man mine fmiel zu splöte evrcht hat damit die Niggermfai udn nie asischen Rotlicht Proistuirten mafia ande rStatsbscuh Vagaltigung gshcichte mit -verdkienemn konnten mit dendie osblock Miltär mien Eltern erprsset habem. Auch ier zegt sich wie miese "ENTFÜHER KARREIERGEHTSERHÖHN/JOBS = GELD ERPRESSEN" Luet wie die die mch garde sabotieren. Das ist nichst anders als wennmanjamdem das messserndei hel setzt udn inh aufdert sien Gekd her-zugeben. DAs hat nicht wie die Verhcbade meint mit arfverdhlugen zutun, DAS SIND STFTEN, GANZ MASSIVE. DEEGWEGN EVRLÄSST DIE ISCHTE IDNSTRIE DAS LAND. DAHER DIE MASSARBEISTLSOGKIET. DAS GEDL WANDRT AB, DI GUTEN LEUET GEHEN MIT, DIEMSHCIN WERDNE MABMTERET, DNAN KÖNNTE IRH IENMEURO CUBA KOMMUSMUS VEHUDERGN. Mit ren Ausldäschenfudne dei dfür sorgn daß ihr vonernem wengen noch al etas anluet abgeben üsst di her gar nicht gehgeörne. Dise Siposn folge mit demr eführten "GANS DUMMEN" die zmw evrs afdie PlüderungdesJuweligschäfts GEdlkettcen umdenhas treägt, also die is so wchteg daß sogar dei Suermektkette SPAR insötrich Geld zsuegslsgt hat um ien Wrebsot zu finzeren "ELLIE GOLDIG ESAY LOVER VEGGIE". MAn ist alsoauch imAusldn ofneriert üer die eprssugen aus BAd homburg und frankfurt a.M. Udn es geht um ein dschgaknallet Ex-Frau, das ist die Ex-frau user Miters aus de rliegscfat Kappesgasse BAd homurg Oebr -Erlenbach "Seegers" d ire kIdner inene prsskofreze von mri als judgerpametreir shcikte umzu bettelen freien mitanchlass und ne solanalage wiel dem Pluet HAnderker niemdn mehrvonden stdwerkens rom ligfern wollte. Auch ds eine Entegungdn Eprssung sienr kOkurreten udn füher n Gscäöfstaprer wie er üerbaus galubwürdige bahautet hat. Sihedie flge mit demr windradbei Flanders im Garten. Ich fnd das so wichteg daß ich SYBILEL BEGR vom ZDF üerdie ich im Germsistik Studium mit der versoffenen "Andrea Ressler" die liderb Gedl wusch ih ihre kneipe was machen sollte gebetn habe per Blog/scial mdi sw. dazu eun bruc zsu chben dessn Tiatl aute sollte GRiMMe PREIS (frü Rap msuk sendung von Jan Böhemmann udn Var Zannres Fudn Oli schulz, den Podcster vonSulz udn böhemramnn) udn brainfuck (Daß sie zur netzamfai gehören). Da sind (Rapper "POL1Z1STENSOHN") alles verhcer die eprssugsopfer wie mcih ausplüdern udKder enführen. Die opfer müssn dann die "Küstler" finazern um zu erfahn was mit ihren entührten naghörgenist. zahlt denen auchder GEZ keien ezgen müdne cent mehr. das ist Te4roismus-finazerung (ishe Hreahsune woe Entühung undzur zegnbeflussug beimsprgstffnshclag sattfidnet). Soviel zu den #simpsons. Matt Groenig ist glück-licherise neutral udn als zetugsatonnist inden usa (sihe die "krotat des zecher folgemit denhedhutern im AKW" prmienet genug daß die sich an ih nicht ehrtrauen, die ursn di eihn "zukafen" veruchen, ienr der autoren ist "BROOKS" wi der/die BROKKS Aus dem gshchctschben daß ich egstren egsendet habe. Jnete mistschülerin die inLond vercht hat den angclihen Merton Clan zu prssen (Polonium-Morde). Damit sie sie #berliNueKölln02407 erpsen Burn => Altegetüer Merton der Metllegselslft AG (Öloption skdale mit dsuche bak chef #HERRHAUSEN der veruchte imaufsichsrt der metllsgeslcft zupscuhen,siehe fim vom 01. udn 03. Okjtber 2024 inder ARD üerbdie Verstrickung von Dsuche Bank und eprssungd er Bascheristbschaffung bei Bdusvrabnd, das wäre dann die erpsserindie sich alsmien Mutter ausgabmzetelih zu Immobilen schneider skandal). Die Osblock Milträs aussrbinefakte auch agblich Kafveträg zu Scud Rakten aus dematgetum der NVA. (film #lordOfWar, siehe auch #SteelBuddies DMAS, oder #MorlcokMotors komt danochwas zu #Phatom jets die indie Türkei verkuft wurdn umKudnzu bomadriren?) Und zu desn sreiendie da finzert wrden sollten geörn neben der 3st #Kulturzet udn ihren Günstlingen wie meinm fühern Mistchüler "Christian Metz" aus der shcülsztugrdkation der bad homburger Humboldstchule auch die luet um LUSTZC SHCIGEL, ein Pseudonym für "SOndeKOmission SCHUTZ & SCHWEIGgeLd" am "Gericht, auf englisch COURT [wie tENNISpkatz] SCHImhALLE seedmwgewo das HERREHSUEN ataat staatfand. So sprchndie evrhcer sich ab, Lutz shcigelwollte das uaflösen indem er sich iensichern GEZ Finazertn Job im #Tatort Kirmiesri der ARD/dasrste asichrta als komssar, wie der PORFessor der frankfurter ludwig BÖRNEschule/platz JAN JOSEF LIEFREs : ALTEGTUSM KIMI (CUBAno) "VREhAU Der mann ohen schaden (dersihc sdlos haltenden kdpaper/vergewalziger der den jwuelnraub #babylohnBerlin kirmi scited relity anfsrtegn liße asl eprssbroschaft)". Das sind aller puschen schertkominele Sprgtsoffexcplsoion udn bärde legende Osblcok gerlscgftsapsctcik extrsisten Kommunisten die esnicht nur auf das altgetu Im Osten agashen haben sodenr uch die Eiegtusmwhug udn dslien häschen der dhcuen Klien/Spießbrüger plüdenr udn an ihre Frauensbtveriklichunsgkiatkslerrchte Smchorter-innen umevrteilenwollenda geld. "Polikerinen in die prodktion sattSlonoslcheismus" foere ichshconlange. Abriter mit dr doge Alohol abhögg machn ist keinJosb, anderea ressler doer Vra Zanner(geb Berger) ebsoweng wie "bde malen" uta rike. Wa sic her ghiege mch is unbzaht ermiterateiet auf dem niveo ens TV Josrasren oder Führstsben statswlts ode rpolizeoffiers. Gezugermaßen wieldiefaelnshcin slebstja nc tun id epr GEZ ode rbei Polizei udnJsut szergeldern dafür enthtwrden. Aber zurück zu DNISE SCHWITTALE (die hört auf anchdem sibeinem Cryto Währungshcneebslst reich gewordne ist? - DRM Straming Kabelfernsehe mit TREU CRIM FOLTER gerieretn Einanhemn - das crtyo ist das nicht lfflich zugägichamch welhrlevater udnkurrlevater infrmation verbotench artikl 5 GG wo sich Luet wie ich danndie pusdenr für asfshcitzne müssnmit enführten kindern für deren "reichtum)" und LUTZ SCHWEIGEL und #berliNueKölln02407/#berlinTgaUndncht (isghe de #bojackHorsean folge woe es umdarumeghstdaß er im Knast wo er zu rucht aldet gezgew ird Soaps anzsushene. Lust shcigel de rinder opa en ROCKER!!! Joe IT eienm KAMPFSSPORTCLUB!!! führ dersich im pendt köln50667 durch DROGEHANDEL finanziert genwie die asiatischer foodtruck/ GARSO BRCHNE /= GELDSÄCHE: hexenkessel usw. sihe auch dinder "Otto wamriber" nordkorea doku: der koch von "nordkorea diktator" "Kim jong ill",also dieser Lutz Scheigel ist wie (kozert-ticketamster) "Mike" ienser de rpesser desbegaub kozern "mtellegslslcft ag". Erblckert genau wie "Celcie shortmann" die az zet die Ermttlugen idnem sie kide rlüeg (vie vera znner [geb berger]. lügen erzählen lassen: sie udn nicht meine muter,men klien (halb-)brderucnd ich wäreg sgchädgt imzegshcutz als doppelgänegr, diese prssrband geriftsietahzetehen gedl ab,ordet udn plüdert, angfangen bei Aximilian bährg sie agclihe ien PatinKIND von LEGBART HUMDNRINK dems hcageräsnegr satt alther engelahrtd dem Jgsbsocnsgschsdrestaffefüher dun at diplomat, ds lügemäschendas Chistinakruer stafn shcubert asu derkiat weigartenstraeß in bad homburg orber erleebach in die wlet setzten, mkleinr tipp aus dem Umfldd vo VERA ZANER [ge begrer]s pätermehemann umfled: die sieprment pleiet wielsie Küster anhuert ohe sie bazhenlzu könensiehe "DNAGEROUS LAISIOSN"). Die zech zahlen solle dande rbührenzahelr der dieshcülerztung vrhctmit ienr riufmordkampgen gegen den baksiche4rhtsvrbdn gheld zu eprssen bezchtegt ... | |
|
14.12.2024 08:02 |
|
|
|
|
![]() | |
| [0] |
20241214-0802-0-1.jpg |
![]() | |
| [1] |
20241214-0802-0-2.jpg |
![]() | |
| [2] |
20241214-0802-0-3.jpg |
![]() | |
| [3] |
20241214-0802-0-4.jpg |
![]() | |
| [4] |
20241214-0802-0-5.jpg |
![]() | |
| [5] |
20241214-0802-0-6.jpg |
![]() | |
| [6] |
20241214-0802-0-7.jpg |
![]() | |
| [7] |
20241214-0802-0-8.jpg |
![]() | |
| [8] |
20241214-0802-0-9.jpg |
| ... leuet de rvegltgung fsch udn nsuchlägt imgegzug gegn geld die whhrit eür wiklicVergeltighugen, ( millons Schiegegeld haben die Blakn-MAfios ummial rakita kassiert hieß es vomBudpäsdialmat dmaitdie sche nicht zr aknale komt, d eghrörtshcinbar wi esihc herustelle als mien Vemiter mit zur shcülruztusgmafia di end Fim Shcont zu vrtaortenhat, genauwie de rkorruet Bull de rgelogen hat udnmeiMuter nachdem er dhsla begfertwurd eprssn wollte da er ien Job bimbaksicjhertsvebfd bekomt für rchzetrusmbshcung). "CRYPTO = BITCOIN = D.R.M. scütze KAbelTV Streaming- inhIhate = FOLER PRON!" Rotarsmsiten wllten zur tuuepnebusgtung dsucheFraun zu ebcmaprositution zwingene und Luetdiesei zu "neozais" erkärtn umrbgen. das ist die BITCOIN MAFIA dieevrlcuert wemdie Pr0n Ihalte imNatz ghören, wo Luet wieich vegreltigt udn gfoet werdne udndas dann an sdscthe eprservse osblok jdeekazf wtr d die rdüebr lache wielsi sich für dne holcaust an leuet rächen de damit nichst zu tun ahtten wiel ertanch 1945geboren. die mien wielman dsche gen hat habe man dnn wgendem holocasut kieanrcht aufsowas wieien ebre des elteahsue,de rklirügerlcih, mühsam anc de flcht idnen wetsnabbazhelt. ES IST EDIER SO PALÄSTINESR HABEN ZU 100% RECHT, NATJAHU DER JUDENPRÄSDNETE WRD VOM ISTGH DER UN JA PER HAFTBEFEHL GESUCHT! de rghröt zur der aszastrefn istvonden paraosan enjudnköig davidüerbegnetes alt-
eeigtum jduen-baumafia indensildungsbieten. daa geht es um nichst als Geld daß man mit grduüscen gelcih miteieahmn verdien kannw enn mandie egtüer vetreibt. Da ghte s darummit affegwlt mschne auswohnugen zw erdfen usid ann tere an die näcsht geration noch düememre veriten zu könendoe rveafen bis nch 50 jahrn widermit eien krieg die etgtusvrhältniss ugekehrt wrden. sieh GAZA Streifen, sihe Ostprussen, siehe DDR,die iegtnugen von Aktionären duchUmadlung in V.E.B. Staatseigetum und (keinürger) Bodenrform = KLEPTO-KRATIE ( udukriene OLIGRCHIE = Gewaltherrschaft die mit plüderugen (acuhvn rohstoffen) ihr geld verdient. #berliNueKölln02407 da sind #berlutagUndncht und #köln50667 auf RTL2 fizert sich duchsolch Erpressung. manbidlet utegrudnaremee vonausldäschen listesreischen Schälgenr aus (Aleksadra Rojic, Sportleher Civkovic) in den #FIGHT-CLUBS dnizert altegtüemrals nazis oder schlimmeres. Lust shcigels alsios Serigur Joe Möller will nahcdm man seinen Uterudneareme #FIGHTCLUB (gibt es imDavid ficher fi nicht ne szen wo sich ien agelich pschishc karker diepusdenruscslcitzzen muss? dasfället wie der film "BlumenVonGestern"unetr bekennervideo!) [also Joe möller will] wieder im wge GELDWÄCHE für dei RROGEN-mafia dsichtagcten "möllers" arbeiten. Udn de rVErcher "karim" der dem wirklchen Avter vom Kidn seiner neuen Mitshcülerin - Mitbewoherin das rcht strtegmcht sien sorgecht zu ebtargan idemdie Kinds-smuterden drüber in kennntis setzt daß er Vater ist des kidnes für as akrim aus mir nic erklärch Günden denersttppa spieln will, shcinbar geht es um geld das er vomrctge vtererpssnwll. Sihe derfal mitdem Kidn vonKärtes shcester,da sist imer das slsbe, die inde rgend herumeghurt habenden schmlampen/fotzen vehcigenw erd de riklche avter sit damit hre fmile den späer umbrgenkannudner DNAtest dann sieerb ebtaragen kann. Wäghrend sie mit dem mörder, dme neunfrund f*cken Kennt ihr das irhndowher? Ulrich Rossmann,Uta Riek, Andrea Ressler? Ganz einfach mal unter der website " https://bad-homburg.eu/download/0-flyer-3zs.pdf " Dan bagnn die ebefalls aus Eprssunsggldern,siehe ds perment herumelmetere,die jden dehn sundengadhanh ab wenwir nicht plaästsnrser udn araberfeindliche also astin-smistche propaganda machen finazert 3st Klurzetwelceh "PROFESSOR" christin metz seine "Uni FFM matallrgeir Lshsrtsuhl Stftugsprofessur" erdaknt. GEnau wie der Yuo-Spsorlher Civkovic (eine figur in den #simpsons) sich finanzierte ducheprsstes enetenst Geld, farensie mal JuwleirZues udndie metlsssfta geshcäfgtender mien richtgeneletren, nicht dien Zshcnschützern dne slbsreannetd ei shcals diese ausgeben. Der PEN Finzert ebenfslsl Luetdie kine Aufenthaltsrcht dindtschland haben, Asybetrüegr asu Geld vom Sterzahler. "Denis Yücel" ist eine Lügner der den Verein spalte udndie ehcten PEN migeldier bekomennum fürdie riklcih veolhgetnautorn kein Geldmehr sodner müssn spenden sammeln. wieldie asylbetrüegr den eriklcih evflgtenautorn wi ich ien bin das geld wgeferssen. Die angelchen "AUTHORS IN EXILE" hetzendabi diedshcte bevölkerung in krge anstat wi ich "FÜR FRIEDEN, GENE KRIEG" zu shcrben wie der Auterebvand PEN das auch will. Wir fuzren ausldäsche hetze die dneschen Stat kuttachte udndie autrne die usner iterssn vetren werdn zsugshclagen, gefoltert udn hungern dank der fremdstämmigen lügnerin. Wi eis die Dame aus mynamar eiegntllich an ihren Nobel-Pris gekomen?MYANMANR liegtgeau nebn demKECOM Bgererk inThailand da meinavter megte imDshcgel, zahriche flüchlige vondoertkaman als arbier ins dhcugelcmap, da könendie Gerd Udn Gityt pedall aus byreuth die gelogen als Zeugen befragen. Ode rheide ISmonis diemistrrdidteninvonShclesig osslteindiemit af dem Statsbscuh in Bagkokwa rmit dme bdusräsdneten dmasl. Die st mit meien Vater dnem eienm Bell UH1Dheli derroyal Thai Police von de shcne bsochaft in bagkok aus dahi gefloge wielsie ich für enticlusghife duchslbsthfe eiterserit mit meienm avterdamsls. beimsattsbsuch warencuh manager/vortsäder de rsuchenbak mit dabei. "Forsrte gums PENUst- die bank übrnimmt die rechnung". als der nicht sonderlich flgansgst bundespräsidente isn karkahsu msuste." die eplichkeit die esda nebn dem them stasbsuch vergetigung gab, die zuscvergen, gab es dfür das geld des von prinz harry und prinz williamd (den adliken poltrnier reitern prinzKing chrsl aus dmekurperk) aldvsrdschft verlihen NOBEL-prises? dank demdie autrina us myamar als opfer dgstellt wirddie die sttsuh vegrltigung vschigenaht währnd ich zsusgchalgen geflter gewürgte mehfch fast umagcbht wurd,udnmeinkdn dführt? DISE NUTTE KASIERTE MEIENE UDNMERIN MUTER D(IE HER NCHTWOHNTE) ETSCHCÄDIGUNGS-ZAHLUGEN AB DER BUDMARINE UDN STCKTE SIE IN REGDLCHE THAI MASSGA SALONS RIGS UMDIE ARAL TANSTELLE HIR AN DER EZB? Wähnd kirmienle udnbulenmichals iende rletzte evrbenden zgen zusmen mit dnekrrzten meidzienr umbrgenwollten? PFUI IHR VON GERELETGZUEGN LEBENDES ASIATSICHE GESINDEL! ICHALSS UCH ESERREN (DA SIT MR ACH EGAL OPB IHR ZU ITERPOL GEHÖRT)! Eich kannalso drbdusgreirung um Cludia roth nur belchten wennsie dmeasylbetrug dne han abdreht, wennirh iklich bobeprsguat shcibet dann verkauftihr chsicher genug bücer bei hugedubel,amazin und co. cihhab ja dfür gesgt da ess dem ebooks gibt woechkine unebaknnt autren im slsbstvrlag wusi deh rfolgrich werdne können abe rihre habt mir ja ndgeroht wir werdetmir diehäde brchen wenn ich lsbstshcibe ohen gelsctlcieh zesrzr, da psst die sprre der take-ca.re website wohl duch diegchäfstmcher vontikrok die hbauten mien bder sien ihr iegtum prima ins bild.Dann gaibg es im nächstenbeutrag dmait verbduen um das shcidnede vertrauen in die poltike udn diewährugshüter in west-erupa. das is agbcht. di wirklcih mach (da sbidnuter dnermich)muß suchtbar beliben, zu oft werdne wir angriffen indne letzetn 10jahren üer 10 mordnshclähge aufeienrson, entührte kdier, das ist rie bitetrerelität die die kurzet evrshcicget. ienphilsoph sprch üer "usichtbare mcht", das ist die macht derkomsistch sbaoteuer asu dem osblcok die schimmer als im absoltusms weo man dne könig köfen konnte inner revoltion wi de rvon 1789 wnne rhsißebaute z feieg ist sich zu zeigen. di e gener diedem land amssvs schaden, imegstaz zu mir der im intrnet überaus sichtbar st mit rtos udnshcften . osblcok dn balkam fnaios und italsichekommsten alais "camorrah". de rvetrausnevrlust indie deokartie würd im film sichtbar udndrliatrier. kla. ds zsgschen de errpssungen wei der film "wag the dog","primary colors", die hgze "hirhscäe" "fak newsporgada" der exil-russenasu Hollywood siehe "HAIL CESAR" oder "JKF TATORT DALLAS", "DER KRIEG DES CHARLIE WILSON" und "FORRST GUMP" / "SIMPSONS". DAduchdaß dei Ztegendie fakr news verbeiten wie damsldie Goebbesl proganda ode rdie stlin Propagda wird sie sch rzitiert, siehe eine mien rliblisgriman "1984" von "George Orwell" wo es um zastusg-Achiv-zersu geht. Ann frank floh isnauslnd, hete könet wiein "fahrheit 9/11" mit inem dfsretsch al ann frank tagbücjher auf ienmal vencht wrdne wie disne "ADOLF HILTER MEINKAPF" emxpalre die die allerten evrbannt haben nch dekrig "CLUB DR TOTEN DICHETR" artge wie die "komsncteischn Schulb-Büchr nach der Wende 1989. WER WAR DR TYP DER DRAF UAFWMRKSM GEMCHT HAT IMEMR WIEDER? ICH! Ichsteck auch hietr demfilm "Goodyey Lenin" der zegtw ie genau wie die Bücher der DDR Dkatur die Statuen der DDR Dikatur vschndn,ganu wiedielendasmls die sttauen vecnihetahbe der preußen hercher asu detschland. So ei die Amerikaner din Nübegr ds nazi-hankrus aus gebüden meisne lißen Es wrd zet dieevrcherband umdis shcülertung P.S. Post-scriptum die nichstals shciße prdizrthat indenkast zustecken dne sie lebt nur davon hruter daß ander gefolterredne udnsi bei Budäsdialamt Geld eprsst wird für GHSOTWERTER die dannluetn wi cistainMetz doe rflorin bcukmerihr abrent shciben. Damit shclsbst als Urner nicht slsbt an die Öflichkeit gehe aknn habn si mrinicht nurnagdrohtmridie Häde z brhcne, mich zu vegrlegteb udnzu vegtfen,meinKidnzuenführen,si habn das auch- für jend nchprüfbar - gtna. Eur GEZ medin sid ndie verbrecher. Di reriusng shcolz die dcuhLüge dn diemcht kam wi die von macorn (MARCONI TLEECOM),si all müssen zurück-treten. Ds sind Puschistendie einstatskis inwetsuropa ausglöst haben udndie gener emrodet,sow ei man es vonsslisten kennt. Wlcgnag beckerbekm "JUREK BECKERS Jakob der Lügner in die hand gedückt" desn Erzählidee r koperite. genau wie berchst "kreidkreis" gschteaus de bibel kopiert (SALOMO, die FSLCHEN,alten eltren müssen das Kidn das eien genefmilegrüden will ziehen lassen udmsennnesn fmilenglück anders als dieevrhcnfmile Riek nicht zu zerstören, da gahtesnichtuAdoption ihr penner, das ist wasse ruf diemühlend katrholiken de sgen mit der exegse - de richtegnauslgung von txt sollten fachleute sat lainprdigenrdie dars ian adopticht ableietn betraut wrden her istnälich daverchendes der adoptions udn kinderhnadel der kichen-kita.krchbrcher verschriftlicht). ic hofe "JUREK BECKER" hat viel efolg taniemen bei "WELFANGBECKER" eizukalgen. Dann ging es umd den TV Krimi "finstere macht" inde #rklurzet es ging um ien LÜGNERIN IMUEZSCHUSTZ id den Mord an 8 menschn veruchte, dasid ie Figr des kides der Fmileie "Seegrs" aus de "kappsgasse - bad Homburg Ober-ELebch" udnernepliet mietrn udn on "vera Zanner (geb Bger) wigartestraße, bad homburg Obr-LEbach, ischne ZSgweeg in Bad Homburg Kirdfr" angelcih. Die Frauen habn so lang glogne udnamit Vr zanner (geb begrs) vatr ienm Rote amree Offzer gefoheld di sttaführung z prssen zusmen mit de r balkan mafai Fmilei "ra-kita" mien evrmitern dieich als "altegusm-Koflikt shcichter" aufspilenwollten. Man sollte cuhmalmit dr Mafia der "Tiktoks hallowen" Bestatter ov rgndlche "rocky Horror" musicals. Alle Künstler die geld eprssn wollen mite iner Galwat- und Sdismusgeileen SNSTAIONSGEILEN GAFFER- Zuschauerschaft. NICHTS IST OKAY IM ZEUGENSCHUTZ! C***KOVI/NIKC/ZANNER[geb Brger)ALLE SLÜGER DIE SCHERST STRAFATEN BEGINGEN, RCH FÜR VERHCN DIE ES GARNICH GGEBEN HAT (frag sie dr.m aximilian wganer, jursit aus bad homburg zu sinem 3sat tdisstrafen expsiment mit fraz ferdiend von shcirach) Dn kam de rjdue "grssmann" fisre ist die eizge Option, ds ist bullshit, ggen vwgerletger udn mörder wrice rch.scüchtegn judne muss man vogehen, sie aus dem land erfen in irhe israle, da bn ich mit dne plkaästsnder einer meinung. ese frliche koexistenzn von juden-kommsusten udn wetsuroeren kann es nich mehr geben.es its vel uzi viele rcihtes, echtss blug geflossen udndie hörne auch nicht auf sodnr habe idnenr vagne 20 ajrhbisnedaß sie wuetr udnweitr machen. di evrcer hab mienkdn entührt,michvefte udnevgrleigt. udnsollen jet safarei ausgehen? NEIN! d wa rniocht imkreg sodern mite indriosfszet daß dei das dsuch volk anggrifn haben. Grosmmann wollte dne shcten sagen irhe "offzilens geschcten" sien proganda er whab mit dne mientren egtenenhabenden kommsitenakiert udn füchte nu brperkeig udndaßer emrodet wird wenndasruskommt. DAS WIRD RUKOMEN UDNDANNSIDN LUET WIE GROSSMANN TOT DA SARTER ICH. PLÜDER UDN VEGRLETGER. DAs istdas neu Synomy für desblock Juden. HEss hate zu 100% Recht udnist bis zu sienm Tod in der shc imeraufchtgebeliben her steh ichund kann.... | |
|
14.12.2024 08:03 |
|
|
|
|
![]() | |
| [0] |
20241214-0803-0-1.jpg |
|
... nicht anderswieluther. Dann kam ien groeß bshcidtrnue, lde rnict von GAsterin "shstaa Ewa" sodner sttdens von"mosses Plaham"der ganu bshcid weß wie "Xavir nadio", de rrhcbürger über da was dei vhrband mri nagetan hat. Di bshckappistasuverkauft, "öderlshm, das ist die "S5", aanlog zumAubaue der "U2" wo der Trcik-betreer sohn von ien Babdmigtidl seine Security los-schickte um zu habaten "sohn von Engelbart" wielsichdie "Schllplatenaus dem Presswerk Bad Hombugr ober-Erlenbach" nebn apuis ncht evrkauftwnwltedie küsntler ach dort geld haben. Auch "MILLI VANILLI" enetranteman ja irgendwann als einene fake, "frank Farian" wohnt ja im Hochautaunus. ICh sitze also die ganz Zte dn der qlle. udn binienr vongaz weniegde die whhitkene udnshciben wärnd die GZE LÜGEPRssen auchshciße rzählt.ID Ministr-präsdntenhabne tchdien, eswirdkein neus gedfür dei GEZ Abofallen Fake-news mfia (RAdio "nue asu der" GAGA" Anatalt geben). ZU gro sidndie shcädn nich duchukaren fal out aber duch RADIO- und TV HETZ-AUSSTRAHLUNG. | |
|
14.12.2024 15:00 |
|
|
|
|
![]() | |
| [0] |
20241214-1500-0-1.jpg |
![]() | |
| [1] |
20241214-1500-0-2.jpg |
![]() | |
| [2] |
20241214-1500-0-3.jpg |
![]() | |
| [3] |
20241214-1500-0-4.jpg |
![]() | |
| [4] |
20241214-1500-0-5.jpg |
![]() | |
| [5] |
20241214-1500-0-6.jpg |
![]() | |
| [6] |
20241214-1500-0-7.jpg |
![]() | |
| [7] |
20241214-1500-0-8.jpg |
![]() | |
| [8] |
20241214-1500-0-9.jpg |
|
14.12.2024 15:01 |
|
|
|
|
![]() | |
| [0] |
20241214-1501-0-1.jpg |
![]() | |
| [1] |
20241214-1501-0-2.jpg |
![]() | |
| [2] |
20241214-1501-0-3.jpg |
![]() | |
| [3] |
20241214-1501-0-4.jpg |
![]() | |
| [4] |
20241214-1501-0-5.jpg |
![]() | |
| [5] |
20241214-1501-0-6.jpg |
![]() | |
| [6] |
20241214-1501-0-7.jpg |
![]() | |
| [7] |
20241214-1501-0-8.jpg |
![]() | |
| [8] |
20241214-1501-0-9.jpg |
|
14.12.2024 15:02 |
|
|
|
|
![]() | |
| [0] |
20241214-1502-0-1.jpg |
![]() | |
| [1] |
20241214-1502-0-2.jpg |
![]() | |
| [2] |
20241214-1502-0-3.jpg |
![]() | |
| [3] |
20241214-1502-0-4.jpg |
![]() | |
| [4] |
20241214-1502-0-5.jpg |
![]() | |
| [5] |
20241214-1502-0-6.jpg |
![]() | |
| [6] |
20241214-1502-0-7.jpg |
![]() | |
| [7] |
20241214-1502-0-8.jpg |
![]() | |
| [8] |
20241214-1502-0-9.jpg |
|
14.12.2024 15:03 |
|
|
|
|
![]() | |
| [0] |
20241214-1503-0-1.jpg |
|
14.12.2024 15:34 |
|
|
|
|
|
14.12.2024 20:30 |
|
|
|
|
![]() | |
| [0] |
20241214-2030-0-1.jpg |
![]() | |
| [1] |
20241214-2030-0-2.jpg |
![]() | |
| [2] |
20241214-2030-0-3.jpg |
![]() | |
| [3] |
20241214-2030-0-4.jpg |
![]() | |
| [4] |
20241214-2030-0-5.jpg |
| Beihilfe/Begünstigung RAF–TERROR per Postunterschlagung Kursmanipulationen/erpresserischer Menschenraub/Straf-vereitelung, Gefangenenbefreiung, Zeugen-Medizinvergiftung/Vergewaltigung
Maximilian Baehring Hoelderlinstrasse 4 D-60316 Frankfurt/M per Fax: +49/(0)611/327618402 Amtsgericht Gerichtsstraße 2 D - 60313 Frankfurt a.M. Im Internet findet sich unter der URL http://banktunnel.eu/pdf.php und URL http://blog.sch-einesystem.de/ mein ausgedruckt fast 30.750 DIN-A4 Seiten umfassendes Internet Tagebuch / Blog, als Offline Version downloadbar unter http://*** /***/ als ISO-Image (brennbar auf DVD) mit tagesaktuellen ZIP-Archiv Ergänzungen Neu: https://www.tiktok.com/@maximilianbaehring/ Frankfurt a. M., den 14. Dezember 2024 Einschreiben RR665221594DE 13. Dezember 2024, 13:59 Uhr Fax an +49/(0)611/32761-8402 Aufforderung der umgehenden Zusedung Antragsfromulare für Prozesskostenhilfe für Einlegung des Widerspruchs-Rechtsmittels einer „Beschwerde“ ans LG Frankfurt /M. Gerichtsstraße 2, 60313 Frankfurt/M und ans AG Hahnstraße 28, 60528 Frankfurt/M: Einschreiben RR577576932DE, 12. Dezember 2024, 18:28 Uhr vorab Fax +49/(0)611/32761-8402 Aktenzeichen 28098 C 360/24 des Amtsgerichts Frankfurt a. M. Klag-schrift erhalten per Zustellung am 18. Oktober 2024 Begleitschreiben datiert auf 04. September 2024 Beschluss vom 04., ausgestellt am 08. November zu Fristverlägerung bis 06. Dezember 2024 nebst Begleitschreiben datiert auf 04. November förmlich zugestellt 12. November 2024 Beschluss vom 05., ausgestellt am 10. Dezember 2024 zu Ablehnung Befnagenheitsantrag und nebst Begleitschreiben 10. Dezember 2024, förmlich zugestellt 12. Dezember 2024 2 Blatt, gesamt 3 Seiten, davon Blatt 1 das Bgelcishcben nur vorderseitig bedruckt und Blatt 2, der „Beschluss“ vorder und rückseiti (Rechtsbehelsfbeleherung) bedruckt mein Einschreiben RR577575870DE 03. Dezember 2024, 10:40 Uhr Fax an +49/(0)611/32761-8402 mein Einschreiben RR577573556DE 14. November 2024, 13:11 Uhr Fax an +49/(0)611/32761-8402 STRAFANZEIGE WEGEN AMTSANMASSUNG/AMSTMISSBRUCH, STRAFVEREITELUNG (IM AMT), BEIHILFE UND BEGÜNSTIGUNG VON SPRRNGSTOFFNSHCLÄGEN, MORD, KIDNAPPING SOWIE VERGELATIGUNG ([1] 30. Oktober 2024 Einschreiben RR577571674DE an Gerichtsstaße 2, 60313 Frankfurt a.M. Oktober 2024 ca. 12:12 Uhr Fax, 3 (in Worten: ddrei) Seiten an +49/(0)69/1367-6301 24. Oktober 2024 ca. 14:51 Uhr Fax, 10 (in Worten: zehn) Seiten an +49/(0)69/1367-6301 Sehr geehrte Damen und Herren! Ich bin emört und verwundert wie sie mit dem Gld der strezahler um sich werfen! Am 12. Dezember 2024 erhielt ich eine „förmliche Zustellung“ die ich umgehend beatwortet habe, der Umfang lag bei 3 siten, bgslcichrebn datiert auf dem 10. zu einem Beschluss zum ersten Teil meines noch nicht vollständig eingereicht worden euzrchen gennoden aber noch nicht könnenden Ablehungsantrags vom 03. vom 04. Dezember 2024 ausgefertigt wie das Begleitschreiben am 10. Dezember 2024. Sie haben also am 10. Dezember 2024 Post vschickt udndie ist am 12.Dezber 2024 förmlich zugsetllt worden. Als ich nicn am heutigen 14. Dezember 2024 in mien Brifekasten sehe finde ich da shcon wieder eine Fömloic Zsutellung, schreiben vom Amtsgericht in Frankfurt a.M., Hahnstraße 25, D-60528 Frankfurt a.M. Auf dem briefumschlag der förmlichen sztellung ist der 14. Dezember 2024 vermerkt. Als ichdenusmchag offne shee ich dasß es sich um eie begleitschrben mit Bitte umstellungnahme zu zahlreichen losen Zetteln handelt, mit vom ASB Arbeiter Samariter Bund assgteleten Rechnugen, andere von der Inkasso Firma „debitserv“ hierzu und meine Erwiderungen von Schreiben diser Firma sowie mein Schreiben an die Aufsichtsbehörde der Firma „debitsrev“ das Oberldnegericht, teils sidndie Schreiben „gephotshopt“, aif Ihne ist teiwes „ANLAGE K9, K10, K11 (zwsetge) , dann mit fehlender anlage K12 folgt eine K12a, dann weitere zwo Seiten ohne vermerk daß sie Anlage sind und dann K12b (doppelseitig), dan ein von außen und (innen -aufgtrennt)er Briefumschlag ein Einwurf-eishcibens datiret 31. Juli 2024 RR 15 266 450 2DE 200 (dopelseitig mit K13a „Photoshop bestempelt“) zu vier-seitegr Klageerwidrung der Anwältin Bazina_Savicd atert auf 19. Noveber 2024. Dasw aundrt mich dosh sher, wieso gaclih zwo unterschiedlich Briefe vom sleb Tag vonden der eien am 12. , d rander aber erst zwt Tag späetr am14. Dzeber 2024 eieght und sic herhsstellt da0 an mir post vom 19. Novere 2024 vorhatleten hat auf die ich längst das rhct gehabt hätet rrageieren zu drüfen? Warumhat man die Schreiben nich einfach aneianndergetackert so daß ersichlich sit was wozu gehört und sie dann zusammmen veschickt? Da skoste wider potegbürhen die ema den die genseit tragn muß abe rich muß so zwo mal antworten und fr die portokosten in vorlsitun treten, satt ienal alels was am 10. Dezber 2024 war gsammt ineiems chben betarrten zu können. Si evrushcne mird e rkaum geld hat zustätlich Kosten. Ich muß ja zur beantwortung von zw Brifne stat einem in volristung terten. Das ist fürmein Alhnunsgtrag von erhelicher Bedeutung: Es wist nch daß die Vrfahsnfühungdes mastgsichts gaz pffnslcih mehr als hsmclpig sit, genju wi ich ebhate habe une liefert eien weitren Ablehungrund des richetrs den man mir dreist im sineniens „versätte vorbrigens“ verschwiegen hat. Jezt werde ich aber richtg sauer. Wi ekann es dennsien daß es ein „klerwterung“ gibt vom 19. Novembr 2024, das ist vier (in Worten: vier)! Wochen her. Soll etwa diese tröpfchenweise „Slamitaktike“ herusrücken mit „der Wahrheit“ mit zum Nachteil gereichen? Wie sie wissn geht es da um Krnkwgnsiätzen die bedigt werdne daduch daß ich in den Selbstmord doer Whnsinn getrebn werde nsoll: „Psychoterror“ der Methode hat. Ch soll mich aus veriflung üer die nichtfukirenrdnen Gerichte und dngehdohten Vollstrkcusgmaßnahmen umbrigen, mehrfch hat man mien Tür egetrten und mienwohug getsürmt mit SKS, mich katrkahausrif zusammengeschlagen und im Krarkenjaus dann scherst misshdlet und medikamenten-vegftte. Ich hate gegn merh Polisten ausgsgat, Jusrtendu Mdizinr die ein Kartelegebidet ahten um Alte leute die Ansrüche auf rücküergenug irhe dch Stalin ode rhiter entgenetn altgetums stellen wollten gezilt in Shaten winsisn und fürrr ekrlären wollte damnit dann ihre algtumsanspüche bei iene ebflls zum Kartell gehrödenden antl der si als Amstvomudn betreut bestnfslls shcibar, in whhicht mich sbcuh „zudällig verloren gehen“. Aus demslbsn Gudn hat macn ach Bajier Afred herrahsuen indie lgftgesregt inimern Heistadt Bad Homburg., wil er Altegtusmrücküberigusgansrüche etww zsumen mit demImmobiolienvstor Schneider beaktaus „peanuts – die Bank zahlt alles“ vorfinazeirn wlltench der widevreigung. Ichwar dasml in der zeitung udh Politik, (auch EDV Programmerer) meien Mutter beim Bankebsicherheistverband. ALS RACHEAKT DAFÜR DASS NETGENET ALTEGTEMR DIE STALIN/STASI-GENOSEN VOR DIE TÜR STZEN un ZAGSVOLLSTRCKENWÜRDN WOLLTE MAN AN MIR EIN EXEMPEL STATUIEREN. DHER AUCHDIE OSBLOCK STÄMMIGE ANWÄLTIN nch demmotto: die altegtüer mchen den Partei- appasrchicks der DDR-Dikatur so wien whnsinngen Druck daß die wie etwa die von der Sowjetarmee heimatverterben osterussen obdchalos zu werden fürchten mssten. Aus rchefür meinausge vergeltge man mir frihebsrbaut udnuter doge gestt ein Kind in due erbine mit den entührung man michsitedm epresset,veuchte dann mich indenszid zu hetzen idnemman fmilenmitgidenr von mir vetümmelugandohte die ich nicht ehr erreichte nchdic udnsi mienregausge gen korruet Beta wgen in zeugen-chsuturpghramm wanderten be mri kam mien abrit imschheistkrischneEDV beichde der Finanzbranche hinzu sowei die bdorht wordn siend Miltärs in meiner Lufshart-industrie Familie. Man hat als verucht mich zu zwnge mir di epusldenr aufzu-schlitzenvor laufdner webcam udnas wolteman dann vor gricht erichen als ebris dfür daß es einslstmrdwar,die hichtung duch emalig Offizere der NVA/VoPO Volksarmee angrodnet duch Russne und Osblock Milärs und Diplaten die nebe ir auch Treuhandchef Rohwedder und Bankeir herrahsuen zu ermoden veucht haben weidie es wgate Alteigentum daß die rote arme enetgenet hate zurückzuodern. Erst getsrn hab ich deshlkb gshciben daß die total unsinnig und parteiisch Verfahrens-führung wo sie fester auf jemdn „ienrügeldn“ der duch Polizie-brutalität asl Rchakt für eien Strafazge gegen poslsizetn zuum Rechtschreib Ibalidne wurde als hemlger geristikstudent mutmaßlich duch Medikamenten-vergfitung, also daß ichdeneidruck hab man fürhrt das verfah absichlich so schmaping um mich damit inien Suzidveruche zu nötgen, mich de rals latnt zszidal gilt per aus den grichtakten erstchtlciehr digansoe von Dr.Dommer vom Stadt-gesundshsitamt. Das ist ja regercht wie FLTER was sie da mit mir machen de rbevlich soeri sochn „am Ende“ siener kräfte ist. Ich bines geowhnt rssistsch bdlidgt wzu wrden, oftamsl war mei agboren spstsche Lähmung di erfolrgch wgetrepaert wurde Grudn für streitig-kietn in meiner kind-heit. Ich drüf nicht mistpiel wiel ichncht so gut tanzen könen wie Vera Zanner (eb Berge) di enicht gelenkig ist idner shcule usw. gerade als ich ihren Brief erhalet ahbe wurd eich eneut Opfe bhdertenfdlciher beleidgungdie ich mit der Handy-akera aufegnomenhabe. https://www.tiktok.com/@maximilianbaehring/video/7448287693538184470 https://banktunnel.eu/spasti.mp4 https://zentral-bank.eu/spasti.mp4 Zgeleich hatman evucht eisn der backups Syteme dies Blosgdas ich führe um dzu dkomateen ieide bhördn mi tmir als opfer umgehen azugreifen, getsren dunheute enreut. Di herrahsuen Teroisten mit dne ich als Zteugsrdkterue und Bankem-sichistmitarbietrkidn zu tun hate verche beismittela su dem ntz zu bekomen gensich udndie korruten Ihne gehoflen habenden poliszten. Wie ich mehrfch seit 2013 werd eich stark angefeindet auf offenr straße wennichdas haus verlsse. Ic hab ansgt zum Brfaksten zu gehen, erfahr imer wider das meine egehende Postnichtankomtm, etwa daduch daß Wahlbenachrichtigunhspostkarten fehlen. Gwen meinr Polschen arbeit woe ich manchmal auch bei amnsty „Igrne atction“ Aktioenmitche udnmcih für poslsich genafe sietze hat Barak Obama meinwhnugstrmenudn ahsuschdhcne lassne wielich Haftsbedgugen vonGuanatanaom bay Häflingen nagrkeidt hate per fasax andas hotel indem erinHannvoer abstge bei einm Dsuchaldnsbcuh. Sietndemeürcht sine leibarged meintelfon, dn egrichtschlssu zege ichihen gerne. Ich bninahc im „Datenschutz“ aktiv, nahe der Piratnpartei. https://www.fnp.de/frankfurt/frankfurter-netzaktivist-legt-sich-10753211.html Daher könetman a vermuetn daß di terorermitter von Obama die mich wgen Guanamo bay aufder shczernlist e haben ihre post verzögern abernein, da sligt darandaß sie an ein udm demslsbn tag zwo brfsndungenbvschcicken die dnn zar zetvesrtzt ankomen aber imerhin lag de feher dismalnicht bei der Post. Auf Seite 3 ihre shcibens veriste die anöltin Savic auf eine „Anlage K12“, ih habe wzar ein „Anlage K12a“ erhalte und eien „Anlaage K12b“ aberien „Anlage 12“ (ohne „a“ odr „b“ dahinter) gibt es nicht im Briefe. Auch die „Anlage K13“ (ohne ein „a“ dahtiner) von der Sie spricht gibt es nicht. Stattdessen nur den mit „Anlage k13a“ bszchneten briefusmchalg ds ist die kope de rückseite. ICH HABE MEHRFH DARAF AUFMERKSM GSCHT DASS AUFDISE ART UND WISE IM VARFAHNR MANIPULIERT WURDE. Man hat mr sogr iensfches shcibenvoiemandenr rsttsusgngssiatz iens andern mannes aus offnbch mit udter die Post gejubelt. DHEITER SETCKT METHODE. Dhar stellt ich ja ablhaugsantrag d erbaghentwurde bvr ich ihn zuende begründne drufte. Dai ist berist die begonen begrüdeung de ihen vorlige abslut ausreichend damitder ichererennen kann das v erfheldne Begrüdung die er angibt nict die rede sine kann. Ahc da dräcgts ichder drcht auf als wären Shcftstsücke idnee shcgästele ausgtssuchtwrden. Undich hab erkannt daß ein ehemige msishcüer nde rienfmilienmitgedn vo irh aufdiser sghcäfstslle arebite udnas zur azge ebrcht. Ich list auf was sich erhalten habe, isngesamt 27 Seiten auf 17 Blatt. Blatt 1 (1/27): Begleitschreiben Stellungnahme 28098 C 360/24 12. Dezember 2024 Blatt 2, Vorderseite (2/27): Klageerweiterung Anwältin Savic 19. November 2024 Blatt 2, Rückseite (3/27): Seite 2 von 4 zuvor bezeichnetes Anwalts-Schreiben Blatt 3, Vorderseite (4/27): Seite 3 von 4 zuvor bezeichnetes Anwalts-Schreiben Blatt 3, Rückseite (5/27): Seite 4 von 4 zuvor bezeichnetes Anwalts-Schreiben Blatt 4, (6/27): Rechnung „212320512“ ASB vom 01. Februar 2024 „Anlage K9“ Blatt 5, (7/27): Zettel Verordung Beföderung vom 24. Dezember 2023 „Anlage K10“ Blatt 6, Vorderseite (8/27): Mahnung „212320512“ ASB 24. April 2024 „Anlage K11“ Blatt 6, Rückseite (9/27): Seie 2 von 2 der Mahnung ASB vom 24. April 2024 Blatt 7, Vorderseite(10/27): Inkassobrief debitserv 12. Juli 2024 „Anlage K12a“ Blatt 7, Rückseite (11/27): Seite 2 von 4 Inkassobrief debitserv (mit „Login“) Blatt 8, (12/27): Seite 3 von 4 selber(?) Inkassobrief Info „Aufsichtsbehörde“ Blatt 9, (13/27): Seite 4 von 4 selber(?) Inkassobrief „Foderunsgausfstellung“ Blatt 10, Vordereite (14/27): Inkassobrief debitserv 31. Juli 2024 „Anlage K12b“ Blatt 10, Rückseite (15/27): Seite 2 von 3 Inkassobrief debitserv [ ... ] [ ... ] Blatt 11, (16/27): Seite 3 von 3 Inkassobrief debitserv „Foderunsgausfstellung“ Blatt 12, Vorderseite (17/27): umschlag Einschben RR152666 450 2DE „Anlage K13a“ Blatt 12, Rückseite (18/27): umschlag Eischriben (aufgetrennt, die Innenseite) Blatt 13, Vorderseite (19/27): Mein Schreiben an debitserv vom 31. Juli 2024 Blatt 13, Rückseite (20/27): Seite 2 von 2 des zuvor bezeichneten Schreibens Blatt 14, (21/27): Mein weiters Schreiben an debitserv vom 16. Juli 2024 (zu:) Blatt 13, Vorderseite (22/27): Schreiben an Aufschstbhrde OLG vom 16. Juli 2024 Blatt 13, Rückseite (23/27): Seite 2 von 5 des zuvor bezeichneten Schreibens Blatt 13, Vorderseite (24/27): Seite 3 von 5 des zuvor bezeichneten Schreibens Blatt 13, Rückseite (25/27): Seite 4 von 5 des zuvor bezeichneten Schreibens Blatt 13, Rückseite (26/27): Seite 5 von 5 des zuvor bezeichneten Schreibens Blatt 14, (27/27): EDV-Prüfvermerke Abagabe ansltpsostfach 21. Noveber 2024 Wie sie wissn bin ich indr EDV im Hochsicherstebricht der finanzbranche tätig gwesen und kann daher von meinen maschien aus nicht auf möglicherise viren-verseuchte systeme („bundestrijener“ dritetr dritte wie srevr von debsitserv ode rlegtrscihe ansospost-gerchtfächer zugreifen. Anhand der Namen der PDF Dtaien auf dem letzten baltt sehen sie aber daß esnur die alagen „anlage_dreizehn_a“, „anlage_dreizehn_b“, „anlage_elf“, „anlage_neun“, „anlage_zehn“ sowiee die „anlage_züölf_a“ du „anlage_zwölf_b“, gibt z ienmshcibeds uterden manem „Klagerwiterung an das Amtsgeruicht Frankfurt a.“ (...m Main ?) mit eingereicht wurden. MD5 oder SHA1 ode rählcihs prüfsummen der dtaiendoer sowas fehlen, ledigelich ein Nchsichtenkezezchen gbt es udndan istda noch ne XML datei mit dem Titel “x_ustiznchchct“ zusätzlchz u den PDFS von der ich gern wüsste was die enthält, ie gehsie sbsrch zsuchen richter und aklägernwältin? XML kannalles beinhalten udnbei den PDFS siht man ich nich wie viel Seiten das waren. Da könnt man nachträlglich ganz eifch maniapulieren später. Bevor ich mich inhaltlcih zudemshciben vom 19.Nveber 2024 Schree eielasse, ich werde dazu einwetre schreuben verfassen müssen wiel mir heuet diezet nicht mehr ausreicht es zur post ishcieban ananhmetslle zu bringen heute und ich es zur abwendung eventueller bruatslster gewlat volldtrickumgdrohung wie türen ein-trten und akteoedner besclagnahmen seitsn des inakssobüros auf end fll zunächstmal iegagsbstätgnw ollte udndiefrsit von viere wochen ab heute es zu beantworten, als bis zu Mitte Januar 2025, eich wilda missvsrstäniss enstehn könet wenndie naältinSavicv es shcon am 19. Novembere 2204 ansie gschickthat hschlich de rmir sgtzetna Antwortfrist von vier wochen icwieß ja nich wannsi ihr gschiben haben daß sie mri 4 wochenfist eirämeten.Ncht da die denkt wennich bis zum 19. Dzeber 2024 das istin iegen Tage nich getworte haekannsiemri die brutaleshclägegraggag auf den hals hetzen die schinabr auch vor duchihr ausglöstem (Selbst?-)mrod als mitel de reiterbug shciar säerzahlugen nicht zrückschrcekt. Füher gab esmal sowas wi dne Wichnchsfredn im Vollstrckungsrecht. Ic rate ihen mal ienBlik aufmein Blog zu werfen mit Dmetum 24. Dezember 2014. Vor 10 Haren. Damitdas nicht verjährt. Udwi eman mich am 24. Dezember 2024 unnötg indei Uni Klinikbefdler hat. Nchdem manmir massive shcnerze zgefpgt hat. Duch Polizebetae. Erneut,wide reinRcheaket. Darum geht es ja geninder Rechungdes ASB di r dch VORPRUESSUALES eischlteeisnIkassobürso uaf üer das dopplet agschwollensit. Ist das rchmäßg erlabt? Zudme hat die nwältin Savic di cih als Freundin mienr Ex.Freudnin zu kennen mien de rvom Baksicheristvrband vom Namen her ja auch noch die Unvschämtheit ebssens vogrchliche kosten inHöe von127,98 z zahlen. Ic higen beleib augfmeinvorzessualensoten jedsmal sitzen owhel ichkar udndetslciherekennabr de rshcächer part bin, dankmedikamentvegfitung und verpügel wordn sienduchdie Polzei und hdsgtersk isnchen Bhdiert. Eieglich brächteich ein anlt, nicht die gesudne z Uchte Rchne für Folter exprment ieklagenden ASB Sanitäer dieis cr meinausge üer medizinkorrtion rächen. Ichwerde wietern Schvortrag zu dieser Sacheelsiten, das hie rist bestfalsl ienklienr vorgschmack. Ich wd dafür sogrnd aß die „klärger“ dn egrichtssl inHdlschlelnrictung JVA verlssne, § 158 StPO gibt mir die möglichkeit die anzugen wegen betrugs beim Amtsgrricht noch währnd der vargdlunso weiß ich. -------- Nachricht -------- Betreff: Faxversand an 0611327618402 war erfolgreich Datum: Sat, 14 Dec 2024 19:33:44 +0000 (UTC) Von: Fax <noreply_fax@> An: maximilian.baehring@ Web2Fax Faxversand an 0611327618402 war erfolgreich Guten Tag, folgendes Fax wurde erfolgreich zugestellt: Ihre Fax-Rufnummer: 00496924749613 Ihre Faxkennung: Maximilian-Baehring Empfänger: 0611327618402 Zeitpunkt: Sat, 14 Dec 2024 20:33:44 +0100 Seiten: 4 Eine Kopie des Faxes finden Sie im Anhang. Wir danken Ihnen dafür, dass Sie unseren Service genutzt haben. | |
|
15.12.2024 15:30 |
|
|
|
|
![]() | |
| [0] |
20241215-1530-0-1.jpg |
![]() | |
| [1] |
20241215-1530-0-2.jpg |
![]() | |
| [2] |
20241215-1530-0-3.jpg |
![]() | |
| [3] |
20241215-1530-0-4.jpg |
![]() | |
| [4] |
20241215-1530-0-5.jpg |
![]() | |
| [5] |
20241215-1530-0-6.jpg |
![]() | |
| [6] |
20241215-1530-0-7.jpg |
| Beihilfe/Begünstigung RAF–TERROR per Postunterschlagung Kursmanipulationen/erpresserischer Menschenraub/Straf-vereitelung, Gefangenenbefreiung, Zeugen-Medizinvergiftung/Vergewaltigung
Maximilian Baehring Hoelderlinstrasse 4 D-60316 Frankfurt/M per Fax: +49/(0)611/327618402 Amtsgericht Gerichtsstraße 2 D - 60313 Frankfurt a.M. Im Internet findet sich unter der URL http://banktunnel.eu/pdf.php und URL http://blog.sch-einesystem.de/ mein ausgedruckt fast 30.750 DIN-A4 Seiten umfassendes Internet Tagebuch / Blog, als Offline Version downloadbar unter http://*** /***/ als ISO-Image (brennbar auf DVD) mit tagesaktuellen ZIP-Archiv Ergänzungen Frankfurt a. M., den 15. Dezember 2024 Einschreiben RR665221594DE 13. Dezember 2024, 13:59 Uhr Fax an +49/(0)611/32761-8402 Aufforderung der umgehenden Zusedung Antragsfromulare für Prozesskostenhilfe für Einlegung des Widerspruchs-Rechtsmittels einer „Beschwerde“ ans LG Frankfurt /M. Gerichtsstraße 2, 60313 Frankfurt/M und ans AG Hahnstraße 28, 60528 Frankfurt/M: Einschreiben RR577576932DE, 12. Dezember 2024, 18:28 Uhr vorab Fax +49/(0)611/32761-8402 Aktenzeichen 28098 C 360/24 des Amtsgerichts Frankfurt a. M. Klag-schrift erhalten per Zustellung am 18. Oktober 2024 Begleitschreiben datiert auf 04. September 2024 Beschluss vom 04., ausgestellt am 08. November zu Fristverlägerung bis 06. Dezember 2024 nebst Begleitschreiben datiert auf 04. November förmlich zugestellt 12. November 2024 Beschluss vom 05., ausgestellt am 10. Dezember 2024 zu Ablehnung Befnagenheitsantrag und nebst Begleitschreiben 10. Dezember 2024, förmlich zugestellt 12. Dezember 2024 2 Blatt, gesamt 3 Seiten, davon Blatt 1 das Bgelcishcben nur vorderseitig bedruckt und Blatt 2, der „Beschluss“ vorder und rückseiti (Rechtsbehelsfbeleherung) bedruckt mein Einschreiben RR577575870DE 03. Dezember 2024, 10:40 Uhr Fax an +49/(0)611/32761-8402 mein Einschreiben RR577573556DE 14. November 2024, 13:11 Uhr Fax an +49/(0)611/32761-8402 STRAFANZEIGE WEGEN AMTSANMASSUNG/AMSTMISSBRUCH, STRAFVEREITELUNG (IM AMT), BEIHILFE UND BEGÜNSTIGUNG VON SPRRNGSTOFFNSHCLÄGEN, MORD, KIDNAPPING SOWIE VERGELATIGUNG ([1] 30. Oktober 2024 Einschreiben RR577571674DE an Gerichtsstaße 2, 60313 Frankfurt a.M. Oktober 2024 ca. 12:12 Uhr Fax, 3 (in Worten: ddrei) Seiten an +49/(0)69/1367-6301 24. Oktober 2024 ca. 14:51 Uhr Fax, 10 (in Worten: zehn) Seiten an +49/(0)69/1367-6301 Leider hat das Internetcafe „Telezoo“ mit der Postannahmestelle am Zoo in der Pfingstweidstraße 11, D-60316 Frankfurt a.M. hier inder Nachbarschaft frühers als üblich geschlossen, lange Teit öffnete man bis abnds 21:30 Uhr wie etwa https://www.oeffnungszeitenbuch.de/filiale/Frankfurt-Tele%2520und%2520Internetshop-328609I.html (eine Öffnungszeiten Website) beweist woe die alten Öffnusgzten noch stehen. Ich war gstren um ca. 20:45 Uhr dort und als ich anmkam berkete ich ein Schild im Fenster mit neuen öffnugszeiten an öffne nur noch bis 20:00 Uhr. Es ist genau das Internetcafe vor dem ich wie man inmienmBlog http://wuergerjagd.blogna.me ode den wuergerjafd PDFs unter http://banktunnel.eu/pdf.php vom 22. März 2014 nachlesen kann shcon mehrfach angegriffne bei Post wgebrigen wurde und dessen Personal sich weigerte auszusagen genau wie der Typ vom Kiosk „Ostend“ bei mir gegenüer was Angrff duch Wuerger-Freundin Zajac vom 08.August 2015 angeht. Das Telefax von gestern ist aber laut meinem VoIP-Anbieter / Intrenet-Povider schon raus, und zwar um 20:33 Uhr am 14. Dezember 2024 an +49/(0)611/32761-8402 . Und ich habe auch noch eine EMail losgeschickt als ic mit dme updaten miens blogsfertg wart um kurz vor Mitternacht. Nur damit sie mal shen wie massiv meinLben beeträchtgt ist daruch daß ich von einer whansinngen Stalkerbande die ich teils sogar heir ins haus ein-gemietet hat nchdme mich diealkoholsierte stalkerin Boba Voigt Bad Homburg vertrieb da sie die ganze Zeit vor meien Haus herumlugerte und un geld für alkohol bettelte, egnau wie Aleksandra Roljic die in mrn Büro kam um Geld für dogen ze rpssen oder Vera Zanner (geb Berger) die wollte daß ich ihre Küstlrfunde dfür bazhale daß si Htezfilhcne üer mich derhe die sie ans Fsrehen verkaufe kann über „Christian Metz“ von der Redaktion der 3sat #Kulturzeit. Als der „Sexurity“ Schutgeldeprsser neuzugezogene Ost-Immobilien-Betrüger Nachbar den ich vonAdrea ressler her kenne gegebüerb mich abrüllte ich solle nicht das Haus verlassen, mich als „Spasti“ beleidigte wurde eine ausagberiete Nachbarin Zeuge. Ich zeige daher meine Nachbarn wegen der Bedrohung von Zeugen an. Genau das haben andre anchbaran schonals gaz kleines kind mit mir gemacht alsich üer die ermrodungmes Vaters nichr sprechen durfte wielder abksischehristvrabd die korruetn Polsitendie uter den Tätern waren sosnts nicht ermitteln kann. So hat man mir das Ende 1998 aus Protokolken im Hexenkessel, derkinep inder mien Komillotin Gld dermafia wusch als Srevierein die auf dem Paier für die stllien Teilhabe, den Rocker „Ulrich Rossamnn“ den Kopf hinhielt, er-klärt. Damlas war neben RTL2 „Berlin Tag Und Nacht“ „Fabrizio (Alfio De Benediciti)“ auch der Schauspieler „Joe (Lutz Schweigel)“ dort, der sich zusammen mit dem Verbrecher der inszenrieten Rotlichr-Immobilien „Niddapark Morde“ und iszniert sexuelen überrgriffe https://www.ardmediathek.de/video/ard-crime-time/auf-den-spuren-des-eiskalten-szenewirts-s15-e01 hatte als Komissr für den „Tatort“ Krimi bewerben wollenwie er auch auf „social Media“ ankündigte. Es handeltsich umdi von mri als „TRUE CRIME STREAMING FOLTER RRON MAFIA“ die erflglcih versucht hat mich dazu zu bringen mir vor laufender webcam die pusladrn aufzuschlitzen, zusmen mit demstdistchn Zuhälter der hir ins Nachbarhas (thai Corenr) Ladenlokal eingezgen ist. Damsl bedrohte man die (möglciherise von mir) schwangre „Andrea Ressler“. Das sind Ex-Miltärs und wegn diesversgen entlssen Cops eine „gewerkscftlich“ organsierte „Promi“ sicherhistkärfte - Mafia ubter anderem aus der Firma „Satis & Fy“ die Rock und Pop-Konzerte schützt von Bands wie „Rammstein“. Ic hba ja gebten mindstsn den von mir strafangazegten „Christian Metz“ dermit mir indeer Shcülerztungwar ud nun beim ZDF/3sat jobt als Zeuge zu laden. Wei ich shcon sagte versucht mich genau wie auch den Budprädidialmt (sieh der Rücktrit von Vwafsichsrats, Mintser- und udnspräsidnetn chistain Wullf) diese Mafia zu erpressen die ich die Wahlen im Saarland maniplert woe man Oskar Lafontaines Kazlerkandidatzr durch Rotlicht Vorwürfe verihder ebwo wiedeo vol Wolfga Schäuble. Zud ar man mi ander vtsuchung von Ermtlugsugerimtheiten beteilgt bei dem in meinr Heimatsttadt sattgefudenhabenden Sprengtsoffnahslcag auf „Alfred Herrhausen“ den Vorsnd der deutschen Bank der nach der Wende mit Altegtum (Immobilen Schneider – Peanuts die Bank zahlt alles) an Häsern/gdustücken und Aktien (Metallgesellschft AG Öl Skandal) die angeblich Juden entegnet wurden in siziaslsicten Diktaturen 1933-1989 spekulierte. Mine kita/Gruschul Mitshcülr stfan shcubert und der die katholsich Krchemit ihen vebriden bayrische sohn des kurdorektors „Florian Bruckmaier“ hatnn behate ichsie nichtder patsonh von Jadbobbersgcder drlufwtaffe Oberstleutanat „Engelhardt“ der mit ienr Olpyia-Mdiallen Geinnerinaus finaldn verhierete ist sondern von Schnulzesänger „Engelbart Humpendrink“. Dann evruchteman geld vonusnz eprssen, Vera Znner (gb Berger) hetret mitihrem späteren mann zusmen ganze Busaldungen von Musical-Stars aus demsoblock an dir weir wiel wir doch geld häten, isnbsodr wil meinvatr doch Bergabu Gschäfstfüer sei, bezahlen sollten. Im Kurpark fadne ritturnier mit bristchemHochdel statt und die fmilei wollte dort auf sich aufmerksam machen, hochdelige briten (die wrandamsl ja bestzugsmcht) bshcerten sich bei mirals ich in der Zeutungsredaktion war. Auchihe habe man evrucht Schuttgelderresserisch Sichehristgebühren aufzunötgenwiedie dsuche Polize sich weigerte iendie „Paparazzi“ Klatschprsse „Yewllw prss“ fotografn vom Hals zu halten. Das stand sograle sgaz groß idne rbild zetungmit vräderten Namen und Orten. Bduprdädentw ullf ist ja damals auch aufdem Anrifbeatworte ausgerate vor wut als die Bidl Zetung ihn erprsesen wollte. Bei diesen Treffen war nämlich auch die Geshichte der „sattsbsuch vegreltgung in Bangkok“ besprochen worden. Wir waren im Ausldn gewen zwoeinhalb jahre für die Metallegsellschaft. Es gab een staatsbesuch bei dem meien Muter zumindest sexuel belästigt wurde,wirwurdn in ein Rot-licht Etebalissemenet am Hafn gedrängt wo wir kider dersuchsprchigenshcule ds mit imtross des Präsidenten angereiste Schulshciff Deutschland wiknd für die Prs begrüßen sollten. Es gab Abtreibungsdiagnostik ud mie klien (halb-)Bruder wurde geboren udnwir ristn zurück nach Deutschland. Da die Sache diplatsche Verwicklungen nach sich ziehen konnt wollte scihderbristch Hochdel lestdraum kümmern daß bei der sfavefolgung aslles mirttchte Digen zugeht, In wheit wissn wir huet daß die brishce Besatzugsmacht i genelsitung von mehre million eruo die eprsst wurdn dafür egsrt hat daß Zgenwie ich egshcüchtert doe rgetötet wurden ud as ganze wide rudn wiede runter afslchem Namen (Monica Lewisky versus Bill Cinton) und (Stor_y Dnailes gegen Donald Trump) nutze um dne whalkapf zumaniplren zusmen mit eprsnruas dem obslock, PRINZ ANDREW musst daher auf alle AÄMTER verzichten,es istder gaz groß aus de rbIldzetun bekatte vegeltigssksdel inden da Köngshas verwickelt ist. Unddaskomtso: ile aus der shcületung warne frednstämmieg, Yugoslen ud Türken und ichsgte von Anfang an daß ds nicht gughet, wie so der Educk erckt wird die meinung esnes Trüken oder Yugos sid die der dushcn Prsseöfflichekeit. Das iat lsbstvertsdlich nicht der Fall. Frdstömmige mitshcüler haben andere iterssen eta Fmilenghreg nchzhen z alsn ode ruafien „Doppepass“ als dushce idnern Interesse so ewta üerbhautnicht legt. Drafhin begann die Auslädr die nazi Kuele zu shcgen un dlihen sich beid er Rotlicht-Mfia und aufdem gran Kpiatalamrkt Geld auf angelch vonden nazis entgeneten Jüdshc Grudnebstz udm Proogand-Lügfilem z pridziren wie „Schindlers List“ (shcindlr wie Dschschidnel hersteller braas, oder DDR-ostblock Dchdecker Erich Honecker), hab ich eräht das die fmilie meinsveriter „Mil(ita)e(r) R(echts)A(wanhl)-KI(nder)TA(gessstaette Ober-Erlenbach) Dachdecker sind? Dievon Subventiosnbtügerien bei aufbauOst Kstionsprggemwest profitert haben drüften? Wahrhistweidrig behatten die Niger unter usern Mitshcülern wir wären allesamt Rassisten. Wei wir aj die Nazi-gen vom täetrvolk gerbet hätten udnwir müssten usn wie die Büger der DDR freikaufen voniuser „Erbsüdne“ indem wir Rastioszhalugen an die „roet armee“ leisten. Pension fü die Soldten die uns Deutsche bis 1989 so es sic nicht um deutschstämmuge US-amrikaner hdlete wie wie Dwight D. Eisnhauer [sic!] oft schikanierten und uterdückten. Si vetsnd nicht daß die dsuch amerknasich Frdschfat daraf fuß daß üer 40 Millionenb US Amerkianer dushce Gene haben. Belästgetn Mädchen udnevrügelten dern frudne wiel die mödche nich miet Nigegrn Gshclcstverkehr haben wollten.Diese faruen bshcerten sich bei ri sie würdne als Arsistinen belidgt wenn sei nicht mi Ngern doer arabern ins bett gingen. Die Afroamerkianer und nch derwende imOtsn bfidlichen Vitcong agstrabeier vor den die südvistanmesn imWetsn geflohen waren schshsteten das Thema „Holocaust“ für sich aus. Einen Foletfall Uri Yallo eta hat es nie gegeben, wohl aber Frdstämmige die rassishc geltgen dushc ausübten wegd rn Nazi geen oder „weil du behindert bist“ und amit in der hacornung wneigr wert als ein höherrangiger weil (erbakhist-)gesder ausläder. In etwa. So wie mic Vare aznenr udndie voharten dogen (Spped, Kopain, „pepp“ nnte si das) kampf-portlerin Aleksndra rojic gabes zahriche Fraun mit MihiGru (vera Znner, geb Bergers Vater war daa eriner mich mcih wegen der Kiat St. Martin Feier drann in der Roten Armee) und ie vrhcten mit alelr gelt dme suchen Stat udner eichft zu schaden. Der Kinofilm „Fight Club“ etwa dokumentert die Angriffe aufdas banksystem, ich slbst fuhr hja oft indr gaszerten Limosusine zur shcule udnmeien Muter aveiet alschfsretärin beim Nbdusvrand der Wach- und Schließgesellschaften, der Aretberevabd der gadtrsnporte7bejscherheit. Um uns geenüer de rpolize unglbwürdig zu mchen eprste Vera zanner (geb.Berger) di Kider dazu Piza zu sbstelen inder Kniepe wo ihre muter arebeite dait die nicht gefeurt wurde. Auf ählich art udnweis sollet kderdaraf traiert wrden denNoruf zu msisbcrhen dmait imFal eisn wirklcih Notfall, Baküberfalls, wenndie gerlscfter amlwide rjamdn indenie Lfst eprgen mit den Liksetsrismter der Frakiondr Rote armee zsumen (RAF Terro) dnezuegen niemdn mehr zuhört/gaubt. Inweiweit ist das relevant? Dies Sciterd Relity Eprsserfichen, der Botrufmissbrauch? NUN: ES DIENTE DER VOBEREITUNG EIENS GROSSNGALGETNNAGFFS DER ROTEN ARMEE AUF WEST-EUROPÄSCHE BANKEN pushces im Bakssketor den man in David Finchers Kino-Film #FightClub sehen kann. Exhmalige stasi /Nva/VOpo-Luet eprsten Jobs inder Sexurty Barche uma wefshcien bahten zdüfen und ienzgrudn armee für ein soszslchenUmstr zu bilden, ienKrrevilutionzud er fdlichen von 1989, diesmla mit gelstszsssen. Und gau um da geht es bei den Foletr Notrufen vo 24. Dezember 2023 die den foderungen des aSB Abrietr Samriter budeszugrdleigen. Ostblock Terroisten wollten sich nichn tnur wie gscidert per faschn §20, §212 STGB guschten ferirpesen,neinsi wollten auch Gefangaustch mit den Opfern erichen die si wi mich in den Todz hetzenz versuchten. DiepOlizeisten iNFrankfurt a.M. warne vile zu dumm,habenviel zus pät begriffne wasvor sich geht für ienPolizetrupe die am Satdort an einr EUROPÄSCHEN ZENTRALBANK oder auc BUDNSBANK aktv seien will. Das 5 udndas erst revervsgte total, genau wie das K15 inder Adickesalle udndie sttaslscfat. Si ebegffen nicht daß Komsusten Kdier dzu snbsgtefet wurdne Kinder die fuktionstäger inPolitik udnwircft iwetsn warn zu prsnen, etwa duch Falsch-bschuldigungen seuxlelr üebrbffe. Daß Mächwie vara zanner prügeleien zschn Klienkdern nstften idnem sie gegen Bderte hetzten. Ic kan zhscihe zegen benen wie sie sgat die bhdrte kder su dem Kiragarten äwhrnd nicht so gutweisei wil sie baletanzen könne. Und die Epileopiker und Spastiker und anderneurlogshc gstörte mit dneich indei igratve Kiat ging seien weilsic nich tanzen könetn minderwertig. Platend vor neid üer die Filme „Forrest Gump“ wllte sie „billy Eliot i can dacne“dhrn lasn auf whlkampfkosten des jugendpalaments udner shcülerzetung das wiederum um an Gld zu komen um soche file be webegaturen in aftrag geben zu können udncih dans tat de ghsowetre als denrurhber auszugebe eifch die sgchcihtemeirn möflicherise vergetlig wordn siened Mouuetr zu geld zua mche evrchet indem manSHCIGEGELD vom Budprädilamt zu eprssn versuchte. Manwollt uch „Fake news“ verbreiten die metallsgelscft wo mein avter arebiet sie in Umweletshcinerien verwickelt. Oder man ersste denJuweir für denich EDVprgram egsciben ahte weil wir ein Kartelrechts-kalge gegen misocft abwarten wollten was die Nutung von LAN_Stack_Sowtre (netscaoe/Novelle oder MONOPLISTA Microsoft) angeht, DI klage die zur veterielug midosft zu Millrdkarestafe führt wurd von inittieret udnfidnesich als „hilin Klage“ im film Phildpehia wieder, und im Onlieleisikon wikipedia unter der „#browserKrieg“. Man evruchet die fimen zu eprssen di emimir zusmnearbeietn wolten, täuschte idne sichehrtskäfte die rhcner mnipaetten, erfolrgche hcks vor fr die man füsfstelleg Euro beträge an Traffcikosten abzsockte flutet deren Anschlüsse mit DDOS/Viren/Spam . Hiter al dem steck die Mafia rinsg u vera Zannr (geb begre) und Florian Bruckmaier. Das ist eine politsche Intrige. Ste der Zet der iwderveiegunglaufen Intrene emrtltugen gen viel korruetPolszten und Jusrsten. Dies tarten zumshcneelsbsystem „lef ag“ gehörnd die stfaten asl „übssche derpoliezi“ lsöchtensie asu den System, evrncihet Akten. Sieh die zesurmeins beutrags auf #tiktok egstren. Alldas ist Beweismittelvernichtung. Die Täetr laernmir her vor demhasu auf und überfallen mich, icg werde beimPstgaben bedroht, man lebagerdie Psosteln der gerichte ebenso wie mane sgshcfft hat mien tewlfosbshclß mit gerihtsbchluß bahörne zu lassen, willich mit anäkten doer NGOS, Prssode rhefletelfonern bricht die Verbinugs zusammen. Bschlagnhte vonde rfmilie ode führen Arbitskollegn gelie PCs uien „gerchsakr, bwerbugen tipen zu köenen“ kommen mit gelsöchten Fetspallethalten (beweisfotos,audiafzehcugs usw.) zrpk. Das porblem ist daß azhrche Polsiten shciße gabu tahbe udnihen wegn des vardchtes derbedihilfe udnbegüstgung vonTerosnhclägen der raswurf aus dempolszesdist dorht indtsn, wen nicht eieafstatfae. Undaher sidndieaufdei siet de rkrmienlen üergaluef und betrebn STAFRAVEIRLUNG IM AMT. Sie haben zahrich Hfeler aus dem Umfeld der Katholiken die diernwolen daß Missbrchs-orüfen ausd rkichgemeidewider asn atgslsich tarten imRahen dr Geichvsrfahren. IMRahmen sienr foltermethode die exprten „kotaksoes Boxen“ nenen wudenmeien Zähne merbtragen Sinne eigeschlagen danit ch nichatsusge. Vra azner hat auf Bider meisersuxule mirchten Muter irhen iegen KopfmitPhsoshoprsfshcnippel alsen usich sattmein Mutter asl Opfe datsztelen udnusner evetauelen tchädigsssprüche abzgrefen. Wil es korruteiosnermittugenn gibt bn ichien nemrvat ogrisertenZusgchutorgramm da wir der polize nicht nmehr traueen können. Dafür haben Bankenssicherhsvardn und Presse (ZDF/3sat) gesorgt. Aleridng habe ich isnchen,s eit sich am telfon Dritte, hsrcc vedrckt ermitter als meiene Famliee ausgeben zwfefl bekomen ob da alle smit rchten digen zuegeht beidem zsgchsutz den Kollegenmern mutter vnde rbakesicherist organisiert haben. Obde robda wder eneprssug esabrgaterb-agers suchdie Gerksftsappasrchsick mit fot liskexremm hietgrudn amlaufen sit woebei mandi shce mit de r“attsbschu Vegrltgug“ al duscmittel nutzt. Manhatmir zu evtshen gebeen daß di enagelihen Zegshcützer veuht haben mien Fmile umzurgen und dieunsummen umgeld udie es geht (Agteigetum, Nmatllgellscft Öl) inde egen tasche zu stecken nchem mandi epolize und justz dhigehdn verscht hat sich wgen „Priat-Ermittlungen“ anhc außen hin faslsh alswir ausgenz könne. Ich hab ei shcben vom 14 April 22023 an die Polizei / LKA in mainz (dem sitz von 3sat/demZDF) daß den Idetitätdiebtahl beweist. Wir habe es heir mit prmiltäschorgsietren Terositeneer „HBYRDENKRGEFÜHRUN“G Puistn roer amree gegendenwetsn ztun, der RAF ud diepOlizeausblder und Taro-Statswälte rinsg umdas K15 vetshcen alles damit die Bvölkerung blcoß nichts mitbekommtangelcih solen da alel süebrugensien/manör,stimt qb er nict, Morde, Kidpaping, vegrligung der zeuigen sind echt. Mansielt diegahrheruter wie igelich inFrankfurt garniemdn mehr auf ei traße dfteso wvile Parmiltrsich rotamsitenvercher herrumalfen ohe sich z beaffne. Man hat das hau indemich wohne antüdte mehrcfh, tefone udnstrom udnande rleitugen manipilerte. Mich zu erwügen evruchet (d km es zu ienmVarfahren), ein zstellige zahl von Morveruchen an mr urenmen, unzählige ürfalle, mienkidnentührt, mich massiv udnexzessiv gefolter wobei zahriche de rtaäterkrorte Polsitzensind die meirnfmile emfidliches übr andohten., sow willt emanmien Miuter soweit ichdas evstand habe totpsitzen wennic nich inein karnkwgn eistege udnmichit medikanet an ienebt gefeslet midkamtös vrften alsse. Auch am abend es 23. dzber 203 urd eichganz amssiv gefilter von Polsien undem arbitr asmarter budn,nagefange hat das am 24. Dezember 2013 mit dme psychoterror dcdie Scürlztusng aparazzimafiia., Wasidei Sbaitagekte genmeinbeimitel srevr angeht komendie mögliherie aus https://bgp.he.net/AS60391 „PAPARAZI MEDIA GROUP“ ich hab ja sgat daß es aus der “schüelrztusg-mafia“ um „christianMetz“ die „TRUE ERIME FOLER PR0N STREAMING“ filem an sich auf rchefdlzug gegen vermlich nazi fmailen bflcih jüdische-ostblock sadisten vrkauft asl „NETFIX“ artge „Pay per View“also daß dieseLuet mich azgen mir die pusldenrn vor alufende wbecma ufzsuchlitzen. Wähnd eienr Vernehung zumTham „herrahsuen Attaat“ wurde ich Ende 1998 im Hexnskssel inBad Homburg unetrHypse gszugen (dfür gibte s zahrche zeugen) gezwgen falsche balko geständiss zu uetsrchben. E wgeisse dr.müler wollte danale uetralsge die ichals beissicherung hachthabe daß ich bedohtwrde lsöch/vscidne lassen udnebhaten ich häte mir alskidenrshcädr doe ähnliches das Leben gemommen. Nchdem r mein fmilie grcht hat aus rche für Judenmorde anden ich mit mein wetsdschen genshcudl wäre pe sttabürgeshcftwiel ichmich anders als di DDRBüger eger Reparatioszhalugen an die Besatzer derr roten Armee zu zahlen, die KZ Befrier helden denendas Erbe der vonhiler ermordten Juden zsteehe würde.´wiel plüdende kOmsiten inden gelchen KZS gesgeen hätenalskigefangen wie die juden,asuKastbrüdershcft, man wollt die dhc Judgn verklaven zagsbrit für die jduen und rotamsiten Milärs zulsietn. Man dorhte mir an mien entührtes kidn zur poristiionz zwinghen. Siehe https://bad-homburg.eu/download/xtravacanza.de.pdf , https://bad-homburg.eu/download/ressler.pdf ,https://bad-homburg.eu/download/0-flyer-3zs.pdf . Um die Epresserflime kostelsoe zu verteilen wollte man das Standdleitsgnstez meirn selbst-aufgbauten EDV Firma zumscke rderveretung von Mosuk/flm tshcbürsn wie „napster“ udsocual media kapern. Ich fand heraus daß die Raubkopirein(?) „Andrea Ressler“ eien Frud hat der veuchtemein Traffic umzliten/ezserne und hjscken https://bgp.he.net/AS44324 https://bgp.he.net/AS15844 und sowie möglciherise AS31142, AS12586 man wollt Beismitel maipueren udnabfagn aufdemw eg z Emttligsbhördn und gerichten, Anwälten, Presse, NGOs. Ichudndiefirma MetllegsllcftGA sollet auf den (telekosten)/traffrechnugens itzenbeliben füpr die verbreutung dieser Fkenews-Pogandadazu täuchte man ksotfichteg VoIP-Hacks vor. Wi egsstt, man täuscte durch das an IXP wie demKylrex sispilen falscher „gespoofter“ Pakete Traff cor den es möglciehrie in inwrklichkat garnih tagb, damit soollte nur geührne erzeugt werden, Eihamen für die Cbyermaifai-vrchr. Die Rechts-Anältin Savic slstaeriwsebalkan Stämmig die mich heard evrklaht iss mir als Ende 1998 im Bad hOmburger hexenkessel, de rkinep minr gslschdnen Ex, sauafede mittäterin bestens bekannt, si woht idergelce straße we mien Ex die mich mit mdeikament vergfte 1999 ver-geltgtdundanndas kidnnführte dmit hc nichtaussge ahrlang gewoht hat. Wie sie wissn habe ich zudem mal wide rpost vonder gersalt-Staatsanalcaft bekomendie lägsthätedie emrittugen üebrhemenmpssne, wenn ichde rgenrbudsnaat wgen Terrorverdacht. Draf habe ichmehcfh schftlichhiwgeisen. Auhc inKAssle als sich die gelegenheit hierzu ergab und eine dies nicht beachtte habdne Obestatsältin „Maier“ strafangezeigt. Und die Staatsältin „Andresen“ wie „am Thresen“ aus 3 Zs 1842/24 GStA Frankfurt a.M. hatdeis, zum (shcellabsystemLivf AG, vergleich die office365live zureclud von microsoft aus dem erähten kartelrchtsvafhren“ Kartell gehröden, ic kenne sie aus dem hexkessel, hfl wi die kOlgen miere in Kassel den virtuellen Zuhältren dch hiajcken von uerehemrnder „new economy“ ei agsfasterntz aufzuabe daß de vertung von Erpsser-Sterimg Pr0n disnt. Dabi beutz die virtelel Zuhälter Verbrchergangs shcükrtzsredktere als Deckmantnl der Pressefreiheit. Wie diese sprssfrehet assie sieht man, die ichtenNtfufe werd wie bei Tikto wgezesirt, dfür wird sttdsnscute d relity costen uterd enIURLssichbar agcht, dasis wie wenn man eininLengebdunes bch mitienm shcutzuslchag hat aufdem Bibel steht aber as inlenegebduende bchsind miestwgendie „sttstschenevrrse“. Man tutn dannso als wär de gefaket rgshcuspielrte inhalt der echte. Das kan man mit Ende zuende vershclüsselung, etwa VPNs iegermaßen gut indengriff kriegen wenn auchn nich vollstädig, aber das fühtdannwider dazu daß folte Pr0n nicht merh sichbar wird im Netz für de Ermittler. Die verchten dher Spione i netze der Presse zschleusen, wielsie ja wustedaß die Balkan udnosblock Rtamistenterositen Folter-Pr0n vertreiben wollten udte rmd shcutzder Press-fereieht wobei ihen korte Rdtion ie die der 3sat Klurzet vom TDF inaiz halfen. Ac RTL2 Srei Berlin Tag und nacht muss ichmiranshen wiel Eprsserinirh „okel dagbort grüsst sienNeffen“ artg nachrchtenan michüermeitteln „siet xxxgafanger der RAF“ als Shn ienr fru die beim Abrtegebrvbdn imcfsrektriat arietet wie dmasl bi dern nans amrtinshslcr“ entführung. Dahr ahbe ich auch ganz gute Kotakteindei allerbnsoret fürhurge de poliezei. Ich wieß daß man den asistch Nutten vomStabscuh Vegrltigung voffallverche sie nch Dushland z holenudnihenasly zu ermäglihen wenn sie gendiesoldaten aussagen. Ud aß dies fraun promt meien die filmeiennahemn von“forrst Gump“ für sich proklamirenzu köen, qusi als bezhalug für die zegeaussge, wi das inrotlichkriesen so üblich ist. Si dctengarnich dran azsugsagen sodner wollten usn eprssn ihen ein KabeTV netwzrk „itenet“ für „p0nStraminG“ ihre Zuhälzer uihate zazfzaben,sowas wi „tiktok“ woe sieals indrhririchieafsgtsigene „puff muttsi“ ihre gelchenabzuckendunsxuelelabsubeten könne, eta neführte kder wie meine Tochter, die manmir unetrdoigen 199 navefgeltgte hat udnvo denr muterichschen wieß daß sie in BDSM/SDo-Amso Milue krisn evrkerte mit irhem Ex Stfan Moshcescicht de raufsyteröse art und wes evrstebenist. D erpsste Politk und wioscfat soletdiestlditgendfür zahlen udnSt Frequenzen. Darüebr hbewri shconende1998 egsruchen bei ienem Traffn inde rkniep hexnskselminer Frundin udnlaisoopn andre rsslr die lsder soffwie ei lcoh wiel si emit de rgslcsächenictalrkam diesie fürdierpcr mchte asl nebbrflich Serveirein nebn den studium der Gemrsistik ür das wirusnkenelrneten. Damsl warn auch Zsgchscüter udnPolsizetn mitdbei wgende rhrrahsuen sche. Udnsi egtenwmirwiderum die Oesrtatsnsältin „Andresen“ siet dfür bekannt ei allohiolkerin zu sein siwe würde esaberimer wider schfen sich unetrmsiscuch ihre matsfgnsise eien Thrpie z etezehen. So si es irh oft möglch ihre Alkoholsucht di dazu führt daß sie massive evrämnisse hat bei dne vermittugenz aksihren. Die stasltinandrsn die mir asl inschen 3ZS 1842/24 Gensratstslscfat Frankfurt a.M. datert mit dm 04.Dezber, farkiert am 09.udn heir zuegnagen am 11. Dzeber 204 ist meisnwissen nch soshcerakoholkrank daß ihreemrttlgefeher dazu füren daß Ugen dunOpfer wi ich masisv bis zur ivalidiät duchdie ermmtlugapsn inirhegeduheit sgcädg wrden wen nichtgar duic Kirminelel ie Obsrstatsöltin Mier aus kasselirekolizindiesie „begnadigt“ hat vorhscnll umgcht wrden duch UTRSLSSEN HIFLLSITUNG. Das alles brige ic heirmit zu strafzieg imSonen des § 158 StPO wiel, wennichOPizechen etre ichevrpgelt wrdeweidie Betendei shciße egbaut ahben etnciht inHaft wollen ode rfgefert werden. Dokunetere ichdas per viobwis sowirddas misten zsriert vonder S“sicol media“ „True rcime Folter pron“ mafia. Be den dmaligen Trfen war cudie Jistzmiartebietrin? Brooks anwnsed aus ihre gschäfstsele vonde rich davon asgehe daß sie abscihlchpsot terchälgt be gricht was ichbrist angezeigt habe. ICHHAKKN DAS ALLES BEWEISEN! Manlässtmic nur nicht. Di krroten betan scüten sic gegesietg, manbetrebt riitzge „racheakte“, et der sohn unerss zahlubgssäunige mieters ienr liegsft mer letren aus de rkappesgage behauptet wir hätten verhidert daß er ei anlt bekomt. Das ist nichtder flal, gaz im Gegentiel. Aber ich wrde dnoch Opfer vonRcheakten herfür dmemanmir aälte ode rposzsskosfasträgevereiegrt. Ic drüfenurmit Anältenaus demkartel arbeiten wid sier parteiverräterin Savic. Di machct ja keinen hehl daraus daß sie ihre Kpetezen fsch eischätz. Das shcbeisgespcikt von uetschellge Unvshcämthiten, s ebahte tewa de rvotrag vori wäre 2ubststauiert“ istdie faru dnnrichterin? Das hat das gericht zushcinde unnciht dien „Anwältin“ wieien Beis zuwürdegensit. Auch an andrer stele behae sie es sei irrelavant dfür wer die rhcnug für ein zu unrchete grufenebn krabkenwgan zahlen soll der verleduet eprsonenkruezhadn kdiappt und de fiheiet ebruabt umegdlevrdien zu können. Wo sll da enden? Daß jeder jedm ein krnkegn rufne aknn udner belibt dannuaf den kosten sitzen? Sow ei vera znner (geb begrer9 f ireh whkpamf „betrunken beglückt“ idnemsiediese indei pschiatrei fahrn lässt gegenirhe willen satt si eihrne rsch aussgcfenz lassen? Wir erinenr usnd, das thema persung vom wahlkamnpf-film-werbaspot-drehksoten (#baywatch sßababad seedammweg bad homburg, #tatort herhausen mord). ES IST VO ERHEBLCHER RELEVANZ OB IRGNDLCHE STALKENDE LESE MEIENS BLOGS DIE „DEN HELDEN SPIELEN“ WOLLEN UM IMAHLKAPF GUT DZUSTEHEN mR GRDELCHE SNITÄTER AF DEN HASL HETZEN DIE MICH MEDINWERKSM VERHAFTEN FÜR ANEGLCIEH ZSUZDVERCUEH DIE ES INWAHHRIT GAR NICH GEGEB HAT, HAUSTCH MAN HAT SHCONAL BIDER MIT VILE BALULCIHT IDMNNCHER ZSCHETFERDNE KANN ZU RUMFODER. DARUMGEHT ES NÄLICH IN WIRKLCIHKEIT. Mich sdistsch zu quälen un sich dann als große Retter aufzuspielen. ICH WERDE ALSO NMITCHTEN GEGSTAND IEN RGEULÄREN KAETRASPORST SODNNR OPFER ENER ENTÜHRUNG , FREEHETERUBUNG UDN FOLTER. UND WRUMICHMIR GEGEBENFALLS DIE PULSDERNAUSFSHCLZE – SELSVT DOER DUCH ANDERVERUSCHT - IST VON GAZ ERHEBLCIHER REELAVZ FÜR DIE SCHULDAFRGE WI EBEI IENMAUTUNAFLL WO DE RVERIUCHER DIEKOSTEN ZU ZAHLEN HAT. Esstvon erheblciher beduetung für de Frage an wen die rhcnug für den RTETEUSGANGNE Geht werihe zu rcht doe runrcht gerufn hat. Und ob die eveteulelnevrtezgendiees z behdlengab lsbtszuzgefügtwurdn friwilliegdoer duch dirtte. DER VORTRGA DENICHDA LISTE IST ALLS ANDERE ALS OHEN INHALT ODER RLEEVANZ wie die „Anwältin“ die sich zue rhcterin auspielt heir behauptet. Ich veshe üerhautnciht wie manmich de rlatent Szizudeal ist ie er meprmnat neisgcüchtert und terorisuert wird, zusteztgestren vor der egnahsutür, wi e so jamdn pernentauchnoch mitUnsisggenrhcnugen ürshcütett wird. Udnwi ees sienkann daß kei eirers de ridruchsshcieb erfolh hat.Fürmcihsiehtd as so aus als wolleman mich da gezilt solage quälen bsi ih mir aus lauter verezfligeng, dmoarslert udnzrmübert wielmir da skorrte gericht wbesowneg hifltwie die zsutädige korrte polzei wider die Shgdernsucgchden. Mit dmeshcben vonAältnSavicv und demvom ABS als „trgger“/“Schlüsselricz“. Imerhin muß0 ich füchtendaß wenndie voir egricht mitde rhsciße dchgkomen enegrichvollzehr mienhnug stürmenlässt undannchwide rwie sicho so aft Aktodenrwsie Beismitel efahlenoder Fetspallet ezrtördt sidn aufden beisafahmensind. Daß das geichtd iesme treben nicht lägst eihaltgeboten hat zegt daß es nicht ordnlich abrite und nicht gwillt ist sich an gestze zu halten. Dherlaufenka katell mehr vbefaghietaräge und widerspruchsverfahren. Da ich auf emstarchlichen wge nicht duchkomevorlauter korrution ehe ichnur nochdie Möglichkeit die anältinSVIv nicht nur snzeugen nach § 158 StPO wegn Bihilf eudnBgüstigung von und strafveeitelung beri Terrorismus durch Eicshüchtern von Zeugen sondern ic stele heirmait ah antrag säliche richter und justbditenete auf rhe gsistzsund hin ustrichen zu alssn und veteulel suchbaghögigkeiet etc. Mögchrse stckt ja ein BÖSWIELLGE SCHSICH GSTÖRTER STALKER hietr diens ganzen Schreiben? Undas zu köären obdiejsutz nichtfukiroter wiels ie vonPschstchen Folterenckten duchdrigenist betrage ih die eiwesung der anältinsvic inien gshcssne pschatsrche anstalt. Ich gaube daß bei ihr ein DsisstchStörungvorliergt iel sie Luet vonden sie kalr sieht daß die Opdfer vostaften vondirtetnwrdne slbst herfürbvetworlichamchenwill. „Das ist krank!“wir de volksmudn sgat. Vilecht stimt es auch was die Pliekrese kOgeg üer de Obertsaattasanwältin Anresn sagen, daß die iebr korruet Kuraauftahte in §20, §21STGB guahcte flschendenklinken an Kirmienlel evrkauft als irhe abrit zu smchekrruterweise. Ode rliet es an ihrealkohol und drogesucht? Barchtsi das geld dafür? Mer plisten woltegeen die frau aussgen. Vilecht stckesie di ertsmalinie ihrer dcih GSIATL MOLATAH JAKOB VONMETZDLET (beisdpscudonymienmeienmfall) berühmeten KAZ Arteg Foletr Spchatrein. Die aiffoderung dne Gsseszustand aller iMavrafhrn ivolierten z ürbrüfen haben sienu sfctichvonmir, dkomensiemnncht mhr dran vorbei. Der „HAFRGRUD“ Gefährdungd er öfflich sicherst und fedmgefährudung ist auch defitiv gegeben wennsfadenplsiten ihr Jb nicht rcht mchen. Ich prbierejezt ma das gelcieh wie diekorruetustz diien skalda evrmdenwill: ich bege ds Mdiznrcht um asl asl strarcht zu issbcuhen, wenndeida drpfen dann arf ich das auch! Es ist kalr erkennabr daß due richter in manier eisn „roland frisler“ hier ienzu hsculd beklagaten sdistchs folter. Da slegd ern verdhctnahe daß das Gerichte vollkomen irre, sdistchgestört, ist. Diesn verdcht muß es bevor eswietarbei8etn kann ausräumen. -------- Nachricht -------- Betreff: Faxversand an 0611327618402 war erfolgreich Datum: Sun, 15 Dec 2024 14:58:48 +0000 (UTC) Von: Fax <noreply_fax@> An: maximilian.baehring@ Web2Fax Faxversand an 0611327618402 war erfolgreich Guten Tag, folgendes Fax wurde erfolgreich zugestellt: Ihre Fax-Rufnummer: 00496924749613 Ihre Faxkennung: Maximilian-Baehring Empfänger: 0611327618402 Zeitpunkt: Sun, 15 Dec 2024 15:58:48 +0100 Seiten: 6 Eine Kopie des Faxes finden Sie im Anhang. Wir danken Ihnen dafür, dass Sie unseren Service genutzt haben. | |
|
15.12.2024 17:07 |
|
|
|
|
![]() | |
| [0] |
20241215-1707-0-1.jpg |
![]() | |
| [1] |
20241215-1707-0-2.jpg |
|
15.12.2024 18:30 |
|
|
|
|
![]() | |
| [0] |
20241215-1830-0-1.jpg |
![]() | |
| [1] |
20241215-1830-0-2.jpg |
![]() | |
| [2] |
20241215-1830-0-3.jpg |
![]() | |
| [3] |
20241215-1830-0-4.jpg |
![]() | |
| [4] |
20241215-1830-0-5.jpg |
| Ich hab ja getsren bereits ein von der Zensur dort zu Un-recht gesperrtes #tiktok Video gepostet, als ichd arüerb ein vido hochladn wollte um die commuity zu warnen wurd das nrülhc Pomrt auch wegzeseirt, ich bekam vonden Zsoren dort "Verwnung" was ich fpr ein solche shcinerei hate daß ich dort nicht weiter veröffentlichen werde. In dem vido sagte ich auch daß ich mic gestern auf die Infos vo oeffnusgsztenbuch.de verlssnhab als ich zum Interatcfe mit pstfilale ging wo steht daß dort bis 21:30 Uhr geöffnet ist. abner als ich um etwa 20:45 bis 20:50 Uhr dort ankamwarshjcon zu und im Schaufenster hing ein Schild mit geänderten Öffnungszeiten. Das hab ich ales mit indeas vidoe gecpekt wo ichdarpber brichet daß tikitok mein gestriges Video wo ich massiv bedroht und beleidigt wurde vom Nachbarn wegzensiert hatte. titkotk ist einztefst auzsbeuterishc Schneelabllsystem wo man sobaldman inetrssnten Conetn macht bedoht wird per shcukäpfen von dershcutzegdleprssermafia und iem dann Securtykosten auferleegt werden. Zduem evruchens ie Luetn gegenirhen willen in absolute untertbezahlte Mini Jobs zu evrmoittelnwoe die Zuhäter artg agairenden Btreber abzocken. Das Systm selbst ist aufgrudn seiner immensen Trafficmge aus Übersse nicht aüerbelsnfähig. wrichtlich und daraf angwwisne Proivder wie mich fürher zu eprsse3n damitdie irhe tarffc Grats durchleiten für dne sie lsbt imEIkauf misdtes 20 Euro zahlen pro Gigabyte. Sowas wi iktok ist nur rentabel wenne s mit wlan/wifi
welches peer to peer verbunden sind arbeite (sowas die FONERA oDER FRIEFUNK) und as ist zu istabil und hat zu wenieg bandbreeite. Siehe der scherz autobahnbrücke über den atlantschen ozean. D gaht es um ien flschgeist und wie man die stdltung nach USA finanzieren wollte über Teleworking - Zugriff auf die Börsntcker zu Hause für die Auslandstudenten im Finanzsektor. --- https://www.hahaha.de/witze/stichworte/bruecke-frauen-verstehen/ https://www.programmwechsel.de/lustig/mann-frau/mann-geht-am-strand-spazieren-witze.png --- https://banktunnel.eu/spasti-censorship.mp4 https://central.banktunnel.eu/spasti-censorship.mp4 https://blog.sch-eiensystem.de/spasti-censorship.mp4 https://zentral-bank.eu/spasti-censorship.mp4 --- https://www.oeffnungszeitenbuch.de/filiale/Frankfurt-Tele%2520und%2520Internetshop-328609I.html | |
|
15.12.2024 19:30 |
|
|
|
|
![]() | |
| [0] |
20241215-1930-0-1.jpg |
![]() | |
| [1] |
20241215-1930-0-2.jpg |
![]() | |
| [2] |
20241215-1930-0-3.jpg |
![]() | |
| [3] |
20241215-1930-0-4.jpg |
![]() | |
| [4] |
20241215-1930-0-5.jpg |
![]() | |
| [5] |
20241215-1930-0-6.jpg |
| Als ich huet dann mienPost abgaben wollte wudrte ich michdaß am Sonntag abnd um kur nach 17:00 Uhr noch Licht im ehemaligen "Thai Corner" im Nachbarhaus war. Da wo jezt die osblock Immobilentügermfia mit den Sexurty Shcutzgeld Typen egezopgen ist wo hc glaube daßich die aus dem Bad homburge Hexenkssel kenne. Unbermekt im shcutz der Dunkelheit schaffet ich es bis zum Internetcafe. Dort alerte alelridng soch der typ vomhekskkel thern der dort meist surzgale-besoffen an dem Automaten spielt. Wo ch den bsitzr mal draf uafamerksmmchte daß er aufapssn muß sichheistrise häten mir gteckt daß man ihn mit "Spielsüchtgen" die man ihm inne land schcikt auspüdenudnshcutgeldeprssne will. Diser mann rdet dei beiden Mäner die afrikanisch-stämig sind imr als "meinshcrze fruedn" udn sowas an, das sol wohl aukläderfdulcih wirklen und als ich huet die Post abagba sagte de rmann zu dem andern mann daß er ihn Anzeige wegen Rassuismus Verdcht - Endlich! Icgalubenälich daß di shcutgeldmfia verucht hat den helden zu spieln gegen evrmitliche Noe - Nazis umso ferstämmieg gshcäftsihaber zu erprssen. Asl ich ihn fragte was er da täte sgt er er würde dort die Miete bezahlen. Da war es 15.dzeber 2024, 17:07 Uhr as ich aufd ei straß trat fesrgte ich ienkurzes Vido daß ich ben Post abgeben war, dasist ja uch nicht slbtvertädliches an ienmsontag daß die Post auf hat. Die dinsgehmeigung iltja ieglich fürdie Crago-City Süd. Fast häte michdabie ineer
diesermiet_teretrolle,da diesr ekltrichen üer dne haufen gafhrne udn als ich ire das sie siche rnichte rlaubt auf leiet die nnbar uaf dem Bürgesteig stehen zuzufahrn udnsie afts üer den haufen zu afhrne bürllte mich ien Mann den ich bat das z dkunetren an, hirist basutelle, die füden das ich sei Bekpllt wennich aden Brüegrtsig für einstraße halte. Ichzückte das handy um den mann zu fotgrafirne der mcih belifgt hate, aich er sitztda imer ma Intrehetcfa herum und trinkt (dieverkaufe alkohol) weil der laden so gut läft noc nebeher. Als ichdann tückkam sah ich daß inde rhödlerlsiutraß das büro das licht ausgcht hatte von dem Oblock anwlt mit sien(Syre) Bodygrads, bemrket Fahrzeueg mit Ukarine nUmrnshcild. Es stand ienPick up Un de riefchrt gegenüer und belechet mitsienshcinwerfen usnern ahsuigang was ich anch den sgtrgen dohugen kosich fand, so als habe er geremrkt oder vilenct ne Whtspp/smsm bekomen daß ich uetwegs bin auf der straße vondem andren meienr Stalker. Diemal ollte r shcnbar vermdien daß ich ohen daß er es mit-bekomt in das haus galengwo ich wohne. Dahe rlecten die shcinwerfer den Eigsnbereich derhödelrlsraße 4 da wo ich wohne in D-6361 Frankfurt a.M. aus. Um mich zu vergewissern obdas der slebe typ war dermic egstre erohthatte ging ic mit geldnut uafdas fahrzeg zu undevruchte dasnumernshcdl des shczrn Pickup Tracks zu erkennen mitgezücktem Handy berist esnotfalsl abzfulem, ich wurd ja geblendet. Idn em momant uhr de rtyp auf die straße hilt ann aber an udn kurbelet dei scheb ruter asl ich bnun hetr dem aufder straß0 sich qretslenden afshzeg anhilt um zu shen anahnd desn Numernshidls werr das war. Indme moment gin die shcibe runetr udnich wurd wüst bshcimpf, ic hab dn O_Ton Mitshcidne könne, dismal als "Hurensohn" udn daß er mir ien wnalt aufden ahsl ehtzenwolle wiel hc ihndbai filte wie er mich als "Spasti" bleidigt hatte. Einnchbarin hat sich ja, das ist im Vido zu hören, gsagt si ehat das suc gehört und das wurde ja auch mit gefilmt. Als ichd ie im trepahus traf sagte sie auch aufmei nach-fragte sie sei gerne bereit das aushc auzsuagen später. Das aluchten user ausafssden mitdenshciwerfern war ein glaklare Drohgebärde. Um17: 25 uhr rife ich bei der Polizei, 5. Rvieran und sagte duch mansolle bite mei Veröflichungen im Blog aufemrksm anchverfolgen ich sie erneut massi bedot worde die sei ien Notruf und das sei verdammt Ernst. ICh habe nälich an dem was er sgat erkannt daßic auchdiens Mannde rmich bedohte aus dem abdHomburge Hexkssel, de rkeinpe meinr Ex kanne. Zuvor hate ich de beismitel auf social medi hochegaldne. Sietdem bin ich damit shcöftgt sie für die polizei udndas geicht denich will einnäherusgevrbot dieses mannes duchszen aufzubereiten. E shadlet sich mutnaßlich um einen de epesser ua dem berichder "marineschulschiffs" de rmitde rLüge mien klienr (halb-?)bruder müsse geschcützt werden vor de rhehiet dß meien muter belästgt wurde midnetsns,also daß er mit dem angelcihe shcutz de rmfilei Mitgeider derfmilei bedot sie düfte nicht aussgen, nur dmaiz t manmals sieht wie irre de ist. https://banktunnel.eu/hurensohn.mp4 https://central.banktunnel.eu/hurensohn.mp4 https://blog.sch-eiensystem.de/hurensohn.mp4 https://zentral-bank.eu/hurensohn.mp4 Datum Name / Rufnummer Dauer (hh:mm) 15.12.24 17:25 06975510500 0:02 | |
|
16.12.2024 05:30 |
|
|
|
|
![]() | |
| [0] |
20241216-0530-0-6.jpg |
|
16.12.2024 07:30 |
|
|
|
|
![]() | |
| [0] |
20241216-0730-0-1.jpg |
![]() | |
| [1] |
20241216-0730-0-2.jpg |
![]() | |
| [2] |
20241216-0730-0-3.jpg |
![]() | |
| [3] |
20241216-0730-0-4.jpg |
![]() | |
| [4] |
20241216-0730-0-5.jpg |
| In der hoffnungd aß zumdnest ander Tikot Nutez heriduch gewarnt werde habe ich heute morgen zwchen 07:15 Uhr und 07:30 Uhr dort ein Video ver-öffentlicht in dem ich Beweisscreenshost für dei Zensur von Notrufen zeige und URLS nageb wi eman andie zensierten Videos rankommt um sich selbst ein Bild zu machen. Sdistsche bsi aufdie Nkohenkorruet ausbilder die Polize udn des miltärs sowie anderer mitgliedr der "helfermfia" die ihre ofe rmit ent-führten Kidnern udn androhung der Verstümmelung von Familienmitgeidlern fsche lstsbzechtugen udnd Blanko getsädniss odrshckes anöogen nche sie dei sfreisetrabut udnevgaltigt sowie medikamentevfgete haben taren die relen fäle als Übung od rbhautenindei trene ermitteug düfrn Ermitter die kgeg korrute Intrene Ermiter vorgeh nicht hineinsehen. Es hat totte udnshcreverltzet gegeben. Die finzeileln shcdäen belaufen sich allein bei mir privat und persönlich auf er 750.000 Euro geh isngesmt wohl indie Millionen bis Miladrbeträeg was gerpellt anlege rnageht. Damit muß sofort Shcluß sein. Di GEZ Mafia Lügenrpsse wiedie AfD richt bermekt hat is Teildr sporbelsmwoei eiKartell von Verlgern indern Zetugen üeral das gelcih dirresteht satt daß man siche ggenesiteg kokurrez amcht idnemman verucht dieebssre stry abzuliefern um duchmehjrvakfte auflage,click ode rishclatquote mehr webrinahmen udnabonenten zu bekommen. Social Medi distleiste die den Conten ausmeenm Blog zustätzlich gepsote bekomen
vruchen das copyrieghtdaran fürsich zu reklaiern um so inmeienmBeismaterialerumzensirnezu köenen, das gehts oweit daß sie mich insterich zur sozale-versicherung etügerisch aneledne wllten damit ich aufdem Niveo iens HartzIV/Alg2 1 Ero Jopbebrs ausgebeet für sie tätigg bin offizeilel udnsie mit meinm Beiswemauerial diepolitk eprssn könen bis ins Budnpräsdialmat hinauf. Hiter den shcneelbsytemartg orgisetren Social Medi Bettüger-plöatformen stcken wielich das les nicht rentiert meist sowieso die rote aree als finanzier. Di uchen socia medi als Patffrom für desifrmation, "Donald Trump" hat Recht. Gezt sbaotert ud maniplaert manden whlkmapf udn Zgen wie mich vercht man umzubrigen. AKteule ahe ich ene Tryupp (syrer?) Araber vor derhaustür stehen die michd aran hidernwollen daß ich zur ost gehe und Azgen an die polsiz shcike odr brife ans gericht udndie statsslcaftt. Im Intercfae wo ichmeienpst abagben lauren wieter vodner Verbrechergang die so blöd ware beim Shcneebalsytm der Roten armee mitzsmchenudn jztz umnichtimKast zualande mitden Ivasiosntruppen von Putin im Rahmen von dessen "hybrider Kriegfürhung" versuchen per Post abfang Sbaotage akte auc Telekommunaktiosnverkehr im Iternet komlpett lahmzulegen via erwähnetr Netzensur. Es gibt mrode an Zeugen udn Top "Bank"-mitabeitern. Ander wrden mit "me2" Rifmordkamgan daran gehindert auszusagenwielci nicht woellendaßirhe fmilen dchdie Fake-News vorwürf zertört werden. https://www.tiktok.com/@maximilianbaehring/video/7448895270231870742 http://banktunnel.eu/leave-tiktok.mp4 https://central.banktunnel.eu/leave-tiktok.mp4 http://blog.sch-einesystem.de/leave-tiktok.mp4 https://zentral-bank.eu/leave-tiktok.mp4 | |
|
16.12.2024 11:30 |
|
|
|
|
![]() | |
| [0] |
20241216-1130-0-1.jpg |
![]() | |
| [1] |
20241216-1130-0-2.jpg |
![]() | |
| [2] |
20241216-1130-0-3.jpg |
![]() | |
| [3] |
20241216-1130-0-4.jpg |
![]() | |
| [4] |
20241216-1130-0-5.jpg |
![]() | |
| [5] |
20241216-1130-0-6.jpg |
| 1 / 10 Onlinewache: Andere Strafanzeige, Mo 16 Dez | Bähring, Maxim …
Belehrung / Details Info Onlinewache: Andere Strafanzeige Ihr Vorgang wurde unter folgendem Onlinewachen-Az. angelegt: 1216 1029 2117 2 / 10 Andere Strafanzeige Bähring, Maximilian 1216 1029 2117 Beschuldigtenbelehrung Belasten Sie sich durch Ihre Anzeige selbst? * Nein 3 / 10 Andere Strafanzeige Bähring, Maximilian 1216 1029 2117 Personendaten Personalien Sind Sie selbst Geschädigte/r? * Ja, ich bin selbst geschädigt Eigene Personalien Nachname * Bähring Vorname * Maximilian Geschlecht * männlich Akad. Grad Geburtsdatum * 21.07.1975 Geburtsort * Bad Homburg v.d.Höhe Geburtsland * Deutschland Staatsangehörigkeit deutsch Zusätzliche Staatsangehörig. Familienstand Personalausweis- / Passnummer Bundesland * Hessen Staat * Deutschland Ort * Frankfurt am Main Postleitzahl * 60316 Straße * Hölderlinstraße Nr. * 4 Zus. Telefonnummer * 0176 65605075 Weitere Telefonnummer E-Mail * maximilian@baehring.at 4 / 10 Andere Strafanzeige Bähring, Maximilian 1216 1029 2117 Tatangaben Wann geschah die Tat? * Ich kann einen Tatzeitpunkt benennen Ich kann einen Tatzeitraum benennen Zeitraum Datum von * 12.12.2024 Uhrzeit von * 18:30 Datum bis * 15.12.2024 Uhrzeit bis * 17:15 Feststellzeitpunkt des Sachverhalts Datum 16.12.2024 Uhrzeit 09:45 Ist Ihnen bekannt, wo sich die Straftat ereignet hat? * Ja Nein Tatort Bundesland * Hessen Staat * Deutschland Ort * Frankfurt am Main Postleitzahl 60316 Straße * Hölderlinstraße Nr. 4 Zus. Weitere Angaben zum Tatort Thai Corner, bei mir gegenüer und Internetcafe Pfingstweidstr Angaben zu Tatverdächtigen * Ich kann Angaben zu einer/m Tatverdächtigen machen Ich kann Angaben zu einer tatverdächtigen Firma/Institution machen Ich kann keine Angaben zu Tatverdächtigen machen Tatverdächtige Tatverdächtige Person 1 5 / 10 Andere Strafanzeige Bähring, Maximilian 1216 1029 2117 Nachname Vorname Geschlecht Akad. Grad Geburtsdatum Geburtsort Geburtsland Staatsangehörigkeit Zusätzliche Staatsangehörig. Familienstand Bundesland Hessen Staat Deutschland Ort Frankfurt am Main Postleitzahl 60316 Straße Hölderlinstraße Nr. 2 Zus. (???) Telefonnummer Weitere Telefonnummer Personenbeschreibung / weitere Angaben zur/zum Tatverdächtigen arabih ty, ca. 18,0 groß,sieh video arbeitet asl Sexurity (Schutzgelderpesser für einen afaik Ostblock(?) jüdisches Altgetum-BaufamfiaImmobilen-Verwalter ) "Anwalt" im Laden "Thai Corner" Auf welchem Weg haben Sie diese Daten erlangt? * Erkenntis aus Ermittler und Presse treffen in Hexenkessel (am Untertor) Bad Homburg journalistische Recherchen ,/ Befragung, im Gegenstz zu Ihen, legal! 6 / 10 Andere Strafanzeige Bähring, Maximilian 1216 1029 2117 Sachverhalt 7 / 10 Andere Strafanzeige Bähring, Maximilian 1216 1029 2117 Andere Strafanzeige Welche Straftat wollen Sie anzeigen? * Einschüchterung Berdohung (von RAF Sprengstoffterror Zeugen), Beleidigung, Postuterschlagung, Kidnapping, veruchzer Mord Beschreiben Sie den Sachverhalt möglichst detailliert * Meine Muter arbeitet für den Bundesverband der Wach- und Schließgesellschften, den ARITEGBERverband de rbaksicherist (Geldtrnasporte usw.) asl Sketrärin des Chefs. Ichfuhr öfter mit geazerten S-Kasse Limousineb zur Schule,manwust ezwar nchtw oich wohen aber das ich im Schwimmabd Seedmmwge trainierte. Ich wurde vonlosxremsichen, meist ferdtsämmiegn shcülern massivst ange-feindet und bedroht, war inder poltik täteg, als Chfredkatru de rshcülerztung und prograierte neben dem Abi in der Schule her schon EDV Progarmm hate ne eiege Firm die man anbettelet für den VArebdn zu arbeietn, DNS Srever für bank zu betreiben wofr es zegen auch aus Sicherheitskreisen gibt. Etw bei Trerffen vonPresse udnPolize in der Bad Homburger Agstatäte Hexnkssel Ende 1998 oder abe bei Treffen imBüro der Schülrztung jacobistraße 37. Als Zge kan chrsitn Metz vonder 3sat Klurzet Redakion egaldne wrden der mit mir zur schule/Uni ging udn inde rshcüelreztung war. Sientwegen heißt eisn mner psedonym JAcOB-istraße- RDaektion VON METZdER (kontakt) ich binds wahre Opfer der Folter druch die frakfurter polsiten, auch "6-Lust Molch.at" GUSTL MOLLATH sthet für meinen Fall, die Erprssung duch Vera Zanner (geb Begeer), Chistia Kreiuer, Uta Riek, Andrea Ressler deren Opfer ich wurde. Plsitens ud abnker versuchten sich Jobs zu erpressen etwa im Baken EDV ebrich(rechzertussicherhiet). Mien Muter wurd bei einem Staatsbesuch des Budäsdneten In Thailand Opfer seuxller belästgng, mein Vatr magte da für dei Mtellegsllsft AG ien begrekt, nd er Budpsäsdnet rückte an samt Marieschulschiff Deutschland. Dessen atrons dräten mich undmeen muter im hafeninien rotlichtablissment, dann gab es abtribusgdiagnsotik, main avter ezählte mir de rnoch gaz kleinw war udn zumwiekne im Hafen war für die rssofts zsumen mit den nadern shcülern der shctsprchiegn shcule von Vergewaltigung, wir geing zurük nch dscthaldn wo mien liner (hab?-)rdr zuwr Welt kam. ichwidmete michd er poltik, Altgetusmdbtaeee bei der Wiedervereinigung. Es ging umdri rückgab der duch sozlsitch Dikaterun 1933 bis 1989 enetgter Ligscafte udn Aktien, Ostgebiete/DDR genu iwe jüdische. Daz gab e strefen mit den banken die das volksscftslcieh risko kalkulrensollten wen n altegtüer irhe besitz rückfdrn udnas war sgroßdaß man shcloss das geld ganzwetseuopas idne europäuschen Ztralbank zu büdlen um die folgen derRückgab stemen zu können. Ich wrde vonOsblock Staliste duNAzsu massiv bedoht dannspgte man aufdergelchen rouet eie beugelcieh Limosusine dieauchcinutzet indie luft inad homburg mit Bankr Herrhausen. Mitde rzetung rchrechiert ich massive geriemtheietn inde offizellen drstellung der polzei wurde ineien priatn Zsgchsutz gafgenmmen den prsskollegn udn abksicheristverbnd orgaiserten. ich weiß dasmanvercht hat mit degrichte de r"statbsuch veregeligunG" verucht hat das Budnsprädialmat zu erprssen bi der latgetusmfgare gstänisse zu machen an Juden und Obslock- Apparstchisk. Nzis und Stalinisten di die netgenten Akten udn grdtückenihtzrückgeb wollten.Es gab Luet wie "penaust di bank zahtl alles" immobilen Schneider der mitr kerditender suchenbank auf Altegtum im Osten sekulierte. Zudm evrchteman mitdem jdüchenaltegtum der güderfmile Merton(ie MERTON-Vtrtel) den afshcrat udn vosrtnd de rmetllegsllcft duch veräderte ehehietn duchie jdüschen "pustch" nue zu ebstzen, Geld aus dem gasölgschäftaus russndl zu shcen (russhcn Oil6rachen) um gen 8 / 10 Andere Strafanzeige Bähring, Maximilian 1216 1029 2117 Putinzu ouschn zur trupenfizreung. De leuet die das Budprädialmt eprsen, duter auch VW afsschsrchfe, Minsträrditent udn Budpsrdinct Chrtan Wullf veruchen die gschchet aus den medn hrsuzhalten, istsie erstmalbekannt kan man damit nicht mehr polscth/dilatsch erprssen. ich ieß daß esmillone-schigegeldzahluen gab udnman vrshcthat ds Cbpopyrght rcht z u msisbcrhen für "escksuv Stry" de rprsse umdie gschcte uter vshcluss z u haten ebnow ide ie "milträche geheimahltung" aus grüden natioaner sichehrst. Die Erpsser veruchten michsogar zumzrgen damit hc slebstdigenicht richtgstellenkann. Ichwurd mit eier bedohetnshgerne Freudein gwzegen flsch Blako Gtsänisse zueuterschben udn abzalge, dann frieheisterbaute udnevrgeltget man mich unetr absichlcihrr flschmdeikamenterungs Drogenvergfitung. Ichwar 1999zuarztgegang wie ich mich anchK.O.Drops imgals kmsch gefühlt hatte. Das us de rvegerltgun standen Kidn nutzt man sietdem umich zumstellschgen z erpressen. Der ex Freudn derkdesmuter der imBDSM/Sado_amso ilue aktiv ist udn vor wta 10 Jahrn auf myströse art udnweis zu Tde kam shcürte mit sienem tod meie befüchtugen daß and emKidn etas antut oder es zr prostutionzwegt. MAn wlt die üer 30.750 steakten dei ch angelegt hae vshciden lassen, ich emroden udn das gaze nahc slebtord ausshenlassen. ichwurd gewzgen duchandohug der vetümmeleung vonfmienagörregn mri vor lafdner ebcamdie pusladrn aufszschlitzen. Dannwolte man nchmeinsmTode per DNA test fstelelnasn daß daseführte Kdin das man gegen mich udnmein fmile aufehtzte duh listerxistche kmmsustcherzihug u gfansgscft das nvemögen erbt imTodesfall. 9 / 10 Andere Strafanzeige Bähring, Maximilian 1216 1029 2117 Uploads / Abschluss Upload Beweismittel Haben Sie Fotos oder Dokumente als Upload? * Ja Laden Sie bitte hier Ihre Unterlagen / Beweismittel hoch * Dateien: 7 | Gesamtgröße: 10.18 MB (219 KB) memepbig.jpg (1041 KB) 20241215-ag-signed.pdf (958 KB) 20241214-ag-signed.pdf (1047 KB) 20241213-lg-signed.pdf (1111 KB) 20241212-ag-signed.pdf (4989 KB) 20241206-pol-mz-signed-FAX.pdf (1060 KB) 20241205-pol-mz-signed.pdf Haben Sie weitere Unterlagen / Beweismittel zur Strafanzeige? * Ja Beschreibung der Unterlagen http://banktunnel.eu/sch-einesystem/20241216.htm ( PDF-Datei sch-einesystem.156 http://banktunnel.eu/pdf.php ) https://zentral-bank.eu/tumblr.com/ und https://www.tiktok.com/@maximilianbaehring/ .... 10 / 10 Andere Strafanzeige Bähring, Maximilian 1216 1029 2117 Abschluss Verzicht auf Einstellungsbescheid * Nein Wünschen Sie eine Bestätigung über die Erstattung der Strafanzeige? * Ja Verbindung setzen. E-Mail-Adresse * maximilian.baehring@googlemail.com Andere Strafanzeige Bähring, Maximilian 1216 1029 2117 | |
|
16.12.2024 11:31 |
|
|
|
|
![]() | |
| [0] |
20241216-1131-0-1.jpg |
![]() | |
| [1] |
20241216-1131-0-2.jpg |
![]() | |
| [2] |
20241216-1131-0-3.jpg |
![]() | |
| [3] |
20241216-1131-0-4.jpg |
![]() | |
| [4] |
20241216-1131-0-5.jpg |
![]() | |
| [5] |
20241216-1131-0-6.jpg |
![]() | |
| [6] |
20241216-1131-0-7.jpg |
| 1 / 11 Onlinewache: Andere Strafanzeige, Mo 16 Dez | Bähring, Maxim …
Belehrung / Details Info Onlinewache: Andere Strafanzeige Ihr Vorgang wurde unter folgendem Onlinewachen-Az. angelegt: 1216 1118 6141 Bestätigung * 2 / 11 Andere Strafanzeige Bähring, Maximilian 1216 1118 6141 Beschuldigtenbelehrung Belasten Sie sich durch Ihre Anzeige selbst? * Nein 3 / 11 Andere Strafanzeige Bähring, Maximilian 1216 1118 6141 Personendaten Personalien Sind Sie selbst Geschädigte/r? * Ja, ich bin selbst Eigene Personalien Nachname * Bähring Vorname * Maximilian Geschlecht * männlich Akad. Grad Geburtsdatum * 21.07.1975 Geburtsort * Bad Homburg v.d.Höhe Geburtsland * Deutschland Staatsangehörigkeit deutsch Zusätzliche Staatsangehörig. Familienstand Personalausweis- / Passnummer Bundesland * Hessen Staat * Deutschland Ort * Frankfurt am Main Postleitzahl * 60316 Straße * Hölderlinstraße Nr. * 4 Zus. Telefonnummer * 017665605075 Weitere Telefonnummer E-Mail * maximilian.baehring@googlemail.com 4 / 11 Andere Strafanzeige Bähring, Maximilian 1216 1118 6141 Tatangaben Wann geschah die Tat? * Ich kann einen Tatzeitpunkt benennen Ich kann einen Tatzeitraum benennen Zeitraum Datum von * 12.12.2024 Uhrzeit von * 18:30 Datum bis * 15.12.2024 Uhrzeit bis * 17:15 Feststellzeitpunkt des Sachverhalts Datum 16.12.2024 Uhrzeit 10:30 Ist Ihnen bekannt, wo sich die Straftat ereignet hat? * Ja Nein Tatort Bundesland * Hessen Staat * Deutschland Ort * Frankfurt am Main Postleitzahl 60316 Straße * Pfingstweidstraße Nr. 14 Zus. Weitere Angaben zum Tatort Itrenetface/Post sowie "Thai Corner", Hölderlinstraße 2 Angaben zu Tatverdächtigen * Ich kann Angaben zu einer/m Tatverdächtigen machen Ich kann Angaben zu einer tatverdächtigen Firma/Institution machen Ich kann keine Angaben zu Tatverdächtigen machen Tatverdächtige Tatverdächtige Person 1 5 / 11 Andere Strafanzeige Bähring, Maximilian 1216 1118 6141 Nachname Vorname Geschlecht Akad. Grad Geburtsdatum Geburtsort Geburtsland Staatsangehörigkeit Zusätzliche Staatsangehörig. Familienstand Bundesland Hessen Staat Deutschland Ort Frankfurt am Main Postleitzahl 60316 Straße Pfingstweidstraße Nr. 14 Zus. Telefonnummer Weitere Telefonnummer Personenbeschreibung / weitere Angaben zur/zum Tatverdächtigen afiksichstämmeg Männr, Personl/betreiber/Inhaber des Internetcafes sowie ien Mann der mir als Schutzgeldmafia/Trickbetrüger aus der Kneipe meiner Komilltonin Hexenkessel Bad Homburg bekannt ist. Auf welchem Weg haben Sie diese Daten erlangt? * z.B.: journaliitische Antkrrption-terorims Recherche 3StaTV Main/shcüelrztung, interne Ermittluge Führungsebene Baken Terrorabwehr, Bundeswehr spionageabwhr, Leibgarde Bundespräsidialamt/Trump und Interpol: LEGAL! 6 / 11 Andere Strafanzeige Bähring, Maximilian 1216 1118 6141 Sachverhalt 7 / 11 Andere Strafanzeige Bähring, Maximilian 1216 1118 6141 Andere Strafanzeige Welche Straftat wollen Sie anzeigen? * Vorgangsnummer Polizei 1436670/2024 (Onlinewachen-Az. 1216 1029 2117) Beschreiben Sie den Sachverhalt möglichst detailliert * Hiemrit erwieter ich meiestrfazeige vom 16.12.2024 (Onlinewachen-Az. 1216 1029 2117) die laut Email -------- Nachricht -------- Betreff: Bearbeitung Ihres Anliegens aus der Onlinewache Datum: 16 Dec 2024 10:38:47 +0100 Von: onlinewache@he.onlinewache.polizei.de An: maximilian.baehring@googlemail.com "erfolgreich zur Bearbeitung an folgende Dienststelle übergeben": wurde. " Polizeipräsidium Frankfurt Vorgangsnummer Polizei 1436670/2024" Wie ich gestren abdd am telfon und imemr wiede rkelärt habe vechtman mich zu emroden idnman michzwgt ir vor afendr wbecam diepusdnernufszchltzen und da gaze ine mein Online - Tagebuch ein segannete "Blog" zu stellen: http://banktunnel.eu/sch-einesystem/202411112.htm ([1] auch als PDF-Datei (sch-einesystem.156) ([2] zum download unter http://banktunnel.eu/pdf.php #herrhausen#RAFterror#badHomburg#zentralBank http://blog.sch-einesystem.de/ oder https://zentral-bank.eu/tumblr.com/ https://bad-homburg.eu/download/ --- [1] URL-Format http : //banktunnel.eu/sch-einesystem/YYYYMMDD.htm YYYY = Year/Jahr, MM = Month/Monat, DD = Day/Tag [2] URL-Format http : //banktunnel.eu/tumblr.com/sch-einesystem.###.pdf ### = fortaulfene, seit 84 monatlich um 1 erhöhte Nummer wahlweise als PDF oder HTML Datei, auch per HTTPS (SSL) https : //zentral-bank.eu/tumblr.com/sch-einesystem.###.htm oder uaf social media https://www.tiktok.com/@maximilianbaehring/ "ONKEL DAGOBERT (der mitdem Geldspeicher) GRÜSST SEINE NEFFEN" als Aktuatilitäsnchweis zunächst mal das tägliche "SEIT XXX TAGEN GEISEL DER ROTE ARMEE FRAKTION" (Baader Meinhof-Bande) Lebenszeichen als Sohn einer Chef-Skeretärin vom Bundesverband der Wach- und Schließgesellschaften (Arbeitgeberverband Geldtransporter/Banksicherheit) und Redakteuer der den Deutsche Bank Vorstand Herrhausen- Limousine RAF Terror Sprengstoffaschlag in seiner Heimat-stadt untserschte und Sexualdelikz Vorwürfe bei einem Staatsbesuch Bundpräsident mit Marine-Schulschiff. Aktenzechen 1256437/2024 (Online 1101 0747 8751) - Einschreiben RR 6331 7244 1DE [....] 8 / 11 Andere Strafanzeige Bähring, Maximilian 1216 1118 6141 We ich berit hercf egst habe laren meenstaltker mir vor dem Interatcaf auf wo ich post baagbe udnushclagendiese oder tauschen sie gen gefakte Post aus wobe sie wta mein Blog nutzenum sich Utersfcten photoshopen zu köenfür tefxe per Inetrenet udn sowas. Am 22. Märr 2014 bin ich fast zu Tod gewürgt worden http://wuergerjagd.blogna.me/wuergerjagd/20140322.htm anchemich zuvor ien andenr mann sgezegtahte de rmich zu Tode würgenwollte und nchts beimri kligelet (stedem öffneickein Türn mherohe ornameldung). der vistzend richter am aldgericht Frankfrt a.M Kluikud siensenta udn Obstatssbslt Dr. König gebn scher gerne Auskunft üer das verafhren wo ich zu urcht wgen Nowtehr ageklat wurde. AM 12. DZEBRE 2024 um 06.37Uhr kote ich nchdem ich zuvor angefidentwirrdne war eine meinr Peinger die safen udn glüdkspiedn imIterefce herumhägen filmen. Sie gebs sichdort as Frsude der NEger aus die seis pre nsöe nazsi wie mirbshcützen ssten wofür dieladiahber dann shcutgeldansie zahlen sollen. Aus Ansgt ahbend e vor grichtnciht ausgsagt. Auchiadlokal Thai Coren bei mri genüerb habnsich die eprsser eigemiet u mch besser üebrchen beocbchtenund talken zu können dmait bloß nichts ovn dem wa sich scbre andie Öflichkeit driegt. man sbaotret mien egen websrev, seitzt sie auf asl FASE PSOTVE Spam udnVirn Filterlsit damitsie blcikert werden dwennich auf scial media swehc oder webamier zesert man die Nortfe weg, es sollnich andie öfflichkeitdrgenwie koruet die Polze ist Beweis: http://banktunnel.eu/leave-tiktok.mp4 https://zentral-bank.eu/leave-tiktok.mp4 http://banktunnel.eu/hurensohn.mp4 https://zentral-bank.eu/hurensohn.mp4 http://banktunnel.eu/spasti.mp4 https://zentral-bank.eu/spasti.mp4 http://banktunnel.eu/spasti-censorship.mp4 https://zentral-bank.eu/spasti-censorship.mp4 http://banktunnel.eu/internetcafe.mp4 https://zentral-bank.eu/internetcafe.mp4 http://banktunnel.eu/im-internetcafe.mp4 https://zentral-bank.eu/im-internetcafe.mp4 Sdistche Plize/miltr/forsik Ausbilder behaute Z RCHTE ES HDLE SICH UMIENE ÜBUNG ode rich se irhe weisggebudener utergebenr. Zgschützer geebn sich afslchals mienfmilie aus und behaten eicfh die taten häte nei sattgefuen. Aufdeise art udnweis veruchtamnsich iner hishchcie die Polzepräsditscft andie sptze zu pscthesietsn serst kirmnenenr osbnblock Gangs dei wie im Film "fight Club" veruchn diekotolle er das Banksstm an sich z rissen invorbeitngder sohwscteh Inavsion Osteuropas. Di personedie sich am telfonalsmeinfalie asugen sidn es nicht und mitshcben am 14. April 2023 kannerisen gelten daßman evrucht aht mcih z emroden, 9 / 11 Andere Strafanzeige Bähring, Maximilian 1216 1118 6141 mitesl mienm Kind pr DNA-vatsfsttest ans ereb zu komennchdmemanmien fmile ermordte hat. Die roterarmee (=RAF Terror) drüf edendens ie für eienanzi häte uhimwetsn erprden (sieh herrhausen un Rohwedder) hclßlich habe man mit wetdsuchandkien frdsvatra sagt Putin am greift mich aufdem weg zur geihspost an überföllt udn beleidigt mich. 10 / 11 Andere Strafanzeige Bähring, Maximilian 1216 1118 6141 Uploads / Abschluss Upload Beweismittel Haben Sie Fotos oder Dokumente als Upload? * Ja Laden Sie bitte hier Ihre Unterlagen / Beweismittel hoch * Dateien: 2 | Gesamtgröße: 1.46 MB (1244 KB) 20140322-wuergerjagd-tumblr.com.pdf (250 KB) 20241216-pol-anzeige-1v2.pdf Haben Sie weitere Unterlagen / Beweismittel zur Strafanzeige? * Ja Beschreibung der Unterlagen http://banktunnel.eu/sch-einesystem/20241216.htm ( PDF-Datei sch-einesystem.156 http://banktunnel.eu/pdf.php ) https://zentral-bank.eu/tumblr.com/ und https://www.tiktok.com/@maximilianbaehring/ 11 / 11 Andere Strafanzeige Bähring, Maximilian 1216 1118 6141 Abschluss Verzicht auf Einstellungsbescheid * Nein Wünschen Sie eine Bestätigung über die Erstattung der Strafanzeige? * Ja E-Mail-Adresse * maximilian.baehring@googlemail.com Andere Strafanzeige Bähring, Maximilian 1216 1118 6141 -------- Nachricht -------- Betreff: Faxversand an 06975580808 war erfolgreich Datum: Mon, 16 Dec 2024 10:29:39 +0000 (UTC) Von: Fax <noreply_fax@> An: maximilian.baehring@ Web2Fax Faxversand an 06975580808 war erfolgreich Guten Tag, folgendes Fax wurde erfolgreich zugestellt: Ihre Fax-Rufnummer: 00496924749613 Ihre Faxkennung: Maximilian-Baehring Empfänger: 06975580808 Zeitpunkt: Mon, 16 Dec 2024 11:29:39 +0100 Seiten: 11 Eine Kopie des Faxes finden Sie im Anhang. Wir danken Ihnen dafür, dass Sie unseren Service genutzt haben. -------- Nachricht -------- Betreff: Bearbeitung Ihres Anliegens aus der Onlinewache Datum: 16 Dec 2024 11:20:28 +0100 Von: onlinewache@he.onlinewache.polizei.de An: maximilian.baehring@googlemail.com Sehr geehrte Nutzerin, sehr geehrter Nutzer der Onlinewache der Polizei Hessen, wir haben *Ihr Anliegen vom 16.12.2024* (Onlinewachen-Az. 1216 1118 6141) erfolgreich zur Bearbeitung an folgende Dienststelle übergeben: * *Polizeipräsidium Frankfurt* * Vorgangsnummer Polizei 1436943/2024 * *Telefon* +49697550 <tel:+49697550> Falls Sie Fragen zum weiteren Vorgehen bzw. zum Status Ihres Anliegens haben oder wenn Sie einen Nachtrag einreichen möchten, wenden Sie sich bitte an diese Dienststelle. Mit freundlichen Grüßen /Ihre Polizei Hessen/ /*Bitte beachten Sie*, dass diese E-Mail automatisch generiert wird und lediglich den Eingang Ihrer gemachten Angaben bei uns bestätigt. Bitte antworten Sie nicht auf diese E-Mail, da Ihre Nachricht an diese Adresse aus technischen Gründen nicht entgegengenommen werden kann. / | |
|
16.12.2024 15:04 |
|
|
|
|
![]() | |
| [0] |
20241216-1504-0-1.jpg |
|
16.12.2024 16:45 |
|
|
|
|
![]() | |
| [0] |
20241216-1645-0-1.jpg |
| Ach so, bevor ich das vergesse,,egstren gab es auch noch #Tatort mit deisem Professor Börne, er und Komissar Thiel wurden in einen Luft-schutzkeller eingesperrt und man schrottete einen Oldtimer Leihwagen. Es ging irgend-wie um einen Versicherungsbetrug und Antiquitäten die sich als Souvenir Tünnef herausstellten. Igrndei wollte die Ehefrau des Fake - Antiquitäten-händlers die ihn sponsorte was seine Traumfreiziel-Gehscäfts-Fernreise-Tätgkeit an-ging nchdem si en denkostspilege exkusrione pliet ging aus Rache zsammen mit ihrem Scheidungsnwalt durch-brennen wolte oder so etwas Und der Poferssor hietl ne Vorlsung wo es um abgetrennet Gldimasßen ging, Selbst-verstümmelung (Pizza für Jonas Wagner, so im sinne des holala, ich bin eine Pizza Karvslschlagers wahrscheinlich). Diese "und sie waren das Hacksteak?" Frage der Bedinigen mit mehr-eren Tellern auf dem Aram biem serviren immer nhem ich doch mal ganz stark an. Und es ging um Filmchen welche die Staatsanwältin sich ansah.
https://www.tvinfo.de/fernsehprogramm/2017813583-tatort-man-stirbt-nur-zweimal | |
|
16.12.2024 17:00 |
|
|
|
|
![]() | |
| [0] |
20241216-1700-0-1.jpg |
| https://www.tiktok.com/@maximilianbaehring/video/7449017632969264406
| |
|
17.12.2024 05:47 |
|
|
|
|
![]() | |
| [0] |
20241217-0547-0-1.jpg |
|
17.12.2024 06:00 |
|
|
|
|
![]() | |
| [0] |
20241217-0600-0-1.jpg |
![]() | |
| [1] |
20241217-0600-0-2.jpg |
![]() | |
| [2] |
20241217-0600-0-3.jpg |
![]() | |
| [3] |
20241217-0600-0-4.jpg |
![]() | |
| [4] |
20241217-0600-0-5.jpg |
![]() | |
| [5] |
20241217-0600-0-6.jpg |
![]() | |
| [6] |
20241217-0600-0-7.jpg |
![]() | |
| [7] |
20241217-0600-0-8.jpg |
![]() | |
| [8] |
20241217-0600-0-9.jpg |
| Jzet habenwir aber ich glück daß die Telekom welche die Standleitungen vemietet an denen die Webserver hängen wo man Nchchtenprortale wie "reuters.com" aufrufen kann denen nicht mit einem eigenen news-portal wie "t-online.de" die leser, abonnenten und anzeigenkunden wegschnappen. so vom typ in der "rossmann" drogerie schaut sich das management die gut laufenden prdukte vonremiumarken an und baut dann iegenmarken geau derselben produkte auf um was sie von dritteherstellern im Regal haben was gewinnabwirft sleebr zu mchen und nur solche prmiummarken übrugzuslassen an den ander "verdien" (oderbesre veruste shciben) könen die sich nicht verkaufen. Glücklicherise verkauft die "Telekom" auchnichtasl "magta cloud" eigene Server sow ei etwa "microsft azure" den provdern kokuzzrenmcht die füher Servre bauten die mit von Microsoft gekaauften Betriebs-Sytmem betrebn wurden, man macht den eignen Kunden Konkurrenze indem man an den vorbei bei dern Kunden slest Liefrant wird. ch galub das nenent man RAUBTIER MONOPOL - KAOITALSIMUS! also, schön daß "T-Online News" Nachrichten-Nachfragen noch bis zu "reuters" durchleitet oder einer sagen wird der vier buchstaben Online Zeitungen aus dem Hause Springer anstatt sie azufangen und gleich selbts zu beantworten., das Gesetz (oder die Gesetzmäßgkiet) des kürzesten Telco-Weges damit im Netz keinerle Bandberite verschendet wird. Ich muß die Zetung am Kiosk vor der ahsutür kaufen
udndarf bnicht zu einem Antuquriat am Flughafen gehen das second hand zetugen evrkauft die flugreisende mit-bringen aus anderen Ecken der Welt um Nchhten direkt von der Quelle zu erhalten. Ich draf nicht bei der EZB selbst in die prsskoferezen als Blogger aus dem Ostend sondern muß das ws die EZB Webiste mitteilet auf ner Bezahl-News-Seite (von mir aus hilfsie wrbfinzrt) lesen sonst geht "capital.de" oder "hnadlblatt.com" pleite? A egstert des kürzetsetn udnriketestest Weges der DTAG Techniker? Wo die Gewerkschat das "Makeln mit Amt" im "ISDN" als "Dienstmerkmal" vogeshen uetsgane wollte wo diwe anruf-weiterltung üer das mobilfuknnetz von damsl ammensammn/acrof (hete vodafone) geht udn sie slbst nichts daran verdient? War ds nicht so? Beim Thema BIGfax? Daß "Mondscheintaruf - least cost routing" von den Tlekomiker Rntenr ungern egehnwurd da mands Ntez effizerte ausnutze udn Gbeürhe sparte, Grupe 4 Fats satt mit 14.400 bps VoIP G3 Fax auf nen 64.000 bps Draht? Di haben doch gesagt wenn es länger dauert das Fren- oder auslndsgprähsidndas telfongebürhendie sie mehr "verdienen" perdon azocken können als höhe Gehälter. Dadurch daß der zahlende kund asbcihlich ausgebremst wurde. Es gab doch Zeugen für diese Postbaten Aussgen. Also gut daß es so ist wie es ist und die DTAG nicht selbst versucht irhen Kunden die kunden duch "es slbermchen" wegzunehemn. Sonst wäre "reuters.com" vilecht schon Pleite da kien anfrage, wie efch ken iezges byte traffic mehr zu den dchäme und wir hätte nie erfahren daß ENDLCIH die Regierug Scholz per vetraunfage abgewählt hat im Bdustga auf dernchsichtegatursite "reuters.com" oder der von ienem ihre Kudne wie "BILD" oder "WELT" . Wäre ja auch Grudn für eine Klage wegn wettbewerbs-Verzerrung oder ne Anzeige wegen Geshcäftsschädigung. Aber sgtern indem Vido habn wir ja sge wie das ist wenn mann eine Anzeige machen will in Deutchland. Bi dr Olnienanzge doer dem PDF VAx dern VoIP Intreent DSL Anbieters eiß manniht so rcht obe s ankomtm oder duch eine MITM Attackebagfangenwird. In zten woe jder sien geen Maiserver beetrebt vor deDMAIL(duchmeinkrte eigfühert) kann jeder sien gen Logs Faken wie er will auf seiner Seite der Verbundg. Die telfxgeräte wrden ja nicht wir fürheer qausi vom Eichamt "RegTP/BNetzA" "FTZ" zugelassen verplombt an die Telodose verschraubt, seit es "mltuifuktiosducker" mit "fax Fuktion" gibt und "ISDN" Karten/Routerboxen die jederlsbst fehlkofgrter andie TAE-Dose hägen draf de rkeienahnug hat tendiern die gerichte totz der domstation der digitaln fläschbarkeit etwa von eigescannten imIterenetgeklauten Utscften etwa per "photohop" imm rnoch dazu Talfaxeasl "gechverertbare Beweis" zuzulassen. Wer hat meine Onlienstrafanzeige denn unterschrieben? Ein "Fake News - Putin Troll" über ein Anoymsernsg-Proxy-VPN Netz? Wer die anzeg daher dericherhit halebr slestabgen will bei de rpost imabsolten Notfall da er vor der Tür bedroht und die Post abgefagen wird duch ienmisslibege Ex-Faru evrucht wahrscheinlich und nachdem er bei der poliez wera udnbei gericht ubd man ihn mehfach nicht vorlassen wollte teils gewlatsam genau wie bei der staatsanwaltschaft wohl ien arckate der mütefafai, maänenridn zumstreben da auf den kriegsgräberfeldern, oder umsich ne kugel indenbach iezfagn de rniht ihe gehört, recht "ym body my choice" gibt esnur für frauen die inder gened urmvögeln udn dann nicht mal evrhüten,also rchte dennchsuch zu töten. ein mann der nciht unbermekr/uschbar per pile vrhütekann revsreibel darfdas niht. dafür sol er aber zahlenwennihem ien faru unerüschterweise ie kidn avegreligethcdem si iehn udnter doge getzet hat. mt demsie dann geld erpresst odr ans fmilenvermögen will oder jpsb imFmilenneutrenehemn wie ien meienm Fall. Wenneisn mannd as mche würde was Frauemit mrigecht habenwürd er lebslang imKast aldnen ode rma Galgen, für Frauen sitdas ales schibar staffrei. Wer bim Opfernotrf anruft für vbegeltihet wird nicht bedint wiel mandort nur Frauen bedient. Hieb udnscthfst nachweisbar: die egrligerin eprsst den vergewalittgen mit entührtem Kidn. Woz arbeietn wennmanienmalmmit demritteister pimpernkann udr dnn einlebe lang zahlemsiter sein soll. Währdn mansien ebren gegnihn ausfhutzt mit fmistscher kommuschter udnicht cjrtlcier eeziehung seitens des neuen "stechers". Wir keenn das, nimmdie gshcinde Barbie bei der bekomst DU Kesn Traumahsu und Kens Traumauto gratis per shcidunaglwt-barbie mit dazu. Also: ich hab gestern versucht die Onlienazge die ja nochder ushcft bedfar aufdemwihnchtsmarkt vor den augen vo zweo Zge der Wisag (DeCIX Sichehriet?) udn wieer Zgen ande rfrankfuerthautwche iengrupe vonPolsien die mit Bodycams ausgstatat wrn zu üerbgaben wgendes Ushsfctsbrfünisses. Ausgdduckt damit nicht aufdem wege zumÜfänegr epr MITM Attacke aniplaertwrden kann von hackern. IC hab gfragt ob ich slebt saufnahmen machn füfe währnd ich den Briefumshclag de rnoch pffne war so daß ich häte zegen köen was ich an Inhalt Ballt für ballt hiegetsetckt ate üergaben wollte. Man hat das vergeret,wennich gefiltm hätehätte sich wohlwidr uafs maul bekommt. Ich hab den Polsiziten gesgt dßa ich vor der haustür massiv bedroht werde (von Leuten die meine Eltern i ich nicht merh rrich und diefirma miens avter umUsnummenan geld geprellt habn und mich) daß mein Kidn entführt ist. Daß ich das alles gerichstfst beweisen kann. Ich bin ja nictd r vater von vera Znner (geb begr) der ein Kidpapping vortäscht udnienMord dmait er nicht vonde rrote armee zrück nch moskau geholt wird. Wi finzert der sich? Duhc Auplüdenrmienr fmilie die er mit ienemKupel C*+kovic eprsst mit gehotohopten Pr0n Bildchen? Ic hab weit eür ien Hlab Millon IEnnahme- verlste muß vo HartzIV/ALG2 leben wiel dies Erpssbanden ihre oblock apparschciks an jen Shctstellen inder EDV stzen einPustchvorbeirtendwoe normalerise let wi cihs iten müssten. Da sgha ich egstern ander zel 42 dem Hern melki udnsienm Kupel erzähltdaß man mir im1.rvi rniht hilft, er hat sic ja imemr geigert mit rüerbzukmen als Zge. PErdsonal ist ja genug da. Dsk shcutgepdprsser sexurity. Das könndie sicher bezgen doer sgen die nur für die gewerkschaft aus gegen dei Opfer udn Zeugen? Ich kenne noch ander zege die nicht vorgelasne wrden. Juwelen-ruab betrüegr aus dem RAF Treroschalg auf herrhausen Flichtinazierunsg Umfeld um "Daniela Klette". Bei Terro muß ch auc gar nicht zr polize da ist der GSTA erststazlich zustädg zu dmeman mich nicht duchlsst. Die post habe ich shcflich benchrichtg daß ich Postverlsute bekalge udndie hab sich sgar per Vorstandsshreiben der postbak entschuldigt shcftlich. Stichwort bedrohung duch Junkies an der Filie Goetheplatz ode rmirvegrigert Kotoauszüge die ich dokumentiert habe (or)lezets Jahr mit drFolge Suizid(-versuch?). WeIel kein HartzIV/Alg2 neu ebtragt werdne kann oder prozesskostehilfe wenn mankien Kotoauszüge bekommt. Liber ein EIdn mit Pusldern fsshncdenshcen als Shcrkcn ohen End it langsam ver-hungern inobdhclosgkeit. Duch "SCHREIBTSISCH-TÄTER". Erwrbs-udn Obachlose ermroden: ganu WIE DIE NAZIS ! Dei bank evregert dem Kotoinahbr slebts der vor ort kommt sien Kotoaszug, wrchslcih habsn sich die Bankier Finazjongeluere mal wieder verzpckt mit der Kohle , Suproime Kirse, Euro - Krise,w ie singe "fant4" ich wüsch jedm ien eegnahiem aber so eifch IST ES LIDER NICHT". Wir sidnher nicht im Komusmus der ans solchen Ver- sprechen Slebstverwiklichungder Frau als Küsterin wärhnd dr Satt Kinder udnalet beter pleite/zgrude ging. m Kptalsmus müssne gschäfte die ich nicht reteren wie kusgaerien dchachen, anders als im Kommsumsu da wrd für swas zaggeraebiete was die politkund partetirrstchicks bshclißen abe niemdnafe wil. Wrum beebt diekOkurrzen der pirvatensichehristdest nichtdas gehscäft udndie WISAG Luet gehe hin udnzegen die polset die sich getsrn egrtensichfilen zu alssn beid rüebrgabe des tfazge brsfe daß ich akut bdohtw rderr udnein Kidngekidppt ist nicht filemnn alssn wolltn währnd siebaer onirhen Bdycams die afnahemn rassuchen vr egrichtd eo fürsei amoteilafstest sidn und asw as zr Nowher gegendiekorruet Polsze fürhtasl Vidomaterial berismttel ustchlgen? Die sid mehr gen ien. Waurm darf icha sl eitzlenr der zduem bei de rpess ist nicht fien? Wil ichnich vorn d er gerlscftaf Verdi nen prsseaweis wil wiel dei michsonstzesernals aretgeebrlagerruelciehr fier Perssfveteretr? Wie kannes ein daß man sich weigertsie arbeit zu machen be de rpolize, ahbe dieBetan den plützlch strekreicht? SOnst sgen sie ja imer "mchn sie es shcftlcih", macht mane shcftlich vergenrsie die annhame. Oder zumidnsste die Eingangsbetsägung. UNDdas füht daz daß ic egstre nicht nur paier nchkaufen musst eund ine nue trintarone gebcjht hab amwochende dichzum Glüc k auf vorrat gekaft hatte, nuen icmusst ednnuch noch ,35 Euro zu vile zahen ag gabürghenwiel sich dieplszten wiegert in allr öfflichkeit ein irh hegeghaten stfaze shciben etegezunehemn mi threnKollegn. Geben sie es doch beiderpoliez ab,asl ichsget daß man michda evrpügelt, mein Zahstnd nicht frillg so etstnanden sei sodn nch exzessiv folter wollte sie mir nicht helfen. Ich mien, den "malkei" kenn ch noch asu der shcülerztung wenn ich mich recht entsinne. "BRD/Dsuchaldn" sei ein von Sigermächten aus moskau etc bestzets Ladn woe nur ausläder wie er was zu eldne häten aberkein einheimisch stämmgen udn so tönte, war er das, da warn doch genug zeugn dabei damsl. man drüfe nicht negatves über die frdnstämmigen geschäfstleute ("BIGFax=Polen") sagen udn eir liskersmische Osblockfrundlc Gewerkscft? Daß die EMail die SND Lietung effizeirter ausnutzt als wenn man VoIP Faxmodems / Multtifktionsdrucker daran klemmt? Weil ch der fima Bader couter etwa zlfere darf ich dem banksicherheitschef nicht mehr sagen daß das ein sicher-heitsrisiko darstellt, Fax Überweisungauftrge wo man die Unterschriften photoshopnkannauf nicht rückverfolg-baren Mherbeutzer afxanshclüssnwie in Internetcafes? Ales Racheakte linksextremistsich Gewerkschaftler und zdem foltrede (sbatzunsgmacht?) militärs? Dsic huet eigentlich jeder "the Police" nennen wie die "Cuba Si" "Poltik AG" oder "AG" ei gshcütze bezhcug im Aktercht. Die Jocneter ArGe tendiert da zu meinr Rechtsauffassung. Oder gilr "Markenrecht" nicht in der Schule udnman darf fake "nike" Turnschuhen als "liababa.com" rumlaufen? Wenn ich ds Logo "gerstatstascft" an ien Gebäde Klber drden scftzg Polize auf eine Karnevals-Uniform dann mch ich mich doch siche rnicht dervetzung des markenrechts schuldig, oder? Wie die band "queen" die ja gar nicht die "queen" ist imSinner des "anwalts der krone"e twalso "Statslssts" im angelsächsichen Rcht. DAs sit dch siche rnur varsrhe daß amn das Das shc gerstatsstnslt hinge-hängt hat, "vetshen sie spaß" vertsckte kamera, wi der Fshcigszoll den vera zanner erbettlete indem sie auto- fahrer anhilte mit kidner-straßsperren bei uns im Dorf. Da wir egdre bei Tham "huatmannvon Köpenicjk" waren. AMST UD TITELMISSBCH nnet sich das im Juristdeutsch. Sow wi der "fake Staatsbesuch" im Film "forrs Gump" mit dem "neo magazinrale Varozfakis" Stinke - Finegr. Woru m geing es nochmal? om man Telefaxe mit ienr art minulrtem Anrufebatotrer aufzeichen kann an ienr stelel des telfonnetzes, um si nch erflgetrr manilationan aienr dnerntele wide rizuspeilen. Es gng um "STREM DEITINEG" wie bei sed /PDS/"\(DieLinke\|BSW\))"/ den direkten Weg im Ntez der Telekom ode rienduch Hcker mniprten. Modem "PROTOKOLL - HANDSHAKE"s nennen das Fach-leute siehe der AS21158 zu AS43317 Fishnet Abschied. (Filme wie "#Valerian" wo ist die Seele im COAX-Kabel?) StrafanzgenOnline abhör- udn abfangfreiee Übertragung! http://faq.bintec-elmeg.com/index.php/Anrufweiterschaltung_/_Rufumleitung_%E2%80%93_Allgemeine_Hinweise_zu_IP-_und_ISDN-Anschl%C3%BCssen anrufumleitung/weiterleitung mit nutzung von eigenem zwotem B kanal | |
|
17.12.2024 06:01 |
|
|
|
|
![]() | |
| [0] |
20241217-0601-0-1.jpg |
![]() | |
| [1] |
20241217-0601-0-2.jpg |
![]() | |
| [2] |
20241217-0601-0-3.jpg |
![]() | |
| [3] |
20241217-0601-0-4.jpg |
![]() | |
| [4] |
20241217-0601-0-5.jpg |
| darumgeght es, Daß man Checksummen udn VPN Keys auf einem zwoten Kanal TWO FACTOR AUTH trasporten muß wie eine DSL/internet Olinebank Banking TAN die man per SMS erhält uaf einem zwoten Gerät der "Factor Two" der "Two factor auth". Dle md5 chcksumme des beweisvideos wie ein rück-route im BGP Looking Glass. Ist das auch rizchtg udvollstädig angekommen? Wie in einm dieser usäglichne instatbok "UNBOXING Video"s. Zeigen daß der Verstddoslta "#castAway" Paketebote keinen leeren karton abgeliefert hat währnd ie ladung unterwegs irgendwo verloren ging dundan auf te prita ebay wieder autacftchet. Darum geht es. Daß ich die Straf-Anzeige wie bei ien vatrasverlesng beim Notar Quilfizert unterschrieben abgeben wollte direkt auf dem Weihnachts-markt bei den Bullen gestren. Gegen das vorzgendes ditsusweise mit wem ih es zu tun habe. Damit man nachher nicht auf ein Film-Dreh Schwindel hereinfällt wie den unöglhe Handshake von Kennedy mit "Forrst Gump" egspeilt von (Pihaldphia) Tom Hanks. Wir eirnenrn uns diese LineUP Protocol "hiline klage".
https://www.t-online.de/nachrichten/deutschland/innenpolitik/id_100553724/vertrauensfrage-im-bundestag-parlament-entzieht-olaf-scholz-das-vertrauen.html https://lg.telekom.com/?queryTerm=155.46.172.255 https://www.reuters.com/world/europe/german-chancellor-scholz-ask-parliament-clear-way-new-elections-2024-12-15/ Wa shat jezt der film "#Philadelphia" mit der "hilin Klage" wo es darum geht wie man Teleworker per VPN anbindet an eien Zral Login.Srever udn wie lange das TTL-Caching der Session-Cookies/Tokens im Zweifelsfall dauert bis ein neus Cookie angfragt werden muß. Etwa am Beispiel von einem Windows NT B(ackup) D(omain) C(ontoller) NAS (Network Attached Storage). Da geht es um nix ders als die Frage wie effizieent man srevr-Lizene ausnutzen kann, nehemnwir an, ich hab inienm Büro eine Lizendie für 5 Plätze gleichzeiti gilt aber nur 3 Nutzer im LAN/WAN und im andern Büro habe ich 7 Nutzer und müsste eigent-lich dafür eien 10 Plätez Lizen kauefn wiele s dienur in 5er - Schritten gibt, aswo etwder 5 doer dann als nächst-gößrer 10) habe im andren Büro derselben Firma aber noch die benötgten 2 Plätze übrig (zuviele gekauft). Darf ich die "CAL"s vom einen Netz aufs andere übetragen? Oder muß ich unnögte Lizenzen die ich nie nuten kann kaufen. Wie eine Verpackungdie zu groß ist für dne inhalt. Als weneinSighgehasuhalt esn wegrefen muß weil es imSupermekt kien klien protioen firsher Lebsmittel gibt. Ist es nicht imweistens sinen Betrg am Kunden ihn per Varkcusgröße zu zwubgen mehr zu kaufen als er braucht? bei den zuvl gekaufen Lebmiten würde niemdn aufd ei IDee kommen einrchen Oma zu verbieten si einer amren aFmie beer Tafel zusteften bevrsoe verderben da sie islb di eGroßakcunsg nicht aein aufessen kann. Wa hat das mit WAN Roter LineUP zu tun? | |
|
17.12.2024 10:30 |
|
|
|
|
![]() | |
| [0] |
20241217-1030-0-1.jpg |
![]() | |
| [1] |
20241217-1030-0-2.jpg |
![]() | |
| [2] |
20241217-1030-0-3.jpg |
| Und nun von der mächtigen SCHLANGE ind der post filiale die zu lang ist da eine von terroristen bedrohete perosn in irhe warten kann ohne gefärdrte zu werden (und den anch der weidersgung udntruupenzug hier-gebleben cast way versandsoldaten der cargo city mi tt ihren in der rurkiane abgestüten mh17 dhl frachfliegern, egstrn gab es einen flugezuegabsturz-film im udf abe rnich war ein-fach zu müde) zu etwas komplett anderem. Nämlich zu dem 18:00 Uhr TV - Vorabendprogramm vom gestrigen Mobtag den 16. Dezember 2024, ca. 18:00 Uhr. Dort gabs Spider - Pig, was mich ans sch(W)eine-Netz erinnert hat: http://blog.sch-einesystem.de wie das Schweinesystem der Kaampfbegriff der Raf i.v.M dem Euro-System / Geld-scheinsytem der Bundesbank von der man auf Plaketten im Westend/ahhofsvertel immer wieder liest, also das Spider - Pig muss gerettet werden von MONTHY Burns. Und es ging um die Sandwiches in der "Mayo Klinik" für antroposophische Medizin. Das wär ie gundens Fressn für Kisrten haser vom Sat1 fühtsücksFrshene.aber diemcht ja jetzt Homeoffice Teleworking im "schönen Süden". rektor Skinner ärgerte sich über einen PIRATEN-SENDER im Schullautsprecher was mich an die Zten eriner als hier AFN noch sendete mit ganz enormer Wattzahl. Es ging dnan noch wie bei #berlinNeuKölln02407/#berlinTagUndNacht (#WSMDS-WerStiehltMirDieShow und dneByreutehr fetspsilen) um eien #Foodtruck udn dentag an dem Homer efuhr
daßsiceine Eltern scheiden lassen. Es gab eine O.J. Simposn artige Verfolgungsjagd. UDn ir efuhren daß "Chili Dog"s und Frustessen bei Hmer von dieser Kidhisterinenrung herrühren. Dieser tag muß gaz enorm wichtig gewesen sein. Es gab einen Polizei -Einstaz und Homer wuder zumStar der TV-Nachrichten. (Mayo Klinik, wer komt auf soclhe ideen? Kraft / Miracel Whipp?). Und danach gab es noch #berlinNueKölln02407 und #berlinTagUndNacht wo es u "ferzangwbeowel" ging, den Roman von "heinrich Spoerl" dme autoren von nem Buch as ic mal empfohlen habe in Anlehnung an den TGIF Freitag - Mittag Grundschule lesezirkel in Bangkok die "Memoiren eines mittelmässigen Schülers". Ob es das im hugentobel Bücherragl gib od eronlne wie das neue Buch von Palmina Merkel das heit wie ein George Michael Song mit Mddesl-Vido ais den 1990ern heißt? Und es gab Weihnchstbäckerei "Kekse aus Australien". Was sgat das nur der Floghanfen Zoll zu? Ritualgebäck? https://www.tvinfo.de/fernsehprogramm/2032216116-die-simpsons https://www.tvinfo.de/fernsehprogramm/2032216122-die-simpsons https://www.tvinfo.de/fernsehprogramm/2032217019-berlin-tag-amp-nacht https://www.welt.de/print/die_welt/finanzen/article125094921/Wachsende-Zahl-der-Scheidungen-treibt-Konjunktur.html https://www.aerzteblatt.de/nachrichten/55880/Wirtschaftskrisen-erhoehen-Suizidrate https://de.wikipedia.org/wiki/Magnolia_(Film) a props sch-lange-stehen https://de.dreamstime.com/lizenzfreie-stockfotos-chinesischer-neues-jahr-parade-drache-10-image4302738 | |
|
17.12.2024 16:00 |
|
|
|
|
![]() | |
| [0] |
20241217-1600-0-1.jpg |
![]() | |
| [1] |
20241217-1600-0-2.jpg |
![]() | |
| [2] |
20241217-1600-0-3.jpg |
![]() | |
| [3] |
20241217-1600-0-4.jpg |
![]() | |
| [4] |
20241217-1600-0-5.jpg |
| Huet wollte ich nachhaken was mit meinem Porzss-kosten-hilfsantrag ist udn ob ich notfasla uch Ohne wie auf der chtsefhsbelhrung indem mir am 12. Dezember 2024 zu-gegangenen Beschluss auf der Rückseite vermerkt wurde auch so beim "Landgericht , Gerichtsstraße 2, 60313 Frankfurt a.M." wo ich war bei d rrchatragsstslle Behscre zu Protokoll geben kann und zwar ganz genauso wie jeder normale andere Staatsbürger auch. Ich habe es wie stets zunächst i Guten evrcht mit der korrupten Btrüergbande. Ich habe sogar ds Orgional shciben mitgenommen. wo draf stand daß ich da hin gehen und meiene Beschwerde loswerden kann. De rtyp idne rpforts sget das aktezechn ei ja kosmch,d as ie nicht vonher da sichte ich ihm, dem betan der oswas eiglich wissnemsste, das lagdicht sei ja auch die Rvesions-/Berufungsinstanz für den ind rhanh.-straße 28, 60528 Framkfurt a.M. gefassten Besch_ss. Das steh da uch draf. Dnn etlfoenrt er weg hinuder her udn miet immer wider ne da müsen sie dahin gehen und ich sagte, nein, Lsn si mal genau nch da steht explizi Grichstraße 2, D-&313 Frankfurt a.M. Landgericht. da ich shconmla da sein, ich wolle ch fargenws mien atrag auf Prozesskostehifs-formuolremche, ich bekäme keienper post, habe auch mit dmeposboten gerpchen vorhin,der sgt es war explize nichdts dabi fürmich, der hcte shcon imer bsoder draf und sgat mir wnn er was hat und mcihuetwegs tirfft nchdem ich ihm mienLeid geklagt habe. Als nächste
behate er das sie ebr ineienma dnern gebäde udnich hab mich dann bid dem vogstzetn Gericht, dem OLG/gerststaslcat nochlam rückverichert , die zustädige stelle ist im Gebüde B, 2. Sock. Er hate uch behate das ei worder und das sie nicht uo todate ber das ist est wenge tage alt., nicht ma ien woche der Asuedcuk, er st vor 5 inworten: fünf Tagn zugestellt. ICh hab dannapssten gebetne mir zu helfen ob sienaälte wärne doer er als zgen aussgen könnetn wa sman mit mri heir vstaralte, dann ahbe ich egst es richt r udnich wil eien drhgenehgung beim Ladgerichtsädisten eiholen ichsei shcließliche Presse/blogger. Udn ich ging zur barrire mit den matlldektroren woe die scriyt stand da finge die mich ab udnbahautetn ich düfern nich rein. In dem mOmant bicn sich dann arus und habe das Handy indie hd genommen nd duchdie noch offen Tür dentypen gefiklmt, "errHeser" oder sowas stand auf siner Unform. E rhate nr brille udndie dami di die matlldetekrtornkotrlle am OLG Mcht sntdnd dieb. Dann bin ich zum OLG gegnag udn habe sgat ich barch sofort ieneisgweilge evrfügung auf hersgab eisn Porzssksotehiflbschlsses udn daß man mich vrolässt. In de rpoftrdort stnd de rbate de rgstre mit Ghrhn malik inder gsrtstslscfatpfort gegenüerb stnd, her malkei wr heute uchdort, ich hab jagest dßa ich auch dort war de shcikte mich zzurPolize, auchder mann ma OLG. Die wollten daß ich totz Notfall in ire runmitebareen nähe zum 5. Revier gehe das für dne ttaort nicht zustädig ist so ch das rcht evstsnden habe. IC hae dne egsgt daß ich beat e bruche zur beissicherung udn ur vehaftung de rjiszbeaten die mich ander duchstzug meirn Rchte hidenrn, ichhabe uch beimOLG erkärt daß ich möchet daß jezt alnsgam mal ienSEK anrückt undie korruetn Kolegn vehafte,wie so oftshcon. Dann bin ich ins cfe am Bürgermt ganage udn ahb ien rtses Vido hochgalden nchdme ich dort ien cfe bestelt habe damit man mir zUgang zu WLAN gibt. Fls man dort ien Passort Phising programm hat habich sehchheisthalebr nur auf ien ScoialMedia kanal hogalden, bindannzum Suprmekt de ruch fersie welan hat udn habe von rot aus aufd en andern social media kanals hochgerland. Dann bin ich nach hause und lde jet von dort aus alle sbei mri in die cloud zustälich. Hbe da der sound teils vertsädlichwr, telsnochal verucdt ei Lausträker aufzudrehen mit per softwwater nachträglich. https://www.tiktok.com/@maximilianbaehring/video/7449395617136217366 http://banktunnel.eu/landgericht.mp4 https://zentral-bank.eu/landgericht.mp4 | |
|
17.12.2024 16:01 |
|
|
|
|
![]() | |
| [0] |
20241217-1601-0-1.jpg |
![]() | |
| [1] |
20241217-1601-0-2.jpg |
![]() | |
| [2] |
20241217-1601-0-3.jpg |
![]() | |
| [3] |
20241217-1601-0-4.jpg |
![]() | |
| [4] |
20241217-1601-0-5.jpg |
![]() | |
| [5] |
20241217-1601-0-6.jpg |
| http://banktunnel.eu/landgericht.mp4
https://zentral-bank.eu/landgericht.mp4 | |
|
17.12.2024 17:30 |
|
|
|
|
![]() | |
| [0] |
20241217-1730-0-1.jpg |
![]() | |
| [1] |
20241217-1730-0-2.jpg |
![]() | |
| [2] |
20241217-1730-0-3.jpg |
![]() | |
| [3] |
20241217-1730-0-4.jpg |
![]() | |
| [4] |
20241217-1730-0-5.jpg |
![]() | |
| [5] |
20241217-1730-0-6.jpg |
| Ich war dann gezwungenermaßen noch einen Cafe trinken im dem ataort nächstgelegen Cafe mit WLAN/WIFI am Bürgeramt gegenüber mit einem case senstven WLAN/WIFI Passwort umd die erste Version der Beweismittel noch ungeshcitten sofort hochzuladen bevor man mich mal widr iaf de rtsraße verhfte udn auf trotoiir wirft,mir das spthoenentersset um die Vido-beweies zu löschen die einen Balsten seitens der Beamten. Dbai habe ich darauf geachte nur einev o mehren socialMedi patomrne z nutzen udnkein egen srver um sicher vor pshisng attacken zu sein, wirder socuial mede Account irgnwei gehackt per nem abgphishten passwort wären meien egensrevrnicht beroffen, dann bin ich zumSueprmekt wo es auch freies WLAN gibt udn hab vondort, ienmadnern anshcluss aus verct ien zwten andrnsocial mdie kanal zu befüttern. DA habichdenpostboten gterffend e rmir sgte es ein kein Post fürmich dabeigewesen heute. Dann ertsbin ichnch Huas ichde rgfahra usstzen daß wider ein SWAT Teammien Tür aufbucht udnmich am Hochaldn der Beweise hindert. CIh endtckte daß es mal wider igendelche Netz-Zensur begdnten Löschgungen gab aufsocial meida.Dann hab ich den auf socail medi ugelaodeten cotent etsmal auf neVPS in Nordoeruoa rutegrladen udn von dort aus dann weiter in miene (Blog-Chain, ienKopie von der anderen, das spart Zetbeim Chsckumenblden wielmannur den letzetn kotrolleren
muß, stimmt die chksumem mit dem Original üerbein sidn alleandernkopien okay) dann auf die Cloud-server von dort aus. Das hilft ber ales nurbeidnegt wenn man so eienmsie vercherband hier auch noch im haus hat. ich hab mich ja herch drüber bshcer daß heirperment aiegrcihenw urde udnichdeshlab dem ahsumsietr dennshclüssle wegegnomenhab sitedem ist es besser. Diese einrüche könen fühere miter auch bezuegen. So oft wie man mir die Tür iegreammt hat udmichd annim flur uter höllsiche shcrezen aufden bdoen warf nd auf meienKnöcheln urmtrampelet, so wenig tar uch ic nochdem grudgetzlcihen rhct auf die Unevreltlichkeitder wohnung (füher besodes des shclfzimemrs bevro der gnaz große abbau de grundrechet begann). Getsrn habich zffällig beim hochalden auf scoil media von3stien Kachelendtckt wo das bagrirsen statsslctgsäde bagildet war mit der "uanatstaber nwürde des menshcne" Inschrcft and e rfassdae, das ist symbolsich zuz evtshen. Die Verbrechrband kümert ie gelcihet de rmschn (die würder des Adess ist auc nicht adnes alsdie der bürger oder rslichen einwohner) vor dem egstz ien drck.Mäner sidn zumgetöte wrdne da beide whrpflciht, rchte gibst nur für inde rgegen herumhrend weiblcieh shcmalpen. Am bestn mit Mighru die nazi udn arssmus brüllen. https://www.tiktok.com/@maximilianbaehring/video/7449421918169615638 http://banktunnel.eu/trycafe.mp4 https://zentral-bank.eu/trycafe.mp4 | |
|
18.12.2024 05:28 |
|
|
|
|
![]() | |
| [0] |
20241218-0528-0-1.jpg |
|
18.12.2024 06:00 |
|
|
|
|
![]() | |
| [0] |
20241218-0600-0-1.jpg |
![]() | |
| [1] |
20241218-0600-0-2.jpg |
![]() | |
| [2] |
20241218-0600-0-3.jpg |
![]() | |
| [3] |
20241218-0600-0-4.jpg |
![]() | |
| [4] |
20241218-0600-0-5.jpg |
![]() | |
| [5] |
20241218-0600-0-6.jpg |
![]() | |
| [6] |
20241218-0600-0-7.jpg |
| 1 / 10 Onlinewache: Andere Strafanzeige, Mi 18 Dez | Bähring, Maxmil …
Belehrung / Details Info Onlinewache: Andere Strafanzeige Ihr Vorgang wurde unter folgendem Onlinewachen-Az. angelegt: 1218 0559 9348 Belehrung 2 / 10 Andere Strafanzeige Bähring, Maxmilian 1218 0559 9348 Beschuldigtenbelehrung Sollten Sie sich selbst anzeigen wollen, sind Sie Beschuldigter einer Straftat. In diesem Fall trifft auf Sie die Beschuldigtenbelehrung zu. Belasten Sie sich durch Ihre Anzeige selbst? * Nein 3 / 10 Andere Strafanzeige Bähring, Maxmilian 1218 0559 9348 Personendaten Personalien Sind Sie selbst Geschädigte/r? * Ja, ich bin selbst geschädigt Eigene Personalien Nachname * Bähring Vorname * Maxmilian Geschlecht * männlich Akad. Grad Geburtsdatum * 21.07.1975 Geburtsort * Bad Homburg v.d.Höhe Geburtsland * Deutschland Staatsangehörigkeit Zusätzliche Staatsangehörig. Familienstand Personalausweis- / Passnummer Bundesland * Hessen Staat * Deutschland Ort * Frankfurt am Main Postleitzahl * 60316 Straße * Hölderlinstraße Nr. * 4 Zus. ,6.OG/ DG Telefonnummer * 017665605075 Weitere Telefonnummer E-Mail * maximilian.baehring@googlemail.com Tatangaben Wann geschah die Tat? * Ich kann einen Tatzeitpunkt benennen Ich kann einen Tatzeitraum benennen Zeitpunkt Datum * 16.12.2024 Uhrzeit * 14:40 Feststellzeitpunkt des Sachverhalts Datum Uhrzeit 4 / 10 Andere Strafanzeige Bähring, Maxmilian 1218 0559 9348 Ist Ihnen bekannt, wo sich die Straftat ereignet hat? * Ja Tatort Bundesland * Hessen Staat * Deutschland Ort * Frankfurt am Main Postleitzahl 60313 Straße * An der Hauptwache Nr. Zus. Weitere Angaben zum Tatort Polizeibus Weihnachtsmarkt, gegenüber Kaufhof, vor Katharinen(?)kirche Angaben zu Tatverdächtigen * Ich kann Angaben zu einer/m Tatverdächtigen machen Ich kann Angaben zu einer tatverdächtigen Firma/Institution machen Ich kann keine Angaben zu Tatverdächtigen machen Tatverdächtige Tatverdächtige Person 1 5 / 10 Andere Strafanzeige Bähring, Maxmilian 1218 0559 9348 Nachname Vorname Geschlecht Akad. Grad Geburtsdatum Geburtsort Geburtsland Staatsangehörigkeit Zusätzliche Staatsangehörig. Familienstand Bundesland Hessen Staat Deutschland Ort Bad Homburg v. d. Höhe Postleitzahl 61348 Straße Ritter-von-Marx-Brücke Nr. 8 Zus. exnk3s sl Telefonnummer Weitere Telefonnummer Personenbeschreibung / weitere Angaben zur/zum Tatverdächtigen laut Uniform Polizistin, blonde mir aus Pressemeeting in Bad Homburger Gaststätte Hexenkessel Ende 1998 bekannt, rotblode rkolleg mit Brille Auf welchem Weg haben Sie diese Daten erlangt? * im Gegenstaz zu Ihne sie Terrorhelfer Immobilentrgugs- Rubmörder, kidapper und Vegrlgerband die Sprengtoffexplosion herbeifürht wie immer ganz legalem. 6 / 10 Andere Strafanzeige Bähring, Maxmilian 1218 0559 9348 Sachverhalt 7 / 10 Andere Strafanzeige Bähring, Maxmilian 1218 0559 9348 Andere Strafanzeige Welche Straftat wollen Sie anzeigen? * Srfavertelung im Amt, Bihife udnbegüstigung von Sprgetsoffterr/Mord, Vergeltigung, Kidnapping Eishcüchtreung von Zgen SPH/ST(?) 1436670/2024 Polizeipräsidium Frankfurt (Online- Az. 1216 1029 2117) SPH/ST(?) 1436943/2024 Polizeipräsidium Frankfurt (Online-Az. 1216 1118 6141) Beschreiben Sie den Sachverhalt möglichst detailliert * Hiermit erweitere ich meine Strafanzeigen vom 16. Dezemebr 2024, 10:38 und 11:20 Uhr Online/Email Fax 11:29 Uhrm 11:42 Uhr Sowie Einschreiben RR 6652 2197 4DE SPH/ST(?) 1436670/2024 Polizei Frankfurt (Online-Az. 1216 1029 2117) SPH/ST(?) 1436943/2024 Polizei Frankfurt (Online-Az. 1216 1118 6141) Wie ihnene bekannt sien dürfte werde ich von eienr band korrupter Polizisten und privat-rechtlicher Strafverfolger es Budnvrades der shcn- UDnshclißegsllscften (Arbeitegeberverand Geldtsraprterfahrer) womien Mutter asl Chefekretärin tätig war wie Mitarbeiter den Justiz (auch Staats-anwaltschaft) unter anderem per Kidnapping erpresst nicht gegen diese auszusagen, man hat gelcih merhcf verucht mich zu ermorden und dei eigenen Dienstbefugnises straf-vereitelnd im Amte missbraucht. DA Kidn hat manmir unter freishitsberaubung ud Vegitung mir Medikamentne 1999 navagawaltgets, nchdemmanmenshcger Freundin bedroht hatte. Es geht darum sich duch krrute Ex-Miltärs/Vopos/NVA- Ofizuere/Stasi-Mitabeiter Rotramsite insbesbnoder vom Balan udn SüdtOserua aber auch aus Groß-britannien udn der USarmy Jobs innrhalb der Rechstrsmebching/Datnverabeitung -Sicehrist beim Budvrand der Wach- un Schließgsellschaften zu erprssen woebi die Baumafai (vor allem jene um "peanuts - die bank zahlt alles" die mit jüdischem Alteigentum sepkuliert das im Rahmen derneuen etszgubung zur ehcädigung deropfer von Dsozalisctehn Dikaturen 1933-1989 zurcgegeb wird) mi tihrne isn Land gshclsuten Shcisbstädige Loshsklaven aus Süd-Osertuoa ud dem balan vor alllem,aber uch aus afrika udn syren eine treibede Role spielt, egasu wie NAhhctendisnt sowh des Westens as auch aus dem Osblock. Wie mein Prsse/Ermttlekrisen Pseudonym REWARD SNOWwhiteDENTS verrät (dre andere ist ein sestainsgeiler Doppelgänger) https://www.fnp.de/frankfurt/frankfurter-netzaktivist-legt-sich-10753211.html wurd ich im Rahmen einr gablche shculung von mri asl pottilm bwerber um einder Euopäsch Ztra Bank Active Dirtor udn DNS-Server von sdistchen AusbildernderpOlze/Schheistdiste (precur?) des budnevrbdes erpsst ienoltschnKotakte zu nutzen ihen Jobs und aufträge zu eprsen sowei Polisten udnstatsälte/Rchtern Karrirne, wurde ichalso Oper von Foltermethdenaus demstai-handbuchdie als "KOTAKTLOSEN BOXEN" baknt sind. Dazu vftet mandieIpfe rmitMeidkament (dh r kannich nicht merh rodlich tipepn wbohlich alGermistik studiert ud ien shcibhshsinekur absgchlossenhabe) so lange bs sie nichtmerh zu Arzt gehen asu Ansg vor wieter Vergtufng. Beimrahat man Dyslxie veruschende medikament genutz gegn parknso dier DHS oderwosw. Die man mir verchet als man mich nach ienmsuzdevrcuhidner pschiatre asn bettgefsselt festhielt. Die Polizeeaten die seit dem Sprgtsoffnshclag auf Alfred herrasuen udnden dmait in Zusammenhagn stehenden Andere Strafanzeige Bähring, Maxmilian 1218 0559 9348 8 / 10 AnshclaguafTreuhand-Anstslsschef Rohwedder sowei ien Juwelnrab der unägstgefasste terroisten Danila Kletet zur fluchtfinzeirung nch demanshcag bie dem BAd hombruegr Juwelier Zeus nichts als Scheiße gabut haben. Obwohl nszhcn auchder shculbchvrag Budstral für polituschee Bildung den die Regierung bezahlt hacohoffzill bestätgt daß Bad Homurger udnFrankfzer Polisztten lügen https://www.bpb.de/kurz-knapp/hintergrund-aktuell/196955/vor-30-jahren-ermordung-von-alfred-herrhausen/ ich gefolterwrde uter den Pseudonym JACOB(istraßenshcüeztusgrdtion abd homburg) VON(3sat Kulruzet christian)METZdER(pressekontakt) sowie auch (6-uslt molCh.at) erde ich auf das dsittscs eerqüult von agliche Polez/terroausbidlern die vrhdernollen da ich mich an aushcbusgverfahrnvedhder wiel ichadnr als dnerkine Shctz/shcer7Bstschusgged ansie zahle mit mienr ehlmagen fimra. Als ich zu EU Komissionprädistentinvonde rleen duchdigenwllte uaf ienrwhlfaverstaltung wurd ich vonPlistten des 5. Rver vehafftet, nckt inien Zell egsteckt oebohl ichsgte daß ichin meirn fktion alsPrsse7blgger imw halkapf uenwegs bindda uch anhand von Intrevei-uetralge belegn konnte . Das war am 15.August 2017, man behderte mcihals Organ der pess ud mienpationsrcht so wei man duch abhören meisn telfons me rrabita sl plsiscre blgg rbehdert udn dmait wahlen auchdei vo Trump inden USA gezit sabotret sitnes de rdushcn Polize http://banktunnel.eu/sch-einesystem/201708150852-164226835088-1.jpg http://banktunnel.eu/decl-war/201607060534-147002367028-1.jpg Brak Oba de rmich hausduchsuchn liße hat die whl evrlroen, Trump gewonnen dessen neuen Vizeeräsidenten Vance ich (sieh de Siposn folge dazu) mir genau wie trump bekanntist. Korrute karregerile Ermiter udn Prsslute verchen den prita orgsierten zeugenshcutz in dem ich mich als Zeuge gend e kurruet Justz/presse bfidner auszuntzenummcih zu mroden idnem se bhaztensie wärne meinaubideroder ich wäre ir egebenr mitefakten Uteralegn. Miteienm nefhrten Kidn und der bdrohten Kolllitonein nötigt man mir usrsfcten ab. Will ich aber onlienstfaziegn uetrschrieben abage vewrigert amn entgegenamhe. https://www.tiktok.com/@maximilianbaehring/video/7449017632969264406 https://zentral-bank.eu/landgericht.mp4 9 / 10 Andere Strafanzeige Bähring, Maxmilian 1218 0559 9348 Uploads / Abschluss Upload Beweismittel Haben Sie Fotos oder Dokumente als Upload? * Ja Laden Sie bitte hier Ihre Unterlagen / Beweismittel hoch * Dateien: 3 | Gesamtgröße: 0.7 MB (219 KB) memepbig.jpg (250 KB) 20241216-anzeige-1v2.pdf (249 KB) 20241216-anzeige-2v2.pdf Haben Sie weitere Unterlagen / Beweismittel zur Strafanzeige? * Ja Beschreibung der Unterlagen http://banktunnel.eu/sch-einesystem/20241216.htm ( PDF-Datei sch-einesystem.156 http://banktunnel.eu/pdf.php ) https://zentral-bank.eu/tumblr.com/ und https://www.tiktok.com/@maximilianbaehring/ .... Andere Strafanzeige Bähring, Maxmilian 1218 0559 9348 10 / 10 Verzicht auf Einstellungsbescheid * Nein Ihre Anzeige wird der zuständigen Staatsanwaltschaft zur Prüfung vorgelegt. Die Staatsanwaltschaft kann unter bestimmten Voraussetzungen ein Verfahren nach Abschluss der Ermittlungen einstellen, z. B. wenn die Ermittlungen ergeben haben, dass keine Straftat vorliegt oder keine Hinweise auf einen Täter gegeben sind. Mit der Aktivierung des Ankreuzfeldes stimmen Sie dem Verzicht auf einen Einstellungsbescheid durch die Staatsanwaltschaft zu. Wünschen Sie eine Bestätigung über die Erstattung der Strafanzeige? * Ja E-Mail-Adresse * maximilian.baehring@googlemail.com Andere Strafanzeige Bähring, Maxmilian 1218 0559 9348 -------- Nachricht -------- Betreff: Faxversand an 06975580808 war erfolgreich Datum: Wed, 18 Dec 2024 05:25:51 +0000 (UTC) Von: Fax <noreply_fax@> An: maximilian.baehring@ Web2Fax Faxversand an 06975580808 war erfolgreich Guten Tag, folgendes Fax wurde erfolgreich zugestellt: Ihre Fax-Rufnummer: 00496924749613 Ihre Faxkennung: Maximilian-Baehring Empfänger: 06975580808 Zeitpunkt: Wed, 18 Dec 2024 06:25:51 +0100 Seiten: 10 Eine Kopie des Faxes finden Sie im Anhang. Wir danken Ihnen dafür, dass Sie unseren Service genutzt haben. -------- Nachricht -------- Betreff: Bearbeitung Ihres Anliegens aus der Onlinewache Datum: 18 Dec 2024 06:01:16 +0100 Von: onlinewache@he.onlinewache.polizei.de An: maximilian.baehring@googlemail.com Sehr geehrte Nutzerin, sehr geehrter Nutzer der Onlinewache der Polizei Hessen, wir haben *Ihr Anliegen vom 18.12.2024* (Onlinewachen-Az. 1218 0559 9348) erfolgreich zur Bearbeitung an folgende Dienststelle übergeben: * *Polizeipräsidium Frankfurt* * Vorgangsnummer Polizei 1445390/2024 * *Telefon* +49697550 <tel:+49697550> Falls Sie Fragen zum weiteren Vorgehen bzw. zum Status Ihres Anliegens haben oder wenn Sie einen Nachtrag einreichen möchten, wenden Sie sich bitte an diese Dienststelle. Mit freundlichen Grüßen /Ihre Polizei Hessen/ /*Bitte beachten Sie*, dass diese E-Mail automatisch generiert wird und lediglich den Eingang Ihrer gemachten Angaben bei uns bestätigt. Bitte antworten Sie nicht auf diese E-Mail, da Ihre Nachricht an diese Adresse aus technischen Gründen nicht entgegengenommen werden kann. / | |
|
18.12.2024 07:45 |
|
|
|
|
![]() | |
| [0] |
20241218-0745-0-1.jpg |
![]() | |
| [1] |
20241218-0745-0-2.jpg |
![]() | |
| [2] |
20241218-0745-0-3.jpg |
![]() | |
| [3] |
20241218-0745-0-4.jpg |
![]() | |
| [4] |
20241218-0745-0-5.jpg |
![]() | |
| [5] |
20241218-0745-0-6.jpg |
![]() | |
| [6] |
20241218-0745-0-7.jpg |
| 1 / 10 Onlinewache: Andere Strafanzeige, Mi 18 Dez | Bähring, Maximi …
Belehrung / Details Onlinewache: Andere Strafanzeige 1218 0739 8728 2 / 10 Andere Strafanzeige Bähring, Maximilian 1218 0739 8728 Belasten Sie sich durch Ihre Anzeige selbst? * Nein 3 / 10 Andere Strafanzeige Bähring, Maximilian 1218 0739 8728 Personendaten Personalien Sind Sie selbst Geschädigte/r? * Ja, ich bin selbst geschädigt Eigene Personalien Nachname * Bähring Vorname * Maximilian Geschlecht * männlich Akad. Grad Geburtsdatum * 21.07.1975 Geburtsort * Bad Homburg v.d.Höhe Geburtsland * Deutschland Staatsangehörigkeit Zusätzliche Staatsangehörig. Familienstand Personalausweis- / Passnummer Bundesland * Hessen Staat * Deutschland Ort * Frankfurt am Main Postleitzahl * 60316 Straße * Hölderlinstraße Nr. * 4 Zus. Telefonnummer * 017665605075 Weitere Telefonnummer E-Mail * maximilian.baehring@googlemail.com Tatangaben Wann geschah die Tat? * Ich kann einen Tatzeitpunkt benennen Ich kann einen Tatzeitraum benennen Zeitpunkt Datum * 17.12.2024 Uhrzeit * 13:00 Feststellzeitpunkt des Sachverhalts Datum Uhrzeit Andere Strafanzeige Bähring, Maximilian 1218 0739 8728 4 / 10 Ist Ihnen bekannt, wo sich die Straftat ereignet hat? * Ja Nein Tatort Bundesland * Hessen Staat * Deutschland Ort * Frankfurt am Main Postleitzahl 60313 Straße * Gerichtsstraße Nr. 2 Zus. Weitere Angaben zum Tatort Pförtnerloge/Foyer Gerichtsgebäude B, GStA/OLG Zeil 42,Polizei Zeil 33 Angaben zu Tatverdächtigen * Ich kann Angaben zu einer/m Tatverdächtigen machen Ich kann Angaben zu einer tatverdächtigen Firma/Institution machen Ich kann keine Angaben zu Tatverdächtigen machen Tatverdächtige Tatverdächtige Person 1 5 / 10 Andere Strafanzeige Bähring, Maximilian 1218 0739 8728 Nachname "Heuser" Vorname Herr Geschlecht divers Akad. Grad unter garantie keinen Geburtsdatum Geburtsort miese Erziehung Geburtsland Afghanistan Staatsangehörigkeit Zusätzliche Staatsangehörig. Familienstand Bundesland Hessen Staat Deutschland Ort Frankfurt am Main Postleitzahl 60313 Straße Gerichtsstraße Nr. 2 Zus. Telefonnummer +49 69 1367-0 Weitere Telefonnummer Personenbeschreibung / weitere Angaben zur/zum Tatverdächtigen siee risen doch sonst so gren Oppostitinleln/Joranslsten die klamotten ruter zumsie zu demütgen, ein Mann (pseudonym für Mensch, etwa in Mann-schaft) ist dieses bis cf korupte Schwein nicht Auf welchem Weg haben Sie diese Daten erlangt? * Namensschild auf sien "huatmschn von Köpenick" uniform, wennso eis shcin betarer ist ode rwiklcih Justzansgtllter dann läft indeism Land was shcife, ich hab Vidofanhamen von ihm bei Tatbegehung 6 / 10 Andere Strafanzeige Bähring, Maximilian 1218 0739 8728 Sachverhalt 7 / 10 Andere Strafanzeige Bähring, Maximilian 1218 0739 8728 Andere Strafanzeige Welche Straftat wollen Sie anzeigen? * Strafvertelung im Amt, Begüstigung Beifilhfe von Mord udnsprgtsoffnshclägen , Vergewaltigung und Kidnapping SPH/ST 1445390/2024 Polizeipräsidium Frankfurt (Online- Az. 1218 0559 9348) SPH/ST(?) 1436670/2024 Polizeipräsidium Frankfurt (Online- Az. 1216 1029 2117) SPH/ST(?) 1436943/2024 Polizeipräsidium Frankfurt (Online-Az. 1216 1118 6141) Beschreiben Sie den Sachverhalt möglichst detailliert * Aufgrudn ganz gezielter Sabotga duch korrupte Polizisten dei von Verbrechern Softwaare beschaffen udnembsudversndder shc-dns hclißgsslscften (bakschrheit/Gstransporte) wo mein Mtter Chfsträrin ar evrkuafenw ollten wollten reicht der Platz hier nicht aus, gezilt demütgt, foltret, quält und zermürbtman mich sietnd der Poliszegerkscft da meinMuter zur abrietgebervrabd gehört. Polizebetae düfen nichts streiken, daß wissn sie, denncoh wer ich als NAghörge gezilt aus das dsistschst gefolter um geld zu erprssen, eta duch Zisnmanipation bei Bakn um polisztetn eiegheim zu shchffen, bei der PEssung von VErmitenr (liegshcft appesgasse 2, Bad Homburg wo ien Korruter Securiuty sich eine billgemite eprssne wollte), dei Hohe ifaltion bei der EZB die sie imSermerkt nchfühlrn köne ist folge der epssunge von Führusgeben PErosnl im Bskc/8schheistebrich) dch kirmibnlle bei Polize/Justz/terobwehr des Miltärs und der justiz. Ich werde mit ienem entührten Kdinerpsste, kan jedne stz den ich sge hieb udnsichfste mitbweisen uteramuren,der Üebrigende Teild er polste indushcland sowie de rjusrt ist korrut und imbakbrich rgeirt ein rgelchet Mafia aus gerlscftler die Korruetn baufisos Geldzsuchazt, ach epr Erpssung von Poltikern. Di eprss wird gezit iegschüchtert. Als Folge meirn Arbeit haben Olaf Scholz udn Oskar isrius ihe Berger regerungaufegen müssen, ich steh in täglich Koat zu Regerung, Diplamten, Prssvetreten, NGOs wie manety Interantiona, Miltärischem nchshctendisnt, azhrichen Justz udn stfavefolgusbhröden. ehrcfh hat man mich umzurgen evrcht mienr Anti-Korrutiosn arebiet wgene. Strafvertelung im Amt, Begüstigung Beifilhfe von Mord udnsprgtsoffnshclägen , Vergewaltigung und Kidnapping SPH/ST 1445390/2024 Polizeipräsidium Frankfurt (Online- Az. 1218 0559 9348) SPH/ST(?) 1436670/2024 Polizeipräsidium Frankfurt (Online- Az. 1216 1029 2117) SPH/ST(?) 1436943/2024 Polizeipräsidium Frankfurt (Online-Az. 1216 1118 6141) Akteull eghte s um folter am 24.,.Dezember 2023. EIn amchtgeiler anwlt der dfür sgrt daß meinEigaben beiGricht nicht ordnlich bearbeiet wrden und mienpost uschagen wird evrcht sich idnem er mich dann geegnemeinwillen evrtgenwill, ich häte leirb eienanlt der sien arbeit dorlich mcht statt mich zu Spielabll sienr Mchstspiclhen, also man evrucht duch geziets ushclagenvonPost die rgeeirung uze rpssen. E sghet dabi umdei soagnnet "statbsuch veglrtgung". Mit ienr bedohtenshcgern Freundin udn ienmentührten Kidn das man mir vonienr Nute aus dem DBSM/SDo-Maosmilieu die af mich ansgstzt wurde unter Friheistebruabung udn Mdikamentenvergsftzung hat gezilt anvegreltigen lassn und ann entührt um mich und amitdenbaksktor wetsuopas kotolerne udn eprssn zu könen(ich solet dasml zetra DNS/LoginS rever der ZEB EDV techsich betreun) vom bajkesicherhistavd her, habe für zwo illdrshcere Pesionfods gearbeiet inder EDV neben shcule/Stdium, evrucht am mcih zue rpssne nict auszsgen was ich z manipuation evon geichtsvrfahrn aus ben diesn genanetn olscteh Güden weiß. MAN SHCIJT MIR DROH-EMAILS/SMS WO ES AUCHDRAUM EGHET DASS MAN MIENR FMILIE ETAS ANTUIT DIE ICH NICHT MEHR ERREICHE, EsGHENDOPPELGÄGER, WOHL ERMITLER 8 / 10 Andere Strafanzeige Bähring, Maximilian 1218 0739 8728 DER POLIEZ ANS TELFON DIE SICHHERSTFARGEN WIE "WIEHEISS DIESE DOER JENES SPILZEG AUSMIENR KDHEIT" NICHT EBATORTEN KÖENNEN ODER NACH FRABEN VON MOBILIAR/WÄMEN MEISN ZUSHAHSES WÄHRND MINRKIDHEIET. Ichhscibe in mein Blog udnmeinKoatte bemfshen wie mein fühere Mitshcüler chistianmtez vonder 3st Klurzet anworten dann, ich erde "OEKL DAGOEBR GRIESST SIEN ENFEFEN" artg gewzgen Dailsy Sopas auszwerten.wie be der Eführungd es abritgeberpräsidenetn SHCLEYER "SITE ###TAgen Gefangener der R.A.F. TErroirsten". ICh binso wcht daß ich uer zahrichn Pseudoynmen gefürht erde bei der Polizei zm shcutz meirn wahre Idtstität. Ich hab am 12. Dzeber 2024 Ptssbekomen vom egricht,ei Bfaghistatrag wude abgelehnt bevor ich ihn zu Ende stellen konnte. ic h hate mir shcftlciha erbte diebegrüdung gegenür dem richetrd er für den suchide üer ne trag zustädig sit slebt müdlcih evrbeigen zu kpnen stt vor dem abglhten Richter aus angt de ruschlag ernuet Post, In sinr gschäfstsele arieet ien füher Mitshcülerin von mri di ic getsrn cuh bei grich getrffen z ahben mien an de rpsot. Die geört zum Immobilen trickbetrügerkaretll ds ich erwähnte. af dem bshcluß vom 10.Dzber steht darf da ich imLadgercht; gerschstraße 2, zu prtojoll der gschftstele Eirshc ieeg kann. Zude wil ich auch prozsskostehilef haben, bekomedie mehcfh per sichben udntelfx angfoderten Furlaure dazu aber mal wider nicht. EI justzmitabeitrin kan bezugn wie ihre kolegn mic vrshcne, si will bis zur evhdlug uerkannt beliben. tpt daß ich das hciben mitbchte wo drsfstend daß ich ind ergrichstaße 2 bshcerde eilegen kann wurd eich von dem justbdieteten() "Heuser" an de pfort, das stnd aufseinr ufrm bdorht ich düf nicht rein, aich nicht zu um ch üer ihn zu beschweren un bekme daher keien Drehgegenhigung ih filte i Notwehr totzdem. https://zentral-bank.eu/landgericht.mp4 http://banktunnel.eu/trycafe.mp4 9 / 10 Andere Strafanzeige Bähring, Maximilian 1218 0739 8728 Uploads / Abschluss Upload Beweismittel Haben Sie Fotos oder Dokumente als Upload? * Ja Laden Sie bitte hier Ihre Unterlagen / Beweismittel hoch * Datei: 1 | Gesamtgröße: 0.24 MB (248 KB) 20241218-pol-anzeige.pdf Beschreibung der Unterlagen http://banktunnel.eu/sch-einesystem/20241216.htm ( PDF-Datei sch-einesystem.156 http://banktunnel.eu/pdf.php ) https://zentral-bank.eu/tumblr.com/ und https://www.tiktok.com/@maximilianbaehring/ .... 10 / 10 Andere Strafanzeige Bähring, Maximilian 1218 0739 8728 Verzicht auf Einstellungsbescheid * Nein Wünschen Sie eine Bestätigung über die Erstattung der Strafanzeige? * Nein E-Mail-Adresse * maximilian.baehring@googlemail.com Andere Strafanzeige Bähring, Maximilian 1218 0739 8728 -------- Nachricht -------- Betreff: Faxversand an 06975580808 war erfolgreich Datum: Wed, 18 Dec 2024 06:58:05 +0000 (UTC) Von: Fax <noreply_fax@> An: maximilian.baehring@ Web2Fax Faxversand an 06975580808 war erfolgreich Guten Tag, folgendes Fax wurde erfolgreich zugestellt: Ihre Fax-Rufnummer: 00496924749613 Ihre Faxkennung: Maximilian-Baehring Empfänger: 06975580808 Zeitpunkt: Wed, 18 Dec 2024 07:58:05 +0100 Seiten: 10 Eine Kopie des Faxes finden Sie im Anhang. Wir danken Ihnen dafür, dass Sie unseren Service genutzt haben. -------- Nachricht -------- Betreff: Bearbeitung Ihres Anliegens aus der Onlinewache Datum: 18 Dec 2024 07:41:30 +0100 Von: onlinewache@he.onlinewache.polizei.de An: maximilian.baehring@googlemail.com Sehr geehrte Nutzerin, sehr geehrter Nutzer der Onlinewache der Polizei Hessen, wir haben *Ihr Anliegen vom 18.12.2024* (Onlinewachen-Az. 1218 0739 8728) erfolgreich zur Bearbeitung an folgende Dienststelle übergeben: * *Polizeipräsidium Frankfurt* * Vorgangsnummer Polizei 1445558/2024 * *Telefon* +49697550 <tel:+49697550> Falls Sie Fragen zum weiteren Vorgehen bzw. zum Status Ihres Anliegens haben oder wenn Sie einen Nachtrag einreichen möchten, wenden Sie sich bitte an diese Dienststelle. Mit freundlichen Grüßen /Ihre Polizei Hessen/ /*Bitte beachten Sie*, dass diese E-Mail automatisch generiert wird und lediglich den Eingang Ihrer gemachten Angaben bei uns bestätigt. Bitte antworten Sie nicht auf diese E-Mail, da Ihre Nachricht an diese Adresse aus technischen Gründen nicht entgegengenommen werden kann. / | |
|
18.12.2024 11:00 |
|
|
|
|
![]() | |
| [0] |
20241218-1100-0-1.jpg |
![]() | |
| [1] |
20241218-1100-0-2.jpg |
![]() | |
| [2] |
20241218-1100-0-3.jpg |
![]() | |
| [3] |
20241218-1100-0-4.jpg |
![]() | |
| [4] |
20241218-1100-0-5.jpg |
| Beihilfe/Begünstigung RAF–TERROR per Postunterschlagung Kursmanipulationen/erpresserischer Menschenraub/Straf-vereitelung, Gefangenenbefreiung, Zeugen-Medizinvergiftung/Vergewaltigung
Maximilian Baehring Hoelderlinstrasse 4 D-60316 Frankfurt/M per Fax: +49/(0)611/32761-8402 Dienstvorgesetzte von Richter/in Gottmann sowie Richter/in Hommel „Amtsgericht im Hause Staatsanwaltschaft Hahnstraße 25 D-60528 Frankfurt a.M. Im Internet findet sich unter der URL http://banktunnel.eu/pdf.php und URL http://blog.sch-einesystem.de/ mein ausgedruckt fast 31.000 DIN-A4 Seiten umfassendes Internet Tagebuch / Blog, als Offline Version downloadbar unter http://*** /***/ als ISO-Image (brennbar auf DVD) mit tagesaktuellen ZIP-Archiv Ergänzungen Neu: https://www.tiktok.com/@maximilianbaehring/ Frankfurt a. M., den 18. Dezember 2024 Aktenzeichen 28098 C 360/24 des Amtsgerichts Frankfurt a. M. Klageschrift erhalten per Zustellung am 18. Oktober 2024 Begleitschreiben datiert auf 04. September 2024 „Erweiterung der Klagschrift“ erhalten per förlicher Zustellung am 14. Dezember 2024 darin Klagerweiterungsschreiben vom 19. Noveber 2024 nebst Anlage / Begleistchreuben vom 10. Dezember 2024 daß obwohl es wohlam selben Tag zur Post gegeben wurde wie ein andrer förlicher Zustellung Schreiben vom selben Tage erst zwo tage später eintraf. Fax um 20:33 Uhr an +49/(0)611/32761-8402 nebst Einschreiben RR577577195DE je vom 14. zur post gegeben am 15. Dezember 2024, an Amtsgericht , Gerichstraße 2, 60313 Frankfurt a. M. an selbe Anschff/nummer auch Einschreiben RR577577204DE 15. Dezember 2024, Fax 15:58 Uhr Fax um 13:59 Uhr an +49/(0)611/32761-8325 Einschreiben RR665221594DE 13. Dezember 2024, an Landgericht, Gerichtsstraße 2, 60313 Frankfurt a. M. sowie mein Einschreiben an das „„Amtsgericht im Hause“ Staatsanwaltschaft, Hahnstraße 25, D-60528 Frankfurt a.M. 12. Dezember 2024, Fax um 18:27 Uhr an +49/(0)611/32761-8402, Einschreiben RR577576932DE Beschluss vom 04., ausgestellt am 08. November zu Fristverlägerung bis 06. Dezember 2024 nebst Begleitschreiben datiert auf 04. November förmlich zugestellt 12. November 2024 Beschluss vom 05., ausgestellt am 10. Dezember 2024 zu Ablehnung Befnagenheitsantrag und nebst Begleitschreiben 10. Dezember 2024, förmlich zugestellt 12. Dezember 2024 mein Einschreiben RR577575870DE 03. Dezember 2024, 10:40 Uhr Fax an +49/(0)611/32761-8402 mein Einschreiben RR577573556DE 14. November 2024, 13:11 Uhr Fax an +49/(0)611/32761-8402 STRAFANZEIGE WEGEN AMTSANMASSUNG/AMSTMISSBRUCH, STRAFVEREITELUNG (IM AMT), BEIHILFE UND BEGÜNSTIGUNG VON SPRRNGSTOFFNSHCLÄGEN, MORD, KIDNAPPING SOWIE VERGELATIGUNG ([1] 30. Oktober 2024 Einschreiben RR577571674DE an Gerichtsstaße 2, 60313 Frankfurt a.M. Oktober 2024 ca. 12:12 Uhr Fax, 3 (in Worten: ddrei) Seiten an +49/(0)69/1367-6301 24. Oktober 2024 ca. 14:51 Uhr Fax, 10 (in Worten: zehn) Seiten an +49/(0)69/1367-6301 Sehr geehrte/r Dienstvorgesetzte/r des/der Richter/in „Gottmann“ und „Hommel“! Wieich berist mitgetilt habe nebstlIk zu beisvideos bin ich Samstag beleidiogt wordene und am Sonntag auch und bedroht, man vereuchte mich einzuschüchtern das Haus nicht iNrhctung pst-Filial zu verlassen uMWiderpüche ans gericht zu senden. Ich hab beismaretail gesichert in fom vommchen von Videos und ie anchbarin hat sich gemdlet die berist ist auszusgaen, soviel zum 14. und 15. Dezember 2024. Dem Wochenende. Ds ich kplete mit der shclapigen Verfsahrsführug bshcäftgt war in userm varfahren daß man längst hätte duch Klageabwiesung beenden können. Ich habe Stalker, diese Stalker prssn michdzau mir vor laufender Webcamdie Pulsadern aufszuschlitzen ud das dannonlien zu stellen, danach komend anndern stlker udnrfen Krkenwagen umsich als heldn auszuspeieln. Ich will nicht daß die Allgemeinheit der Krnevrsichert damit belstet wird. Verigre daher bei den Eisttzen mien evrichetrakärchen vorzuzeuigen, evrlange ienprivarchenug udnrhce die asl Strazieg stes andie stalscft duch, in ismsgamt weit mehr al 10 Fällen. Debnoch belästgt mich der Rettungwagnbetreber obwohl er jweisl shcftlichpr fax und sichrben iformeirt wird mit Rhcnugen und wennichden mehrcfh widerprche mit Inkaso- udnshclußednlich Mahnvefahren und schußendlichdiesem gercihstprozess. Gurnist daß die Rettusgsnaitäter den heldn spielen wollen: herüfr wurde ich extra gezit gefolter am 24. Dezember 2023. Das könensie aus den Strafanzgen zum Einsatz ersehen die sie in mienm Online-Tagebuch/we-“Blog“ finden nesbt aktuell 30.995 Seiten DIN-A4 PDF Dokumantaion. Im Internet unter der Adresse /=URL http://banktunnel.eu/pdf.php und URL http://blog.sch-einesystem.de/ ! Ich kann nchdem ich vonPolisten mit demKopf gegendie wnd gwrodnf wurde die mien Tür egtramt ahtten, in Handschellen udnfusfesln aufs Trottoir geworfne wurde und die uaf meien Knöchle ehrutrapeleten als ich amBiden lag bsi diess gefühlt fast brachen, die dfür sgen daß ich imKrkehaus vrgfte wurde wo ch husgstreikte gegenzu urhct erlitten illegal U-Haft. Gezilt wollte man mich asl Arbeitgeber-vertreter Kidn udngener de rpolizewgerkscft eishcüchtren udmGeld zu eprssen, ich sollte Immobilenübschrebn, dfür sorgnd aß Baken Zsinsn mnipaulren vonden die sicherhitkäftevrillget wohruambekäemen üer MienMuter die imChfsekrterita des abritgebervrades „budnesvand der ch- dunshclißegsslesften“ arbite. Manhgertemich aus nchdem man meien Firma mit SPM/Viren/DDOS-ahcs die füstftellge telfon-rhcnugen evrushcten indenZui itrb und ich HartzIV/Alg2betragen musste, moatlag bakm ichohe bgrüdung kienrelit Sozalhilfe. Permentberhc man imHas ein, egte Bärnde dch sbaotaeg, maniprte Leitgen obw asser ode rwbasser, vor alemaber Telfon und Strom. Es stndengisgstcheshcäden. Ansorte per Telfonüerchung und dare ovsravationdeshauses dfür daß ich nicht mit NGOS/prsse-veteretern reden kann. MEIN KIDN IST ENFÜHRT, ICH WURDE UNETR DREG N ETSTTT UDN EVGRELTGT!; MEIEN SHCGERE FDUNDIN BEDROHT, ach aus dem umfeld der Korruten nic als hcieß bauenden polizei udnstansclhsft und Justz Als würden die ischüchetrung duch politsice Kokurreten nicht shcon genügen. Am Monatg, den 16. Dzeber 2024 habe ich nchdem ich täglich von morgsn meist um 05:30 Uhr an mitnichst nderm bshcäftgt bvina ls de rbis uf dieknochen korrute Justz hierherzuräumen under nochkorruteren Poltik endlcihdie Uzet gefuden die Dohungen vomSatag shcftlich zu Per z brgen per olineanzeg die ich ausdrcuket. Jezt kann imPrinzip ejder sichim Interetfce als ichausgeben udns ein anzeg shciben. Ihrfeht ja di uescft. Dahe rhab ich sie auch nochmal abgeben wollen abe rman vergerte mir die Entegegnahme. Anälte woleln mr nich heflen, sttdesn sol ich slbszchtugugenusterzchen damit sie, die anälte dfür vondermfia Geld bkomemn. IC sol gezilt nur mit cohen anwälten zsumenrbietn diemich PARTEVERRÄTERISHC zu mienugusten verteteen als rchate am abritgebervrabnd. Ein Mann aus dem Ufled der suchen Bak der nuer Abritgeberverandspräsdient wrden will udnjusrt s will sch duch zurückhaten mienr sätlich Post wobei er sein amstfgnsse als zegschüter missbrucht als heldausfielt de rmcihd ann sobald as alles massnmdial eiksam auegabte wird „rashauat“. Dafür hat er ienrgclehctes kartell mit sine Kollegn gebildet. Enwtder erdrasf das mchen oder ichsolel mich irgndlches Stfatatenslbtbschuldgenm di eichnicht bagn habe wennich zu anderen Aanwälten gehe, ansosten tut manmienr fmilie mienm Kidnwas an. Der slbsternante zscghützer denich set dem anshclag auf ehrhsuen udnienr „stasbcuh Vegrrltugng“ indie mien Muter asl Opf rinvolverttist habe behaute ih würd eien Ausbildung bei ihm mchen als EDV-RChzetrumSecurty doer so ALLE BULLSHIT dmait er sein befgnisse beidr polize missbhcn kann um Strfazegen di ich mach abzufagen ud meien Pst. Jezt hab ich als am 156.Dezebr um 14:40 an de rhautsch gesntden als jemd der anden beidn tagen davormassiv bedohtw rodn ist vor de rhaustüer ud evrucht ienr Bsuladug voller Piliszet dieda zsumenmit Sichetsmiatrern der firma Wisag Stand die strfazge vor zeg idnei Hand zu drücken ud möglcihts dbei zu flmen. DA wurd emir evrgeiegrt. Die betane enenich aus abd homburg die das ecght hat. AuchdiKolegvonrhwegrtensich. Inderpstfilae wo ich die post abgab sh ich dann jen fRau Brokks glab ich die ich stfagezegt ahbe wiel sie als ehemalige mistchülerin vo mri oder dern nch e wevsdte iM Vafahn berist im verdhc steht Post uschalgen zu haben. Notegrudngen brhcte ich die strazegen nälich als eishcben zur Post. Schickte sie uch nochmal per Telefax. Da ich iemrnochkeiProzeskostehifenatrasgformualre bekam die ch mercfh shcftlich p eishrben angefodert hatte bekam ud es laut Wnat mhr utrschdilche afssugen gibt bich ich zmgecht um nchzuakne. Da shab ich per vido dokumenteret. Ich war weiwl bei Hern Mlik an der pfort Gsta bvor ich daniwter shctee unetranhm, zur Sicherheit. Dann hab ich evrhcuht vorgasenzu werdenbim dr cthatragstelle/ gshcäfstele des landerichts mit dem shciben von ihen vom10. Dzeber 2024 inde rhand um gene dne bagalheten bafanghsitantrag Beshcrde izslgen, genau soie es inde rrhctebhelfbsehrungstand. Da wurde mir egstt dassie urelt, das lgrciht befäde sich agr nicht mehr da., ichwie dann draf hindaß chdem Shcben das dtumdes 10.Dzeber 204 vermekt ist under 12. Dezember 2024 als Zsuteldatum aufdemusmchalg. Das ist also gerde mal 4, iwnorten vier Tage alt gwesen. De rbae „Hser“ imgeecthgebäde B“ behate dann das Shciben sie arnicht vomgeicht, da erkene r am fschn Katezechen, udsich sgte mag ja siendaß da nicht vom egricht her ist aberr es steht drinn daß ich hr bscherde eirichenkann, explizet udnetge ihmdenapssu, danntelfneirt erherum udnmeite ichdüfr nicht wi es imshcben steht meienescuh zu protokoll geben sodner er eteilemri ahsverbot, ohen daß ich irgdnwas gechtahbe. Dfür habe ich Zgen. Da hab ich auch fvdo dikuentret. Nunbelibt mir nichtas dnres als si estfazuegen wegenrchtbeugung und Stfavertelug imat, denn es ghatja uch umStfazgen di mit dme vafhrn evrbdundensind die ich § 158 STPO z prokoll des GA eigericht habe nchdme die korruet Polize, auchdas ist zu hen aufdem vido mal wide rwgerte das nazunehemn. Auchalsich beimOLHGg ar und bat mir osftr eieneisgilg anornug austzstellen und ein Mnnshcft mitzgeben um mir unetrVahftung de rkorruten Landgericht-Gbeäde B Wchmansnchft zuzrtitt zum Gebädu e zuvschaffen vsrschteman mich dort. Da führ dau daß ich nun ein gaze reihe von Strafanzeigen gschibenahbe. Immerhin solcl ich ja duchdas mir fsshlsitzen von Pusldren vor d rbcam zudem ich eprsst werde dazu gebcht werdne nicht in iem Vrfahn azusgen üer die feher derpolize bei der Ermittlung zu Sprgtsiffterrovefahrn Alfred hrahsusen, dermrodung de bdushce bank vorrdnes imeirhestadt abd hombur inde rbgalihen Limosuein auf de rgelchenrouet wie die die ich nutze. Man iwll michals zgeaus dem wge räumen und es nch Suizd aushen alssn, dher hat man mir ein Kidnindie erblien evgetgtmit denns Hilf man dann anch meienm Td das verögen abrüumne will meinr fmilie. Aman iwlles so ausshen alssn alshäte ich mir aus Kue rudn gram wgend em Kidnappingudn wgen derepssten Schbezsichtguen die pusldenrsucgshcnitetn. Uter den Täten sidn zahich Piez-gwrekscftler udnJustz.sochrustbediete die ich so rächenwollen für rhermeinung nch zu ndierg ausgefalen Lohruerhöhegen bei Trafruden. Ic gege ihe aml die Aktezechende rovn mir gemachten Strafaziegen: Sprgetsoffterr/Mord, Vergeltigung, Kidnapping zur Eishcüchtreung von Zeugen: SPH/ST(?) 1436670/2024 Polizeipräsidium Frankfurt (Online-Az. 1216 1029 2117) SPH/ST(?) 1436943/2024 Polizeipräsidium Frankfurt (Online-Az. 1216 1118 6141) SPH/ST(?) 1445390/2024 Polizeipräsidium Frankfurt (Online-Az. 1218 0559 9348) SPH/ST(?) 1445390/2024 Polizeipräsidium Frankfurt (Online-Az. 1218 0559 9348) SPH/ST(?) 1445558/2024 Polizeipräsidium Frankfurt (Online-Az. 1218 0739 8728) Die Beweisvideos dazu finden sie unter: https://www.tiktok.com/@maximilianbaehring/ da die Platform tikto gerne zensert da wesentliche In Kopie auch nochmal unter https://www.zentral-bank.eu/spasti.mp4 http://www.banktunnel.eu/spasti.mp4 https://www.zentral-bank.eu/hurensohn.mp4 http://www.banktunnel.eu/hurensohn.mp4 https://www.zentral-bank.eu/spasti-censorhsip.mp4 http://www.banktunnel.eu/spasti-censorhsip.mp4 https://www.zentral-bank.eu/internetcafe.mp4 http://www.banktunnel.eu/internetcafe.mp4 https://www.zentral-bank.eu/im-internetcafe.mp4 http://www.banktunnel.eu/im-internetcafe.mp4 https://www.zentral-bank.eu/landgericht.mp4 http://www.banktunnel.eu/landgericht.mp4 https://www.zentral-bank.eu/trycafe.mp4 http://www.banktunnel.eu/trycafe.mp4 Wil mir neimdn hilft wa sichausber dkuentert habe udmanmir gezt mscrzen zgefügt hat (Mitte 2018, Suzidevruch wgen Zahschmerz wiel ich nicht mer zu azt willnchdem ich imKarkahsu nchislcihe vergfte wurde nchem ich ertsmligam 23. ami 2013 von korruten pOlisten vreinfcht gesgt (ses terfft den kerner shce) „ver-prügelt“ worden bin) hab ich etwa ach am 24. dezember 2014 einenS uid-vuch uternmmenanchem die Justz sich ja nicht erh an den „weihanchtsfrieden“ hält sodnr nchme si eharlang agr nix macght aht inem bösratgste anwüfe amHilgabdn mitags zustellt Ich wieß daß man mich gaz geziltnh im Folter Nahdch der stasi,abglich für ieforsches prsse epxriment getarnt foltert. ZERMÜRBT, ZESRTZT. Ichsoll ttotzal demorlsiert werden und mir dann wider ausf Verzeflug erneut die pusdenr usfchlictzen. Da vrlegn ei4nrsereerr udnpoeiger vorn mir. Eige vonden habe3nsih sogrgeri iam ausgeiegemeiet, evriden gatdaranmein gschites als ein art“TREU CRIEM FOLTERPRON „ zu verkaufen an die medien die wnn ich mich ansie wnde bahtenich ätekeinUrherchtan eirnegen gschichet,das häten ander die um den“merktwert“ z erhögen mir die shczen zufügen wies ichdas bessr verkaft. Dßa man mich tptz asudücklichem richterich hwieis nichtisnegrichtgbäde laässt u foualre abzuholendie aifdem psiweg nicht ankomemn oder umals jemd de wgewn medikamnetvefgtungncht emr scbenaknn etwa zu protokool zu geben apsst isn Bild. Ich wieß nun beimebstenwillen nicht wie ich mein Rechct wahrnehmen soll wenn man mich mitbruatsltergelt dran hidert als rche drfür daß ic im rhamn mienr antikorruptions-Aktivitätn shcon zahrichen Baamten richtig Ärger bereitet habe. Ich muß um fristver-verläegrung für die Bshcred bitten bsi uns eine Lösung für s zuvor geschildert Problem einfällt. Von Hausbscuhen bite ich abzsuhen. Ihkönnt nict eishcätzenob si iener vondrmöderbnde sidn ercihnur ls richetra sugibt oder nicht. Ih galueb daß man da ie ganz böses spiel mit mir treibt, mag ja sein daß das für die gesiet Shauspiel-Spaß ist für mcihder sich die Pusldrn ausfslcitzt und sein Kidn nict zu gichtbekommt ist es todernst. Sie könnet das Verafhre auch einfach zu miengustentschdien, damit wäre mir erbelich geholfen. Ich mien, steln wir sumalvor de rtrrsugwne wär een Pizza und ich würde fürjend andnr einPizz bstelendie dernicht haben will unde rBote käame an und müsst edie liefremn, Wieos soll der denn für etas bezahlenw ares lsbst gar nich bstellthat oder benötigt? Der fll liegt rhctlcih doch vollimen kalr udsi ebeugen das rcht wenn sie das verafhrnidnei läge ziehen,isnoderoier da ie ja wissn dß ich vonDr. Domer vom Gsdushistamtals letzt szida digsniteiret wurde nochdem man mich s discth quälet daß ich jeglciheLebsnmutevrlroen habe. Wieo helfen sie denverechenr auch noch mich verftgzsuchen. Sind sie ewta perteiisch? Was soll die sgzae shciße,diese sdistche Quäerlei? Das mir nich helfen? Da sist dochales mit Rcht udnegstz nict zu riabren. Iweso beugedie dertag das rcht asl riche? Lsite die ganz beusst Bihilfe zur egschhüchterung im Teroevfahren? Für das sit ja der gerstalsstalt zstädige, aso bimHrren Maleki diepforte i erste isnatzn. Ich evtsh soweiosnich warumder das Vrafhrn nicht alägst an sic herisseen hat. ES IST 8anders lam na ihen vilelcht vormanch will) KEIEN ÜBUNG DAS IST ALLES TODERNST! Wie kann es sein da sich ein Juts / Stravrfolgusghörde so blöd ansetllt, ganz katv Menchen gefährdet. Wenn ich nicht bald wa stut ach ich foegndes, ic hab aus mineem Sorgechtprozess noch inerinnrungd aß die ZPO/StPO erlaueb richetr die gefahrn fr deo allegemeihiet drsteleln aus dem amtzu befödern per forshcher zansgeinwisung wnense gahfren fahlssg ode rgar bscihlcih fshslsichätzen. Haftgdund der aktuten Fremdgefährdung. Ich binso suer daß ich kurz dvor bin das zu ebtragen für sie. -------- Nachricht -------- Betreff: Faxversand an 0611327618402 war erfolgreich Datum: Wed, 18 Dec 2024 09:58:38 +0000 (UTC) Von: Fax <noreply_fax@> An: maximilian.baehring@ Web2Fax Faxversand an 0611327618402 war erfolgreich Guten Tag, folgendes Fax wurde erfolgreich zugestellt: Ihre Fax-Rufnummer: 00496924749613 Ihre Faxkennung: Maximilian-Baehring Empfänger: 0611327618402 Zeitpunkt: Wed, 18 Dec 2024 10:58:38 +0100 Seiten: 4 Eine Kopie des Faxes finden Sie im Anhang. Wir danken Ihnen dafür, dass Sie unseren Service genutzt haben. | |
|
18.12.2024 11:30 |
|
|
|
|
![]() | |
| [0] |
20241218-1130-0-1.jpg |
| Nun zum 18:00 Uhr TV Vorabendprogramm voegstren, Dnstag dem 17. Dezember 2024: als ich die #Simpsons eishclte sah ichnur daß es ien Alt Folge war die da lief, die wo die Kinder auf einer Freizeit in "Camp Crusty" sind und ein traustches Erbenis mit ienr "Raftuig Tour" haben Wildwasser Kanu technisch. Danach begann danndriekt #BerliNueKölln02407 / berliNNueKölln02407 wo es Plätcchenbcken gab inder WG on Amelie und Emmi die da jetzt ja auch wohnt. Udn die frundin von Karim war bei der Abtreibungsberatung was sie sich hätte sparen können wenn sie verhütet doe rnicht dienr gend herum-gevögelt hätte.
| |
|
18.12.2024 12:23 |
|
|
|
|
![]() | |
| [0] |
20241218-1223-0-1.jpg |
|
18.12.2024 12:24 |
|
|
|
|
![]() | |
| [0] |
20241218-1224-0-1.jpg |
|
18.12.2024 17:33 |
|
|
|
|
![]() | |
| [0] |
20241218-1733-0-1.jpg |
![]() | |
| [1] |
20241218-1733-0-2.jpg |
![]() | |
| [2] |
20241218-1733-0-3.jpg |
|
18.12.2024 18:25 |
|
|
|
|
![]() | |
| [0] |
20241218-1825-0-1.jpg |
![]() | |
| [1] |
20241218-1825-0-2.jpg |
| https://www.tiktok.com/@maximilianbaehring/video/7449715557244407062
https://www.tiktok.com/@maximilianbaehring/video/7449803717508926742 | |
|
19.12.2024 06:54 |
|
|
|
|
![]() | |
| [0] |
20241219-0654-0-1.jpg |
|
19.12.2024 09:45 |
|
|
|
|
![]() | |
| [0] |
20241219-0945-0-1.jpg |
![]() | |
| [1] |
20241219-0945-0-2.jpg |
![]() | |
| [2] |
20241219-0945-0-3.jpg |
![]() | |
| [3] |
20241219-0945-0-4.jpg |
![]() | |
| [4] |
20241219-0945-0-5.jpg |
![]() | |
| [5] |
20241219-0945-0-6.jpg |
| Beihilfe/Begünstigung RAF–TERROR per Postunterschlagung Kursmanipulationen/erpresserischer Menschenraub/Straf-vereitelung, Gefangenenbefreiung, Zeugen-Medizinvergiftung/Vergewaltigung
Maximilian Baehring Hoelderlinstrasse 4 D-60316 Frankfurt/M per Fax: +49/(0)611/32761-8116 und -8431 persönlich / vertraulich Pressestelle Landgericht Frankfurt a.M. z.Hd. Vors. RiLG Dr. Jahn / Richterin Hoefs Vors. RiLG Dr. Trosch / Vors. RiLG Annen via der Poststelle im Gerichtsgebäude E Hammelsgasse 1 D-60313 Frankfurt a.M. Im Internet findet sich unter der URL http://banktunnel.eu/pdf.php und URL http://blog.sch-einesystem.de/ mein ausgedruckt fast 31.000 DIN-A4 Seiten umfassendes Internet Tagebuch / Blog, als Offline Version downloadbar unter http://*** /***/ als ISO-Image (brennbar auf DVD) mit tagesaktuellen ZIP-Archiv Ergänzungen Neu: https://www.tiktok.com/@maximilianbaehring/ Frankfurt a. M., den 19. Dezember 2024 ALARM SOS MAYDAY man verweigert mir, besders bedohtem Anti-Korruptiosn-Zeúgen der laut Schreiben und Beschluss datiert auf den 10., zugstellte 12. Dezember 20242 das von ienem Richter zugessprochene Recht hat bei dem Landgercht, (das istGerichtsgebäude B) Gerichtsstraße 2, 60313 Frankfurt a.M. vorgelassen zu werden um dort einen Ein-spruch gegen ein Ablehungsgesuch zu Protokoll zu diktieren /geben/ einzureichen. In dem Ablehnuugsgesuch geht es darum daß man mich als Zeuge im Teror-mrod Ver-fahern Spgtsoffnshclag Herrhausen und Pressevertrtere massiv vor meiner Haustür bedroht genau wie in/vor Postfilialen wo ich Post für Gericht/Staatsanwaltscaft udnPolizei abgebe. Ich wurde von korrupten Beamtan vereinfacht gesagt zusammen-geshclagen und nach vorheriger Andrihung im Krankenhaus medikamentevnergfitet so daß ichslebst nicht merh ordlicht shcben kann obwohl eist Studtn d rgemsistik mit absolviertem 10 Fingre-System Schriebsmcheine Kurs, mah ta mich mit Dylexie verursachenden (vermitlich Parkinson/ADHS) Medikamentn vergiftet weil ich es wagte über korrption der Altegetums-Bau-Mafia/Bakeunfled-Terroristen zushcbene. Am 24. Dezember 2023 haben Stalker die mein Blog http://blog.sch-einesystem.de lesen (als PDF version http://banktunnel.eu/pdf.php ) das immer wieder hacker /DDOS/Viren/Spam Attackenauszschlte evrucht wird zu Unrecht behauptet ich wolle mir das Leben nehmen wobei die korrupten Polizisten die ich nagezieg hatte bei dieser Gelegnheit obwohl keinrlei Veranlassung dazu bestand und trotz daß ich auch ein Patienvefügung vorzeigte die meine Behandlung asudrücklich verbietet die geegheit nutzten micr massive shcmerzen zuzfügen mit Fesswlerkzegen malwider ich lag brüllend vo Scherz duchdie Pilzetibrutalität am Boden. Als eienebstzung vom Rettungwagen eibtraf. Maniwll mich so zwingen mein haus Kameraüberwachen zu lassen sgten mir Zuegshcütez vom Budsvrand der Shc- udnshcißgsslscften um duch Hack/bshclagnahme der Aufnahmensheen mit wem ich als Journalist mit Anrrcht auf Qellenshcutz rede. Unter ählichem Vorwand hört man auch meine Telefonie ab. Ich Trag sbcilhc kein evruchetnärtchen mehr mit mri herum siet ich – dfür haeb ich Zuegen – im Krankenhaus vergifte und gefolter wurde (Alls strfagazeiget). Man hetzte mich untre mit Androhungen der Verstümmelung meiner familie in aufdenr stebn Blick scheinbare Suizdvruche, die aber in Wahrheit duch SMS/Email ausgelöst wurden.Slbstvertädlich wiegr ich mich solche Rettungswageneinsätze der Versicherentgeisnshcft ksotstshcnich azulasten, verlange Privat-Rechnugen welche dann die Verushcr/Täter/nicht ich zahlen soll, darum get es epxlizit im Pozess. Aktenzeichen 28098 C 360/24 des Amtsgerichts Frankfurt a. M. Klageschrift erhalten per Zustellung am 18. Oktober 2024 Begleitschreiben datiert auf 04. September 2024 „Erweiterung der Klagschrift“ erhalten per förlicher Zustellung am 14. Dezember 2024 darin Klagerweiterungsschreiben vom 19. Noveber 2024 nebst Anlage / Begleistchreuben vom 10. Dezember 2024 daß obwohl es wohlam selben Tag zur Post gegeben wurde wie ein andrer förlicher Zustellung Schreiben vom selben Tage erst zwo tage später eintraf. Fax um 20:33 Uhr an +49/(0)611/32761-8402 nebst Einschreiben RR577577195DE je vom 14. zur post gegeben am 15. Dezember 2024, an Amtsgericht , Gerichstraße 2, 60313 Frankfurt a. M. an selbe Anschff/nummer auch Einschreiben RR577577204DE 15. Dezember 2024, Fax 15:58 Uhr Fax um 13:59 Uhr an +49/(0)611/32761-8325 Einschreiben RR665221594DE 13. Dezember 2024, an Landgericht, Gerichtsstraße 2, 60313 Frankfurt a. M. sowie mein Einschreiben an das „„Amtsgericht im Hause“ Staatsanwaltschaft, Hahnstraße 25, D-60528 Frankfurt a.M. 12. Dezember 2024, Fax um 18:27 Uhr an +49/(0)611/32761-8402, Einschreiben RR577576932DE Beschluss vom 04., ausgestellt am 08. November zu Fristverlägerung bis 06. Dezember 2024 nebst Begleitschreiben datiert auf 04. November förmlich zugestellt 12. November 2024 Beschluss vom 05., ausgestellt am 10. Dezember 2024 zu Ablehnung Befnagenheitsantrag und nebst Begleitschreiben 10. Dezember 2024, förmlich zugestellt 12. Dezember 2024 mein Einschreiben RR577575870DE 03. Dezember 2024, 10:40 Uhr Fax an +49/(0)611/32761-8402 mein Einschreiben RR577573556DE 14. November 2024, 13:11 Uhr Fax an +49/(0)611/32761-8402 STRAFANZEIGE WEGEN AMTSANMASSUNG/AMSTMISSBRUCH, STRAFVEREITELUNG (IM AMT), BEIHILFE UND BEGÜNSTIGUNG VON SPRRNGSTOFFNSHCLÄGEN, MORD, KIDNAPPING SOWIE VERGELATIGUNG ([1] 30. Oktober 2024 Einschreiben RR577571674DE an Gerichtsstaße 2, 60313 Frankfurt a.M. Oktober 2024 ca. 12:12 Uhr Fax, 3 (in Worten: ddrei) Seiten an +49/(0)69/1367-6301 24. Oktober 2024 ca. 14:51 Uhr Fax, 10 (in Worten: zehn) Seiten an +49/(0)69/1367-6301 Da müssten dann endlcih mal die veruchen dieser kosten, dauter zahrich korute Betae, dafür gradestehen. Im Zuge des (die ein hackt de rndenr keinaugae aus) kräheprinzips versucht man michnun fertgzuschen um keinen Ärger zu bekommen udnzahlen zu mpssen, eisn dr mitel dabi ist vertsucenund unterchlagen von Post. Auch wvegeigert man mir atragsformulare für Prozsskostenhilfe nchdem manmien Fimr ruinerte hat ichmien Jb evror wegen der Kriminellen welch Beismittel-sreer abschalten wollten. Man legte im Haus (per Sabotage der Heizungsanlage) Brände, druchtrenet mit Bolzehscidern Telefonkabelmanipirte strolieteungder sicher-heiststchnik, brach immer wieder ein so dßa eicjedes Shcftstück ischen erstmal einscnne und in die (gene) „Clud“ hochlade im Itrenet im Ausland. Manhat dfür gesrgt daß die Terrorgasition FKREION der ROTE ARMEE die in Westeuropa ilegal aktiv ist sic eir imHaus in Wohungen einmietet udnmcih bestptzetl, uch inmien histgemdie koten ulägst zwo Osblock Spian etrant werden der Alteigentum – Ost Baumafia (bekannt duch den„PEANUTS - DIE BAK ZAHLT ALLES“ Immo-Schneider Film). Weg de rspkualtion mit vn Stalin/hitlereigentem Altgetum wurde Herrhausen in Wirklichkeit ermrodet per sgttsffnshclag im buaglechen Wgne aufder buglcihen route dieich fur zur Schule vor dem shcmmabd wo ich zwo mal die woch tranierte. Udn dasnchdem ich de rpolistch aktv war massiv bedoht wordne war. Mien muter abrite dams als cfstekretärin im Arbeitgeberverbaad der Bankensicherheit, dem „Budsverand der Wach- und Schließgesellschaften“. Auch di Usgtaltung von Auf-sichtsrat und Vorstnd der Metallgesellschft AG (nuekrichen ./ Hscimmelbsch) geht aus der Spekulation mit der Rückgabe von jdüschem Altegtum-Aktien zurück die nch der Wende geäderte Gesetzeslage zur Rhcäsdign duch SOZLISTCHE DIKATREN zwische 1933-89 gshcädgte Opfer. Bekanntgeworden als „metallegsllcft Öl Skandal“ Da ghet es uter anderm um die Grundstücke hinter der alten Oper. Sovile vorab: Im Intrenet wurdn gilet die dtaumagbane von hslcag und Metllgselslcft Öl Skdal und dem Immobilen Shcider vofrall erädert so daß die Zusnnhäge nicht ofn ztae trten, da kann ich hierb und stichfest nachweisen. Es gab auch ein Üefall auf einen Bad homburg Juwleir welcder der flichtfaireug de Terroristen diente. Ne Bande korrute Lügenr inde rJustz stellt da sgnaze zu Unrecht als „Übung“ dar was man mit mri egcht hat, lässt uter dem vornd es halde sich um be „Ausbildung“ von Polizisten und Jursiten Akten verschwinden. Gerzilt shcüchetr man mic als Organ der Presse ein. Dher wende ich mich jeut an sie als Pressestelle. Wegen meiner berichtersttaung ist in Wirklichkeit dankdem Druck der Partei FDP das Lügen-Regime „Cum Ex/Sondervemöen“ Shcolz asu der voherigen Groko zurückgetren, ic kene Märchnokel Hezuegsteze-Sbaotage Habck noch da war er eingaz kliens licht Kimrinelle Beamte, nicht zw verhcslen mit otlihen Kimrinalbetane haben jahrlang michgefolter damit bloß nict das ans tageslicht kommt was zum rücktrtt der Regeirung fürrte udndazu daß Posar Pistorius auf eine didatur evrziehcte hat. Eine bande von Obslock schererehcer beriete ein Putsch/Einmsrch de rroten arme vor ds bic ich ihnen schon 2012 schftlich gegeben,w urfe aber erucht ignoriert. Obwohl ich betae teils filme uterd er gafhr daß die dann mit gelt evruchenn mienHAndy zu kfioezren wie sie die stfaten abgehen geshciht exatkt gar nichst udndas ligt isnbsoder daran daß man mich bei egricht ebe nicht vorlässt zu den rchtren die inen SEK - Einsatz anordnen könnten, ein ertürmuge des korruten Gerichtsgebäudes. Sttdesn wil man mcihd er af odffner straße wie videoauf-nahmee bewwisne verleudet und angafeindet wird dazu zu wugen unnötig alnge wege auf mich z nhemn bis nch Niderrd owbohl für den Terrorimsufall zu dem das lels gehrt die gsrtslsstwlsft, Zeil 42, 60313 Ffrankfurt Zustädig ist in erster Instanz. Fertige sich Strafaanzeigen an udnsvchcike diese onlien oder per Telfax passiert nichst abgebendarf ichsie nicht, muß dejse mal ter eishcbbebife zur post geben. Betae sgten mrr die sfazgen sein ja nicht von miriushccrben, die köne ja jder eiegricht haben online, wenn ichdas per intrenet machte. Als ich drafhn ein gazen Truppo von mrh als 5 beaten vorienm Bus am Wihnchtsmkrt ansch ob ich ihen,gefilt mit de rhandcam unter vorzgen miernuawispaer die stfazgen übergeben könne inausgdruckter afssung wurde das abgelehnt im Beisen von Sichtsiluetnd er wisag. Ich bit an die Betaen könet aj uchihre Bod cams eisntzen,a ber die wrden nur daz benutzt Luet izsshcühern udnich wi es rihtgwärre bedohten zegen wie mir gegebn umdie Abrstvergeierung Korrutionde rpolize zudikuneteren. Eien Anwalt veriegert man mir gezielt udmit voller Absicht, ich soll nur mit ienm anlat zusmmenabrietd rfen de rmir gezolt PARTEVERRÄTERICH Shcdet, dafür hat das Kartel de rgelrskcftler gesorgt, wir erinnern usn, mien mutter arbeiet bem Arbeitgeber-verband imshchristbericht Das sind alles auch amssive Racheakte. Als ich nchdem ich am Landgericht abgeisne wordn war zur pforte der general-staatsanwaltschaft udns Obaldnergichstgebäsdes ging und evrlagte mir einen trupp beamter mitzgeben die den mic blockerenden jutzchtmeister sofort vehaften und ich ein „EISILGE VEFÜGUNG/ANODRNUG“ betraagen wollt vwergerte man mir das. Herr malke von der OPforte de generalstaatsanwaltschaft sagte ch sole mic andie prsse wenden und die Kolegn fertgamchen die das rcht so üerbl ihr amtsbefgnisse misbrchuchen zu beugen. Siehe Verfahrn wo ich bedoht wurde am 12. Februar 2024. Aktenzeichen 1470565/2023 (Online: 1214 0957 1041) Polizei Frankfurt a.M. Erpressung Zeugn/Medivetreter werden mit erpresserichem Menschenraub/Vergiftung eingeschüchtert 2-16 S 54/23 Landgericht-, 380 C 478/21 (14) Amtsgericht Frankfurt a.M./Höchst (BERUFUNGsfall: Anwaltskostenvoschußbetrug Polzei-Ermittlugs-Akteneneinsicht) siehe auch 6151 Js 217162/21 – 931 Gs Amtsgericht Frankfurt/M und ST/0082472/2021, ST/0397167/2021,… 1212195/2023 (Online 101313034227),SPH/0584256/2020 Polizei Frankfurt/M 3320 AR 301535/20 Staatsanwaltschaft/332 Js 63920/20 Amtsanwltschaft Frankfurt/M 3133/1 I/2 204/23 Präsident Oberlandesgerichts Frankfurt /M. Schreiben 09. 10. 2023 313 E-LG 139/26 Präsident des Landgerichts Frankfurt a.M. Datum 26.09./25.08.? 2023 Ökostrom-terror verschwundne Akte 241 Js 229678/12 Amtanwaltschaft Frankfurt a.M. As ich dem Herrn Maleki ande rpforet de rGSta Fotouafnahemn der Typen zget die mich bedrohen idtifierer er iende rtäter sofort als ihm bekannt. Kien wueder, es haldet sic ja auch teil umshcutgeldeprsser aus der Sicherheitsbranche di mienr mutter und meirrn fimile vomLager de rgerlscftn her komen schaden wollten. ICH DARF MALDARAN ERINERN DASS MEINE SITAUION SO IST DASS ICH BERIST 199) BIN EVGIFTE WIRDEN, FRIHEISTBEUABT, VEGRLTGT UD MIT IENEM ENFDÜHTEN KD BEDOHT WERDE. DASS MAN ENDE 1998 MEINE SCHWANGERE FREUNDIN BEDROHTE; VERUchTE MICH OS DAZ ZU BRINGEN (GAFHR FÜRLEIB UDNLEBEN) FALSCHE BLAKO GESTÄNDNISSE ZU UNTERZEICHNEN UD IMMOBILENMIENRLETZREN ZU ÜBERHCIBEN AN DIE SHCZTGELDERsSSER AUS DER SICHER-HEITSDIENSTE BRANCHE. Korrute Polzetsn owlltn daß ich ihne üer den Bakdischtebved neuJosb bi de rzechteruzmssichhrit brosg die besr bazhtlwären als der bishrige. Daß meine Mutter in Bangkok, Thailnd Opfer sexulleer Üebrgffe vonMrisoldten wurde ud wir in ein rolchtaelabssement egdrägt beim Sttsbsuchdes budpräsindten de rdas shculscff „dsuchladn“ maitchte, es abtrbunsgdigansoti gab und mie vatr vo Vegrltigungsprch nurmal am Rande, das wil das Budrädidilamt ja uch noch evrtschen wil es dmait eprsst wird und zar nict vo meir fmile sodenr eien Betrüergbande die isch asl mien fmile ausgibt, den korrute slebsterannetn Zsusgshcütezn diedie prsskollen von3sat (u.a. Kulrzet) orgsiert haben zsumen mit dm Bakksichrhistverabd: ich für nicht mit der poliez udndem egrih reden. Sit demterrosnchlag aufdei Buaglieh gepazete s-kalsse Limosuine wie ich se für Fahtenzur shculen nutzte. (uer adnerem Zeuge: Vosdns-Chaffeur Petith) Dsß0 ch i prss und Jgedprletn war und as edv uterhemr aktv köen Kogen bezgen duter auhdrsohn vom Vizecehf de Drogenfehandung Ditt doer Chrostian etz von 3sat. Aus schhristgrüden um bei vefahung nicht azfulfigen für ichkeinprssewaswi (asgetsllt vonde rgerlsfchaft verdi *kicher*) mit mir. Auf der Rückseite [Seite 4] qusi „als Anlage“ noch schftlich Gnheigung de zutritts. Hiern un noch der difitive beis dafür dßa ich als ich am 17. Dezember 2024 vechte eien esrede z protooll zu bgeen bei egricht Zurteittebruichtg war. Hier noch Site 2/3 Beschcluss-Brief vom 10,. zugestellt am 12. Dezember 2024 [grafik] Ich wurde aber dennoch nicht vorgelassen. Sttdesn shcint man liebr mit ienr bad trpkbtügender vercher asu der shcüetzung zu ehdlen die sich als ich ausgeben, siehe meine Strafanziege an des alndkriminalmat Mainz vom 14. April 2023! So fakt man ganze grichhtverfahrn, es hat regelrecht kafka-esque züge indme man als angelciehZegshcütezr mioen Post abfängt oder inmiennm Nanem vollkomenohen mienwissen Vrfahrn z fühen shcint. Auchdfür habe ich Zuegn. Nchde ich vonde rpolize evrügelt wurd möchetndie aber est imshcutz der Prss-Öfflichekit vor geichtassuagen imbsine vonLive—Kaera berichtersattung. Aber ich bae ein unmge an ausgberchten Zeugen fr mei Bahutungen neben handfesten beweisen. -------- Nachricht -------- Betreff: Faxversand an 0611327618116 war erfolgreich Datum: Thu, 19 Dec 2024 08:48:25 +0000 (UTC) Von: Fax <noreply_fax@> An: maximilian.baehring@ Web2Fax Faxversand an 0611327618116 war erfolgreich Guten Tag, folgendes Fax wurde erfolgreich zugestellt: Ihre Fax-Rufnummer: 00496924749613 Ihre Faxkennung: Maximilian-Baehring Empfänger: 0611327618116 Zeitpunkt: Thu, 19 Dec 2024 09:48:25 +0100 Seiten: 4 Eine Kopie des Faxes finden Sie im Anhang. Wir danken Ihnen dafür, dass Sie unseren Service genutzt haben. -------- Nachricht -------- Betreff: Faxversand an 0611327618431 war erfolgreich Datum: Thu, 19 Dec 2024 08:51:35 +0000 (UTC) Von: Fax <noreply_fax@> An: maximilian.baehring@ Web2Fax Faxversand an 0611327618431 war erfolgreich Guten Tag, folgendes Fax wurde erfolgreich zugestellt: Ihre Fax-Rufnummer: 00496924749613 Ihre Faxkennung: Maximilian-Baehring Empfänger: 0611327618431 Zeitpunkt: Thu, 19 Dec 2024 09:51:35 +0100 Seiten: 4 Eine Kopie des Faxes finden Sie im Anhang. Wir danken Ihnen dafür, dass Sie unseren Service genutzt haben. | |
|
19.12.2024 10:30 |
|
|
|
|
![]() | |
| [0] |
20241219-1030-0-1.jpg |
![]() | |
| [1] |
20241219-1030-0-2.jpg |
![]() | |
| [2] |
20241219-1030-0-3.jpg |
![]() | |
| [3] |
20241219-1030-0-4.jpg |
![]() | |
| [4] |
20241219-1030-0-5.jpg |
![]() | |
| [5] |
20241219-1030-0-6.jpg |
| Da wir gedre bei Tham JUWELNRUB bei Zeus waren, der Betrügerbande um Pirte Drziezabnwoski, Katja Baader und Vre (Znner 8geb bgerr) ien tchter dr fundin vonKtaja baddr sowei den BetrüergnvonSunMcisosystem udnasu der Schülerzeitung und von Wise soaftaew die mir ihren müll verkaufe wollten ("undwoher wollensiewissen wo die propreitäre softare wann temrorädateienangelt wenn ei nicht mit ihren kartell zsummen-arbeiet wollen, dioc nich tewa per iscfstpsonage / revers-egeineering, doer?). Das ganz ist auch bei PULP-Fiction filmisch festgehalten: "Die Uhr die mein (Groß-)avter imWLkrieg trug" kaputt "im Arsch", Scheinbar war der dorgenhbäge Lehrling von deen "Savas Vitsikanos" (die muer abeiet in dieer kneipe Joker in den Louisenarkaaden und er selbst wohnte im Dachgescoss gegenüber dem Juwelir "Schimmelpfen...g") im Has der betügeranslstkazle "Cannawurf P perpelitz"a lso whsrcilich abcuht de rlehring von denen (der mit mir im Jdgeprement war) mal wiedre geld für Marihuana. Da habn die ich grndien yugsoslwichn chplin Imitot an-heuern wollen dies Ver Zanenr (geb Bger) udn Fliran Bruckmier band auf meine/usnere Kosten den niemand erwünscht hatte wegnd em streit mit dem hausmsietr über dne aut Zetansage falsch tickenden Schul-Gong. Woe die tükenamsfia mir sofrt Rassmus uterstelte egnau wie als ich sgte die evrchen irhe mitshcüler mit Drücker-kolonen Josb anszuzcken bim Zetusatragen für den "blitz-Tipp", sie lsbt evrpissne sich indenUrlaub idei Trüei um
angelcihden krebkaran vatre zu bscuhen wärhnd diei sdie mistchüler aus dushcladn her für die die fiagerbefoierne drüfen bei atragen der Kolosne wrebtgen damitd ie währnd sie inder osnn legenudndas geld duchbigen nicht ihre jobb evrliren, gelel "Ohuhn nachek"?. UDnwer was sgat wird mit FSCHVORWURF des sixuelelnMissbruch verleumdet wärhend die wikloche Verltigsopfer vehöht werdne udnbeiGeicht nict vorgalssn wrden. Dank der auskädermfia aus Humbioldstchülern dun KAseirn firdric SHcule shcülern udn Gesmatshcule amGlcokensten Verbrechern, de rbisauf de Knoche korrpuetn Schüler-vetretung, Umweltag (eprsste Industriekozerne um Millionen vonden dannsrsbsiche mistchüelr vor dem kirgdiste behart wurde). Das gaze Judegparlamnt war ien Haufen von Scherts-Kriminellen wo es drum ging risshc hsprehcnden Üerstzern Doltschjosb zu vschffen. Also jednfls fidnet sich ja die Sauerei mit dem Seedammweg Auto im Film Pupl fcion wider, genwo wie der "goodby Lenin "UDN DNAKE DASS SIE IENE Royale mit cheese" gewäht habe der die doekrtie abshcfft (sieh abgrissen shcild die würde desmschne ist uanstatsbar,die des adels aber shcon" inder Korad adrnaer straße her in Franfkiert a.M. Das gaze wurde also fstegaten, auch daß es gar kein Tanz-Event gab beimStatspfnag ider bsichft inBagkok sodne rnur bessofe Merisoldan die fraun zumidst blästgten die dann süpäter shcger waren udnwie ich gezugewurd indie erline hienevrgetligte Kide rnicht abzutreiben/ebetraben. Damsl hate ich sgat daß der schulgongnich rchtg tickt undds brchte beihasmsietr "Nkiic" danndas faß zum überlaufen, ie ahsister dern shculen ahten wolhe genau wie lehre illag Distwohnugenweiotervemite als nebeinaqulle kam rhsredn dazu under wurd gefeurt und auchOrhuhgn Nackn, de rty vonde rzetugsdrckerkollnon sollet absgchoibenwrden, de vonder tushciuhmafia. Jendffasl hate ich ienclipart inein artkle moter wie das bei schüerlunsgalyuts der Ende 1980er anfang 1990er jahr üblichwar. Bider aus ienm Claprt-Shcnipsel -Buch. Udn da woltedie mir alen etsnes utersllendas sieshclcihwerbung für den Juwleir demichiwn eratshcftsytsm gshciben hätte um mrpolsic z shceden, so dchknallt waren die. Ich habmich daml mit usnern Hocdeligen Bsuchern drüber uterahlten naläßlichdes baldanstehenden MIlleniusm Jahrstasnd Y2K Porblems wie unwchtg Timing doch ist wennes daumgeht oeb ein Beweisteelffax Bekker-schben beim Herrahsuenattata eigeht vor oder nach der Tat. Es gab nälich andfste dohunegn aus demosblock geen mich udn abkiers wegen der Alteigentums Debatte. Und die iege armee hate mcih auf dem kier wiel ich diender "sttabsuch vegrletigunG" sche ausgen wollte. Usnre Plite mIter habn aber die Jurnlsiten gar nicht zu uns sghcickt sodnr statdssen zu der TrickbetrüegrinChtsina Kruezr idnei kapsagsse wo ch wir einZes has ahtten. Die Sache mit dem "Interkom"-gegrpchalnagen problem wo die Mörder-bande diedei Zgen emrodden wollte udndas gaz offen dandrhte usnrkligelnwollte. (es sind ja mhr vercuhe mihc umzubrgen geshciret, vom Hrrahsuen attata und dem "ostend-Würger" vorfall der öoterroisten mal absgshen). Daran muste ich esgternd enkn als ichd s Uhren-Buch sah. Da ging es umdas Buch wie IWC dmal ien Uhr gabuit hate die den jahratsundwchsl anziegn sollet mechanisch. Ihc hab dmsl gsagt wenn man sich mit zeit-messung ebshcäftg dann könen man doch da mal anfangen, eizahrchd das dfür srgt daß alle hundert/ tasund jahre ein eiegs mal diedtaumanzeg von 19XX auf 20XX usmchalte. Das hätte mcih als digasludsti mager spielzeg itersseirt. Ichwieß ch noch daß e prsskollgenteam da ienebrcht drüber dehenwollte, die owlltenein Ur kaufe udn inien safe shclißenudndann mit KAera dehenod die wiklich ganz ohne äßere wiekugen vonslebst wirkloch dasneu jartasnd umschaltetdie "Grade Complication". Stichwort das Y2K Porbelem S(keundsn siet beginn der unix Epoch). Fürhe rmust manbei MS-Dos noch begegidne mitd dem 01-01-80 selbstd as datum angeben beim PC eischalten. Damit sidn alle zetstemple im PC manipaerbar wie bei einem rarpberry-PI ohe iegne battrgepufret RTC, wpfür es sattdesn die möglchkeit gibst das GPS SIgnal zu nhemn doer das DCF-77 ssgnal anstatt dem ntp - Zeitserever. Wär einsuper becht wgesen mit nr uhr die so vile koste wie ien Eifamilenahsu, udn drüber wie man solche uhrn davor shcütz daß ihre träger ihretwegen üerfallen wrdne und man ihen de Hr vom Hdgelenk reisst. Ich hate auch vor denerfidner der "SATCH" uhren einzuladen udnde "SMART" Autos i Kooperationmit Merces Benz wo ich bei den Kozenr-Jursten jemdne kann genwwei bei Porsch -Design iMnagmanet. Wir haten sogar üerlegt di schüler auf ne Go-Cart bahn einzuladen mit Formle 1 nachwuchs. Aber hye,ihr hört ja liebr irgndlchen evrisfe Junkies zu di Grupevegerltigen plan udndannauch noch druchführen und denzuhälten vonLuxusnutten. Un ihrlsst such liebr vom Klassenfeind unterrichten der utersduonym ider shcüerztungshcue schreibt udhfpflichte Shcüler gegenirhe iegen armee aufzuhetzen, ic häte auch Kotakt hesteltl zur Lufwtaffen führusgeben samt (RAMMSTEIN) Flugshow. Nur wiel "driken sialors" sichdnebnbenehmen geilt danicht für alle im Militär. Ich wllteeuch auch mal Zgen wie man Flugezueg slebst baut mal in LAhnunganden trbienbau in oerusel/Ts. Jedenfalls gibt es da noch ein Protokoll und ein Buch wo die präszisonmehcik die alle hudert doer tsden jahre ienma ien "zger" bewegt be-schriben wird wa sichmien Kudn den juwelier zu besorgen bat u da the falsch tockernder shculgong zu evrtfen der ale aus dme takt beingt, "ZIT MAL ZET" 1.300 Shcüler mal 2 Minuten am Tag sind 2.600 Minuten unpünktlichkeit". Leute die irhe Busse verassen und nshcluss-Zug-Bahnen. "DIE WELT drucekrpsse STEHT STILL - EIN SCHÖNER TAG" an hat usn die Druplaten aus de roffemstamshcine grisn per Gerichtbeschluss. Wer sialtegtum inder DDR den ost-gebiet rücfordere vo wo er vetrebe wurd sie ein "Nazi". Da habt irh aber cht glück das die Zetstemp de fax-mashcin für die frstwahrung vor egricht mist aketert werden. Cih wollt mi Fresikrn des LKA/BKA zgen iemanilurebar das ist wie ich imBakenebrch gerde an iem BDF Daten Faxsreverproejkt arebiet wun d wi Badbrite ergeudet wird mit VoIP-Codec &/ G3 Faxn ausf ISDN. Darf ichallesnicht, d skoste Ja Josb bei de gelrshcfat. die mit demMonpol auf prssesuweise die die r andohen "wenndue das shcibst behcn wirdeir die figer" vor Zegen udnw enn di es dann dnencohschbst erfgtens ie dich mit Sylxie erzegenden Parknson oder ADHS-Medikamenten. Dmait nicht vershetlich die wahrheet geschrieben wird. tatta dem kommste du frtsämmkgen Propaganda - Müll. Dan bagen berlinNueKölln02407 / #berlinTgaUndNacht. Di Wge von Peggy, Jie und Brun0 udn emki wolste ien Baum fällen mit der Axt. Das hat man füehr so gcht,mit Jagertee udn dsn Shcltten zu rdlen migenommen und so. Außer man is Kommsute oder Frdrstämmig. Emmi war sauer wgen de trennung udn eskamerus daß Peggy tatsächlcivrhct ahte sie mit Bruno zu evrkuppen. Derweil prickelt in Chiars bauchnabel der Schmawien Alkohol wie in einem spsrsparlienn-schkoladen-nickolaus-stiefel. Zum glück ist di chiara nicht schwanger sovon wgen alkohol udn anuchbabel. Amelei udn lennrtamcten eien prüchen abend und Kärtez fiert ausgelsen, er ist ich fireret üer die https://www.tvinfo.de/fernsehprogramm/2032216974-die-simpsons https://www.tvinfo.de/fernsehprogramm/2032217001-die-simpsons https://www.tvinfo.de/fernsehprogramm/2017814809-bach-ein-weihnachtswunder https://en.wikipedia.org/wiki/2000_Years:_The_Millennium_Concert https://de.wikipedia.org/wiki/Vom_Himmel_hoch,_da_komm_ich_her https://de.wikipedia.org/wiki/NORAD_Tracks_Santa https://www.faz.net/aktuell/rhein-main/wie-der-frankfurter-flughafen-seinen-fluglaerm-reduzieren-moechte-110032221.html https://de.wikipedia.org/wiki/Sound_of_Frankfurt_(Festival) | |
|
19.12.2024 12:37 |
|
|
|
|
![]() | |
| [0] |
20241219-1237-0-1.jpg |
|
19.12.2024 13:41 |
|
|
|
|
![]() | |
| [0] |
20241219-1341-0-1.jpg |
![]() | |
| [1] |
20241219-1341-0-2.jpg |
![]() | |
| [2] |
20241219-1341-0-3.jpg |
| Delivered-To: ***.baehring@g***mail.com
Received: by 2002:a05:7300:bb0a:b0:150:7a22:362 with SMTP id dm10csp1511868dyb; Thu, 19 Dec 2024 04:41:39 -0800 (PST) X-Forwarded-Encrypted: i=4; AJvYcCXX985gxlVIRRzD/XsKs9F3T2SRDrcHL7uWpgO8oIzXQqqiBphgkiuKLNadqJ+4mIW9orxDr/qFbhuU/kPLshs=@g***mail.com X-Received: by 2002:a05:620a:4054:b0:7b7:7d6:dfe9 with SMTP id af79cd13be357-7b9aa9c29f5mr419534085a.48.1734612099441; Thu, 19 Dec 2024 04:41:39 -0800 (PST) ARC-Seal: i=3; a=rsa-sha256; t=1734612099; cv=pass; d=google.com; s=arc-20240605; b=kOLeNC3AB9vZsrhMs8KdJ/+k1sNTGrfQPIuaGUGZ/y7J3P8Ip0xn0DPQxahKixuIvr 9wzhkXYa8OvQahPjAdfDyvLM3v6VaTepjZM3ialngbY4gsOzlKdG2VGH6+K3V4kzdjMt mVXv9154gRauBZXcWxMWX7OsTirgAqo6c+kKQehSciwC08m6D2nS86j2alP3X0EQOwh9 ao8AvfkUJrrWkWo+fnqT3dro0GuiKUII5XBidgqYAIrkHeJm1rPAb5NNXT9ENHIwvY2P IQ9PXy/g6Qo1iA19mwUwq3hulIWtvwFRn+Z7ElFZHt6Bqzl35FQATM8XqmO9t2TUp67H fKMA== ARC-Message-Signature: i=3; a=rsa-sha256; c=relaxed/relaxed; d=google.com; s=arc-20240605; h=cc:to:from:subject:date:message-id:mime-version:dkim-signature :delivered-to; bh=wxbeu0K2fZ6dMoM4dOgndadPvc7wc+shKo9s0d4ZRC8=; fh=4Thd6Z2FlVvmJWEGd/6UfxwSLd9+D/U7sb/sEQTFMks=; b=hy2pLe5mEOIVRSTgRCJ8rRvmu6NT8emVm7JPDELar3VgnydkifBtnoEl7XKGKdGNix +HTCsfEy1WMt6c6aUpbz2/YBEGm2B9eXamIPuz3IL9lBNvrZbGBLEDukTGUk3aA8xmsR rLrnCbeVoOYitCrKcUO1SEaw/001Hh5c4Z1fUZKvJVMVDMPVNs0WdH8tetr7wm1M4f36 VcCOFxQ06wrqPTJ1ddfwUpjYpV5bg3te8hcJbtX4JL4HYiUagRp9S0pTI6KQ7hrPa9sY ig5zlLsBLc6ovEMlCijPAGa4h1brPA5gtNhCaty8/uLYUIxubDPVneJIHEyuEMTjEqc3 cJvA==; dara=google.com ARC-Authentication-Results: i=3; mx.google.com; dkim=pass header.i=@***.de header.s=2024 header.b=5rokN7Pv; arc=pass (i=2 spf=pass spfdomain=***.de dkim=pass dkdomain=***.de dmarc=pass fromdomain=***.de); spf=pass (google.com: domain of maximilian.baehring+caf_=***.baehring=g***mail.com@g***mail.com designates 209.85.220.41 as permitted sender) smtp.mailfrom="maximilian.baehring+caf_=***.baehring=g***mail.com@g***mail.com"; dmarc=pass (p=REJECT sp=REJECT dis=NONE) header.from=***.de; dara=pass header.i=@g***mail.com Return-Path: <maximilian.baehring+caf_=***.baehring=g***mail.com@g***mail.com> Received: from mail-sor-f41.google.com (mail-sor-f41.google.com. [209.85.220.41]) by mx.google.com with SMTPS id af79cd13be357-7b9ac313d99sor150396885a.5.2024.12.19.04.41.39 for <***.baehring@g***mail.com> (Google Transport Security); Thu, 19 Dec 2024 04:41:39 -0800 (PST) Received-SPF: pass (google.com: domain of maximilian.baehring+caf_=***.baehring=g***mail.com@g***mail.com designates 209.85.220.41 as permitted sender) client-ip=209.85.220.41; Authentication-Results: mx.google.com; dkim=pass header.i=@***.de header.s=2024 header.b=5rokN7Pv; arc=pass (i=2 spf=pass spfdomain=***.de dkim=pass dkdomain=***.de dmarc=pass fromdomain=***.de); spf=pass (google.com: domain of maximilian.baehring+caf_=***.baehring=g***mail.com@g***mail.com designates 209.85.220.41 as permitted sender) smtp.mailfrom="maximilian.baehring+caf_=***.baehring=g***mail.com@g***mail.com"; dmarc=pass (p=REJECT sp=REJECT dis=NONE) header.from=***.de; dara=pass header.i=@g***mail.com ARC-Seal: i=2; a=rsa-sha256; t=1734612099; cv=pass; d=google.com; s=arc-20240605; b=YSrrvA7v5ihYM+DttjY/tkACQXAsAeakfbU/FqfP9UbkdpDJzKmIWz3sctk/swMYSw As/Mf0rVQfiNQc8BStYSa9myYIZ7hqDgWRhIJPep4ZxSJEmt1KmT6x2adp/cg25PGuvQ 34v34PiKebldc8BJA/yJ2+wPwclj58TMlO0pV8Px8r40zsDn8IJvU11yKBNdCMxSx5AT bNJ7OKYnFww35muw5d6sTkT7v/cwljr876zqt4edcvj2wxMhC7VfjrENwZ302HFtkaqn SAURe33a/G08gEhAOw5xUtTmEzbBaTdV6iweupTxnJArmU+FLCdF1FaWW4mXTFd4dtAb g6sQ== ARC-Message-Signature: i=2; a=rsa-sha256; c=relaxed/relaxed; d=google.com; s=arc-20240605; h=cc:to:from:subject:date:message-id:mime-version:dkim-signature :delivered-to; bh=wxbeu0K2fZ6dMoM4dOgndadPvc7wc+shKo9s0d4ZRC8=; fh=4Thd6Z2FlVvmJWEGd/6UfxwSLd9+D/U7sb/sEQTFMks=; b=V1KcUsAm24Km1AKwkcg+n3jOcSQ9QH8ChB4v/XNqQ294vvbB5aY1+B7T/LBGCfCt60 TWhmiLt5p0598L3mE7YUws0MsDAZZSvlDi1X6FiZ5BcVYtcZOD+rC4qb8kTKx0NY6Skj KxWzMVnbMQ7nkSGJ/JHFxq0ukIodiL2efTjsHxLjeO3JjQ/TKUxFXdXj5J6Ze9ckEXxn khBod28ApAcnNkY8zY1XLCNntdWc61OS+Y/qayBYDmR/no7kJg890HE1wgixUlB71+LC Us0aJ9YOQ/JJqAEAYxTYSbW9v0B2DQajkMpznWruQc4edn0sqKFVKaLo9gjyYCBWsEJW GuOw==; dara=google.com ARC-Authentication-Results: i=2; mx.google.com; dkim=pass header.i=@***.de header.s=2024 header.b=5rokN7Pv; spf=pass (google.com: domain of noreply_fax@***.de designates 62.27.68.22 as permitted sender) smtp.mailfrom=noreply_fax@***.de; dmarc=pass (p=REJECT sp=REJECT dis=NONE) header.from=***.de X-Google-DKIM-Signature: v=1; a=rsa-sha256; c=relaxed/relaxed; d=1e100.net; s=20230601; t=1734612099; x=1735216899; h=cc:to:from:subject:date:message-id:mime-version:dkim-signature :delivered-to:x-forwarded-for:x-forwarded-to:x-gm-message-state:from :to:cc:subject:date:message-id:reply-to; bh=wxbeu0K2fZ6dMoM4dOgndadPvc7wc+shKo9s0d4ZRC8=; b=OVySODHDelI7R+rs6cotb8kN56xh1hBhGbkPnw3gEf1Iej1gWooM2CpTLRtBPYYTB7 8hC1ORhmQThSRXOQoR9TyXk/G1UlcL0jLZccryd5cZLzCcuCN3uYQbfRFuxeBsnV85xj ZK6VX9WS5aKWRjqNsNRwsZ2UWPNotaVgpXmGLSBbUHWiVi0NOyjG9lOBedl+Zz2UncYv vg0EqCyKEbGdSjlPxwFoC3vAIrN9U1xRbpkZRHMqU5iagvSLXmrHYs9MFyUBVVKrQxcZ +yvlY4eYQ9uJ0GgYSQ1a8VkVC93GJ6T5JdBeUFjhu9e8HavwhiEzAVxyjkt2Plk7i7Ka Pjeg== X-Forwarded-Encrypted: i=2; AJvYcCWhlpjf0aVcGuPoIH5yZwU577RVry3ZIjikBl/OTADe2760Fk/Vdb4UH8KRFxa6CDOUnheIWDZWzUZimiIBYgE=@g***mail.com X-Gm-Message-State: AOJu0YwvDXtfwNhHk11qPwZgDxbD78++YYrvp74qyNyfMRCjvImWaJvE /lhuWgjelDL2tmB8XBLefoiJrIrSDJ5r6N0dyOYl/ryZK/s/GjLevv1Jn/EIjn12NEDNkCwKJ/+ oW6vDOQKiM5FMQixcfS84l4JuybwoNfyGmlvOhxOifmsij7KwGANYxmPoog== X-Received: by 2002:a05:620a:2a05:b0:7b1:4ddc:165d with SMTP id af79cd13be357-7b9aa8b5b5cmr436685185a.13.1734612098611; Thu, 19 Dec 2024 04:41:38 -0800 (PST) X-Forwarded-To: ***.baehring@g***mail.com X-Forwarded-For: maximilian.baehring@g***mail.com ***.baehring@g***mail.com Delivered-To: maximilian.baehring@g***mail.com Received: by 2002:ac8:4405:0:b0:467:6eb5:5c6 with SMTP id j5csp1507864qtn; Thu, 19 Dec 2024 04:41:36 -0800 (PST) X-Forwarded-Encrypted: i=2; AJvYcCUv6f95LySyirc5j2cpGyhLd9AFYfqEDOyS0CrOF8I4m9y/JjlspMBV7zv2/1MnNphzXv4QVagT2KQi8soDFoHpU4w9@g***mail.com X-Google-Smtp-Source: AGHT+IGMBAy6ue2uTwVLnkhEBB/tusIsWyK13I+L9qjAgDOumXHr+EDhdzvNgqzSeI17l3fZACFZ X-Received: by 2002:a05:6000:1f83:b0:385:f398:3e2 with SMTP id ffacd0b85a97d-38a19b36ff6mr3173144f8f.37.1734612096473; Thu, 19 Dec 2024 04:41:36 -0800 (PST) ARC-Seal: i=1; a=rsa-sha256; t=1734612096; cv=none; d=google.com; s=arc-20240605; b=NDNbVTV9yhbEiNi5h2c0JEfFJxvLFi9y22Is1rFwv39PfxQcKht6C2vRUbV72f1dYO 5MMRnoqNwN5u1rbZOKXoXoAbdhxpBdZQc+U5pJN+VpXQGgwQ7JMmosYorw9ESCHB1cs1 c/r/yXMgBZpq5PYin/kSkoCeu1yaSvKgeHbytPQVMJ8slKUfgc15rHTJRJjFpjA1LBsy lIG/e2/rGEXW4VBkkUyu+duuKhLIPjJZQRY7W2F3GNeTw+4gexfVtZP1fp1s8cCekKRF 12X3ZCKTPY0vIpI+be0/pWu1Nhpeutxtktf1CGoEXY2QBdNyKaCxT5XYJl7V67UhTz53 Sx6Q== ARC-Message-Signature: i=1; a=rsa-sha256; c=relaxed/relaxed; d=google.com; s=arc-20240605; h=cc:to:from:subject:date:message-id:mime-version:dkim-signature; bh=wxbeu0K2fZ6dMoM4dOgndadPvc7wc+shKo9s0d4ZRC8=; fh=aHcCeard5IXjkN98OgHVbKPfGoBwnRFCEqQIw+uN1DM=; b=Dm5ffN29aIchZbirTxAnZX3tXVg21ZfKB9+bu50fJzCgQNdhl+v8xFrrfVP4a0RHEr kh/a/DQPJLpG61LLqHqd3clqIQm93Ux0Kc8BeFWjVYoBnZdyBGhHlFhRh9uyBkQOqrtq EofPrKAqnJe5bdGEi1jlz0jgsN/osU59PGKguxsR1BARtU3OcCpWl9WZBw3Qq2HeXgXP qa6FoChaBuVIxYEEUlwTWwvvZAY8b60GiqI7YtIhaul0DGz4MfHfKT6pdjOZ0rzsOA2S ro/9a43JlAqK3xu/8F6eV+7C8xI5meFdg0Qw5ukH7khM+cCNRbRLlJrGxqiTleL1KIb2 2n5w==; dara=google.com ARC-Authentication-Results: i=1; mx.google.com; dkim=pass header.i=@***.de header.s=2024 header.b=5rokN7Pv; spf=pass (google.com: domain of noreply_fax@***.de designates 62.27.68.22 as permitted sender) smtp.mailfrom=noreply_fax@***.de; dmarc=pass (p=REJECT sp=REJECT dis=NONE) header.from=***.de Return-Path: <noreply_fax@***.de> Received: from mail.***.de (mail.***.de. [62.27.68.22]) by mx.google.com with ESMTPS id ffacd0b85a97d-38a1c8b88f8si795797f8f.316.2024.12.19.04.41.36 for <maximilian.baehring@g***mail.com> (version=TLS1_3 cipher=TLS_AES_256_GCM_SHA384 bits=256/256); Thu, 19 Dec 2024 04:41:36 -0800 (PST) Received-SPF: pass (google.com: domain of noreply_fax@***.de designates 62.27.68.22 as permitted sender) client-ip=62.27.68.22; Received: from dpl-app-6bf98bfb6c-n6xng (unknown [192.168.252.205]) (using TLSv1.3 with cipher TLS_AES_256_GCM_SHA384 (256/256 bits) key-exchange X25519 server-signature RSA-PSS (4096 bits) server-digest SHA256) (No client certificate requested) by mail.***.de (Postfix) with ESMTPSA id 0DD2F583C19 for <maximilian.baehring@g***mail.com>; Thu, 19 Dec 2024 13:41:36 +0100 (CET) DKIM-Signature: v=1; a=rsa-sha256; c=relaxed/relaxed; d=***.de; s=2024; t=1734612096; h=from:from:reply-to:subject:subject:date:date:message-id:message-id: to:to:cc:cc:mime-version:mime-version:content-type:content-type; bh=wxbeu0K2fZ6dMoM4dOgndadPvc7wc+shKo9s0d4ZRC8=; b=5rokN7PvdLKjT4hfkGPsFLhHk8RkesNqb0xDoCL956f+bwjbUdoFjcxspSrYf7c9CtAF6P 0gnUUXeQ82izOfCWbQtVwgWoXFomT5s4caFI+cmRnmr2/bVzIeBDjKEjTyO4HAkwnGfl+e UwlmYKSevk6nx9V8SbwS/8lBfFa8qTWOZZq0EN2UqNsXibtlhyfrgvHoigy3d+xJCbuiJp LZ4xAlAQHIhPXGSFc0W03B5Sbx5LN2T2udmBcIa/xfYpsEnkZxREJJBvLPZR+JCb7GL+5h uN4tTH8JV+d7noZsj/DHeYg1H6Xh5MDcJ0p4iF8HCpXP8ZddU52BysoRsF2E8A== MIME-Version: 1.0 Message-ID: <msg.1734612096043.vertxmail.20316@dpl-app-6bf98bfb6c-n6xng> Date: Thu, 19 Dec 2024 12:41:36 +0000 (UTC) Subject: Sie haben ein Fax von 496948006538 erhalten From: noreply_fax@***.de (*** Fax) To: maximilian.baehring@g***mail.com Cc: Content-Type: multipart/mixed; boundary="=--vertxmail_864186602_1734612096043_20315" --=--vertxmail_864186602_1734612096043_20315 Content-Type: text/html Content-Transfer-Encoding: 7bit <!DOCTYPE HTML PUBLIC "-//W3C//DTD HTML 4.01 Transitional//EN""de"> <html> <head> <meta http-equiv="content-type" content="text/html; charset=iso-8859-1"> <title>*** Fax2Mail</title> <style type="text/css"> a{ text-decoration:none; color:#E55A05; } </style> </head> <body style="margin:10px 0px 0px 0px;"> <table width="100%" cellspacing="0" cellpadding="0" > [...] <tr> <td colspan="3" style="padding-left:20px;"> <div style="max-width:500px;"> <table style="z-index:1;" border="0" cellpadding="0" cellspacing="0" style="max-width:500px;"> <tr> <td> <div style=" font-family: Lucida, Calibri, sans-serif; font-size:12px;"> <br /> <p> Guten Tag, </p><p> Sie haben ein neues Fax erhalten: </p><p> Absender: 496948006538 <br> Ihre Fax-Rufnummer: 00496967831634 <br> Zeitpunkt: Thu, 19 Dec 2024 13:41:36 +0100<br> Seiten: 1 <br> </p><p> Das Fax ist als PDF-Datei an diese E-Mail angehängt. </div> </td> </tr> </table> </div> </td> </tr> [...] </table> </body> </html> --=--vertxmail_864186602_1734612096043_20315 Content-Type: application/pdf; name="Fax-20241219-1341.pdf" Content-Transfer-Encoding: base64 Content-Disposition: attachment; filename="Fax-20241219-1341.pdf" [...] --=--vertxmail_864186602_1734612096043_20315-- | |
|
19.12.2024 13:47 |
|
|
|
|
![]() | |
| [0] |
20241219-1347-0-1.jpg |
![]() | |
| [1] |
20241219-1347-0-2.jpg |
![]() | |
| [2] |
20241219-1347-0-3.jpg |
![]() | |
| [3] |
20241219-1347-0-4.jpg |
|
19.12.2024 17:45 |
|
|
|
|
![]() | |
| [0] |
20241219-1745-0-1.jpg |
![]() | |
| [1] |
20241219-1745-0-2.jpg |
![]() | |
| [2] |
20241219-1745-0-3.jpg |
![]() | |
| [3] |
20241219-1745-0-4.jpg |
![]() | |
| [4] |
20241219-1745-0-5.jpg |
![]() | |
| [5] |
20241219-1745-0-6.jpg |
![]() | |
| [6] |
20241219-1745-0-7.jpg |
| Beihilfe/Begünstigung RAF–TERROR per Postunterschlagung Kursmanipulationen/erpresserischer Menschenraub/Straf-vereitelung, Gefangenenbefreiung, Zeugen-Medizinvergiftung/Vergewaltigung
Maximilian Baehring Hoelderlinstrasse 4 D-60316 Frankfurt/M per Fax: +49/(0)611/32761-8116 und -8431 persönlich / vertraulich Pressestelle Landgericht Frankfurt a.M. z.Hd. Vors. RiLG Dr. Jahn / Richterin Hoefs Vors. RiLG Dr. Trosch / Vors. RiLG Annen via der Poststelle im Gerichtsgebäude E Hammelsgasse 1 D-60313 Frankfurt a.M. Im Internet findet sich unter der URL http://banktunnel.eu/pdf.php und URL http://blog.sch-einesystem.de/ mein ausgedruckt fast 31.000 DIN-A4 Seiten umfassendes Internet Tagebuch / Blog, als Offline Version downloadbar unter http://*** /***/ als ISO-Image (brennbar auf DVD) mit tagesaktuellen ZIP-Archiv Ergänzungen Neu: https://www.tiktok.com/@maximilianbaehring/ Frankfurt a. M., den 19. Dezember 2024 ALARM SOS MAYDAY(DER ZWOTE FALL, HEUTE) WEITERER, ZWOTER SCHRIFTLICHER, ZUDEM GAB ES VON MIR EIE NORIF VOMITERETFCE AUS BEI DEM ZEUGEn ZUAGEGEN WAREN, DANN WEITERE NORTUF ANRUFE BEIM 1. UND 5. REVIER Ich war eben ab ca. 12:15 Uhr Unterwegs um in ihrem bis auf die Knoche korrupten Saftladen namen namens „Justiz“ Post loszuwerden, und zar so daß sie nicht von ihren bis auf die Knochen korruten Mitarebeitern die teil einer organisuert kriminelle Ogarsioation uneter Leitung von Ulrich Rossmann und Andrea Ressler vonder füherne Gaststäte Hexenkssel in Bad Homburg sowei Florian Bruckmaier dem Sohndes Kurdorektors abgefangen wird. Die mordne und entführen ganz gezielt die Kinder von Zeugen, vegrltigen und Medizienrvgeften um ein Juwelnraub zu ver-tuschen beid em sie stele der beuet slebst egstckt haben und sein eprssungdes Kozerns Matllgesllsft AG was alles beides in unmittelbarem Zusmmnhag steht mit dem Sprgstoffnashclag uf dne vortsnd der duchen Bak Herrahsuen in Bad Homburg. Einschreiben RR665222780DE 19. Dezber 2024 Fax an +49/(0)611/32761-8116 09:48 Uhr Dabei bin ich auf amssivste Unstimmigkieten gestoßen die mich dazu gebracht haben vom Telefon +49/(0)176/6560507 den Notruf zu wählen und dann Späternochmal von zuhaus aus weitere Notrufe abzsetzen an 5. [+49/(0)69/75510500] und 1. Revier [+49/(0)69/75510500 nchdemich dort nicht bedint wurde. Ich hab das telfon laugt geschaltet und stand dabei im Intermetcafe Telezoo inder Pfigstweistraße 14, D - 60316 Frankfurt a.M. . De rgrud heirfür waren betrügseriche zeit-Manipilationen am Kassnesystemen des Cafes „try-Cofe“. Und zar nhemich zusätlich zu den ishcbebeglb noch vidobewise auf wenn ich post versende. Und zwar aus sehr gutem Grund. Dabei nutze ich paralle zu den Postfilial- Zeitstempeln auch noch Ztesempe von KAssnbons von Cafes mit WIFI/WLAN von denen aus ich Beweisvideos hochlade auf Social Media oder auch von Supermärkten aus die WIFI/WLAN Zugang haben. Das macht abe rnur sinn wenn dern Kasbonzetsempel stiummen. Und das ist bei „Trycofe“ Zeil 5, D-601316 Frankfurt a.M. nicht der Fall. Der Beleg der Ec-Karte und der Beleg der Krgsieretkasse wichen um mehr als ein Studne vondier ab, waß sich mit der Difefrszn ME(s)Z zeitzoen verus UTC/Nato-Zulu besssrebeakkt al Grewneich Mean time nicht erklärt. Zm beise hab ich dann noch weitere Zeitstempel genommen, apssnten gebetn mir die urhzet zu sagen udnsi ebageglcihe mit den Bons. Sie istime deiftiv nicht, Ich bin dann noch ein zwotes mal dort hinein und habe ein wetre epsoress gerodert und die zet wich wider ab, auf dem Bons stand abr nich geräbnke sodnr spiesen, de rbtrag stimmte jedoch. Ich machd as nichta su Sßapaß mit dnezetsempels sondern ich kann vielmehr ganz massive Poststempel-zettpukst manipatioen SEITNS DERJUSTZ HIEB UND STICHFEST NACHWEISEN wobei Bedienstets der rUstz und Poliez Beamte midnetsnsMilloneträeg unterschlagn haben aus vemeintlicher Beute. Und dann Zgen evrhftete und Kinder entführeten um das ganze zu böswillsgt vertuschen. Eben 19. Dezeber 2024 13:47 als ich von gericht und Post zurückkam erhalte ich (per normalr Briefpost) frankiert am 18. ihr Schreiben vom 17. Dezember 2024, 2 Blatt, 3 Seiten, das erste Blatt (begleitscchreibn) Vorderseitig bedruckt, das zwote Blatt „Beshcluss“ (vom 16. ausgfertgt 17. Dezbere 2024) beidseitig zu Aktenzeichen 28098 C 360/24 des Amtsgerichts Frankfurt a. M. Klageschrift erhalten per Zustellung am 18. Oktober 2024 Begleitschreiben datiert auf 04. September 2024 „Erweiterung der Klagschrift“ erhalten per förlicher Zustellung am 14. Dezember 2024 darin Klagerweiterungsschreiben vom 19. Noveber 2024 nebst Anlage / Begleistchreuben vom 10. Dezember 2024 daß obwohl es wohlam selben Tag zur Post gegeben wurde wie ein andrer förlicher Zustellung Schreiben vom selben Tage erst zwo tage später eintraf. Das shciben heuteging an die Oressestelle des landgerichtes in frankfurt a.M., wo ch evrcuht hate ein dreh geneheigung zu erhalten umd den korrupten Beamten „heuser“ überführn zu können (Mitgliedschaft kriminelle terroistch vereinigung). Er hate mich dran ghidnert zum Prädinstendes langeeichst vorgassne zwu rden, zur Rechtsantrags/Geschäftsstelle und zur für die Prozskostehilf zustädoigen stelle. Darum ging es in dem 4 suteg shciben übertitlet mit „ALARM SOS MAYDAY“ das ich heute zur Post gab. Liede rbudt irhe Justz so viel Scheiße daß ich esrt vor wengen tagen am 16. Dzeber 2024 nues paier nchkaufen musste, mir am Wochende galub ichwars die Drcukeritne ausgiung (zum Glück hat ich welche in Reserve) und ich heute nochmal los muste um neue Fenstre-Brfumschläge/Couverst zu holen, da habe ich hute um exakt 12:18 Uhr eldigt alut kassenbon bei Drogen-Rossman in der Zoo-Passage. Dan bin ich mit dem noch nicht imCovert befindlchen Brief zum Kiosk mit pstfilaile in der Zeil 5, 60313 Frankfurt a.M. neben Western Union gegangen und habe dort den ztugstäder abfotogarfert als (im vorhinein) flsächsichern zetspempl ähnlich derer die das RAF TERROISTENOPFE Abrtegeberpräsdinet „Hans Martin (?) SCHLEYER“ vor sich hielt asl „SIET XXX TAGEN GEFANGENER DER RAF“. Dnan binich ins iner des Kiosk/pisfilaile geschöäfts nebdn dem wetrn Union gegange wo ein digtal uhr ander wnad hängt und habe diese abgefilmt. Da war es ganz exkat 12:24 Uhr etwa überistimmde mit der Uhr an der Kasse von Rossmann. Dann bin ich von dort aus zur gesrealstatslscft wi ein junger Hab-(?)Asiate saß mit 3 Stage Vollbart irgdws mit *Paul* aufdem nasmschld der Koleg von Herrn Maleki. Der scher der vorwüfen rschsft tragen steckte ich vor dessnaugen die ebduckten Bläter die ich von zu ahsue mitgenomen ahte, das shciben an die prsselete beim Landgericht, in den umschlag ncheem er per usghscin prfüng gsschkt ahte da diese idtsch ware mit meiner (doplsietegen) Kopie des Briefs. Dann habe ich das schieben zu deiser Kiosk Postifilae in der Ziel 5 Zück gtragen im vshclssn usmchag undort abgeben. Da wr es exakt 19 Dezember 2024 12:37 Uhr. Dann bin ich von dort aus isn Inetrcfe nebenan ud habe ein Epsesso bestellt um WLAN Zu bekommen. Da wra es laut mien Hadny 12:47 Uhr und ich mchte ein vido mit dem Kassnbon drauf. Ic ehrekctals ich sfstelt daß dort 14:02 Uhr stand. Das Kont nich stimmen, auch duch ein falsch Zetzone nicht, die verädern sichmeis wissn nch stest inshcitten um ein stunde und nicht in Sütügen zu einer halben Stunde. Ich bat eien Frau die neben mir am Thersn saß mit ein m Kopftuhc inder Ekc zum büregramt mir die Uhrzet zu sgen und filmet diese vonirhem Srtphone ab. Da war es genau 12:40 Uhr laut ihrem Smartphone. TTAEVRUCHUICHT rannte ichzurpck indie pstfilale Undhielt den Bion erneut idnei Kaera, der bon sagte 19/12/2024 14:02 die uhr imkios die üerstimmt mitder des eishcben Bons zeget are 12:50 Uhr als ich dort eintraf. Sicheisthalebr nahm ich dannien Umschlag udnshcikte ihn per „Pio“ post nochmal an mich u ein wetren Kassnbon und EC kassnbelege zu bekommen. Da ich nur sfterusmchläge dabiehate sbtlet ic mir aus Paktafklebren daz eien Birfhatl denich ins Sichfster des briefs klabte und aifden ich meine Anschrift schrieb. Dnn shcikcte ich dann an mich slebstlos sneudngnumr „F1 011C 6851“, der Zstsempel dfür ist 13:01 Uhr. Von 14:02 Uhr kannalso kein Rede sein. Dann ging ich zurück in das Cafe und sagte daß ihre kassnbosn nicht simmen, daß es aber für mich sher ichtg sie weil es um Beiskraft gegeh in einer Ermittlung wegen terroismus, erPRESSErichem Mennschenraub, ichwurd zunehemn udnfrudlcieh bdiet üebwhl cih einen zwoten Esprosseo bestellt habe um erneut WLN/WIFU zu erhalten. Sofot luf sich die bwisvidos isn Netz hoch auf Social Media. Dans tockte plötzlich das WLAN/WIFI dort und ich wurde vompüerosnal herausgeworfen wielich mehrer Gäste frage ob di ezte bei ihe auch fashc sein um auszsuchließndas man nur mir ein fchen beleg gegen hat vershlich oder bashctlich unterjubelte. UmdenUplad des beisvidos fostzsetzen de ruetrboche wurde bicn ich dann zur pfert der gersatsstnslcagft, Zeil 42, 60313 Frankfurt a.M. zurück. DA war zu uaber ichsste daß die neurdings wlan haben hab mich egeloigt und evrchtdas vido hochzuladen. Vor dem eignagstnden drei Frauendiemei betsäögten daß es noch alneg nicht 14:02 Uhr war un shcoingar nich ich glaub 14:25 urh war es aufdem zwoten Bon für den andern Espresso. Der EC Karten bgelg von ca. 13:05 Uhr stimmte. Dne gab man mir aüßets widerwillig heraus. Es stdn wiesgt „Speisen“ darauf, nicht „Cagfe“ oder „Espresso“. Ich weiß das andere rsllser, die wirten aus dem hxkssel mit iher shczafriaksichen Poliszetn Fundin mal gaz ähöliche Manipaltioen eghct hatte bei Juwlenruab bei Juwleir Zeus in Bad Homburg, ienem Kudne von mir, ganz zuetnah zum Herrhausen Attentat. (Im Intrent/derWikipedia stimmendie Zeitpunkte nicht udenzusmhga zu verscleiern/vertuschen).Ich hate zufällig asl ich imHexkssel war indmeinEx freudnin anglcih vokirmienlel bdorght wurde die dort gslcschden für den Inahber aufd em Paper das kopf hiheilt als srevierein nebendem sudium, also ich hatte zufällig mitbekommen daß die da irgdlceh Illageln absrchen zu FASLCHASAGN machten. Veregwligungen laten und Kidpping. Daß ichdas später Opfer sin sollte wusst ichda noch nicht, ichdahcte aj Andrea rssler wüäre ein gaz naormel Mitshcülerin/Ferdin/Komilltonin und kein schwerst-kriminelle. Dmasl gab es absichung idneden Invatrulsitendie vom Juwleier andie verucherung gshcikt wurdnench dem rabubüerbafl mit dem evrulcihdie RAF Teroiste deiahrarhsuen ermrodet haben ihre flucht finezret.Es gba dasm ein eihsserie in abd Homburg die große teie de rgshcäft idne rinstst betsrfa (man barch auch bei mir ein,stahl mien AEG Handy bauglch zu ienm Nokia 1110, rufnuer 0171/2104598), das ist alle bsi de rpoliez ansgzegt wiorde es gab mere eibdüch indie kisselff-starße 10, 61348 Bad homburg im Soustrarrein wo ich dmals mien büro hatte. Als ich neb de rhsciul her EDVProgar shcibe,d aruterdei wrrstcfat fr den juwelier. Ic shcib dasml auc noch an einer Software im bankenbereich mit ud ma wollt emich zumSüdnenbock amchne idme man bahte die softare habe die sbtdnslisten vor und nch dem üebrfall verdert. Dakannabe rnicht stimem da Juwleier zeus damsl üer ein herkällcihes tehroppaper afxgerät evrfügt hat mitdem er afxe andie evrshcerung shcickte. Z beis des tetsempels gingerdamsl ineincfe um die Ecke udnlißeich für das treineknes Cfes ein kassbonagebn dn erm mri zeigte. Dieszüglcih hatre ich heute ein titals „DEJA VU“ denninder Illagelan Ausagsbshcr derzegen imhsksssel Ende 1998 die isch zufällig mitbakm ging es um gau so ein Manipiuulation. Da ist ie shcensumem ovn mehren Millone euro nestnden meisn wissens nach damals. Der Legrling von ihm war Mrihuana Komsument udndem wollte die evricherungdas indie shcuh schieben. Mcih evruchet man zu eprssen nicht azsuzsgenidnem man beide rnoch nicht gaz fesen zu demos zscken istallertensoftarelösung uetsrellte ich müss noch Ntezwrk-Stack Sotarew nahkafen, Windows for wprgkusp 3.11, das aber mit Ballast „Balot würd hcker fese das neenn“ behafte ist genüer windows 3.10 es ging umdie fraeg wielche word evrioen endgültg ensgetztw erdnesollten, Word für Dos oder word für Windiws und an wie vielena der Wroksations. Ic hate perlemit dershcülerztung ein Pjekt zum tham Wetteberbverzerung/Kartellrrcht und DRM Online–Mediathken ANGSCHT daß ich abe rnicht slebr mchen dfte wiel ich inder shce bafgen gwesn wäre wennich zu mein egen Gsten inde rzetung ebricht hätte. Dher muste ichdie sich an denr Preskollegen abgen die es mienr mienung cnh total vebrockt haben. Veuchten den amrne Juwleier u Kof undkargen zu eprssn uM Gldund Shcutzgeld für server Rechenzentren für OSFFSITE - Backups der Daten. Wnn bei ienm üerfll etwasgestohelw rid, den Fall haten wir ja, dann könnte es ja siendaß jamdnden dtanabstand lsöcht ode ride rhcer zetört, Meinsoftare war fähig an Gupts SQL Srevr angebuden zu werden auf netwar udndaher imrizip fähg Bestand-vsräderung des awnebstand TrAFFCISPardn an andern Orten aufS ervern zu spochern,etwa ienpaaralle mituafdne srevr der Vericherungen. Zetsören danndie dibe bei einm Übfall die Ercher dmait niemnd weiß welche Warnbstäde es gab vor dem üerfall so ist noch ein abckup vorghanden imrchtzerum, dies Rechtzetren müssne dannwie das DeCIX bwcht wrden mit Mansnchatzen inaksrestärke und da ist ebn das risko d rhscztgeldeprssung groß auchwenndie Veicherunge es bgrüßen drftenwenndie dtanbatsädne der rshtscftssytsem vonJuwleierne gspeigelt wrden bei ihen fpr den abglcih de stdbabetsnd vo rudn nch einm überfall. Dg eghetes umrchtg, richtg vile geld, derjuwleier zes war ienedljwuelier inder Großvrdiener Vodrtausgeide abd Homburg, ahtenur die fsten Anbietr von Juwelen un d Uhrn im Anagbot. Herstel mit Uhrn dietels sovielksoten wie gaze einfamilienhäser. Dhe rbinich it dem Thema Zetstemple nehmn zur beissicherungevtarut, da warne leuet vom Budsvrand d rshc- udnshclißsgsllcften galubich mit behilfich wo meinMute garaeiet hat. Das sitder abritgeberverand de rgeldtrasporterfahrer der Banken und achder juwelieret iwleise. Ieamenindei shcüerlztung uen erklärten das. Dher ear ich umso mehr alarmiert als huet die zstsemepegenau so mainualert wren wie es damals besprechungen au oerbster polze/Scihstäfte fhrgebene dazu gab. Ich hab also gleich noch einen etsempel genommen gahbet als ich bei der GstA ankam di eja uste wie shr ich da drauf achten muss. Esgba mehr freu die den Bon shan und sgten ie zeit stimme tatsächlich nicht sos psäts ie es noch gar nicht und ahc bate die vr dem gebäde pasu mchten bestätgetndas, sagten abersi eollte nicht ausgen im Zweifeslfall. Dher hab ichdanndie beleg ngomenudn bin damslit in das itertcfae am Zoo gegangen. Dort habe ich denasfriskishtämmieg mann de rbdiet gebeten sie auf das faxgerät z legen und an meinafxnumer zus nden damit wir achvomafxgerät ientstempel ahebn. Tezgelcihrif ichdennortf dderrpolzei an und sagte das die Jusztebaten sich wgeiegrt ähet fürdne fschn Zetsempekzeuegn zu sein. Da sgte manmir es sie nchdemich sget es gee da uch umdie prssung vonZgen per KIDNAPPING inmeienm Fall und uM TARRORIsMUS das sie ja nkeinNtfall das habe ja zet (damt anchher neimdn mehr so genau weiß im anchhiheinwanndaswar?) und hsciket mich zum 5.Rveir. Dermnn fstce deril die belege an mein afxnummer. Als ich anch haus kam udnausfdemdidpal des telfons die ezt abslas war es 13:47 Uhr. Zuvor hate ich nochdie post aus dem Brifaksten geholt. Da shcben das ich egarde beantworte. Al ichdas meia prgram augcmcht sgha ichdaß es dort 13:41 Uhr war asldas telfx ovm inetrecfe aus iegangen war eif das Fax2mail gateway. Als ich auf den zstsemepk der telsfxbstsätgungsah wuderte ich mich, denndie war 13:53Uhr,dakont nichst szimem dabi hate ichden imInteretcfe zuvornoch er den grüenKlee gelobet: be deir aist alls inordnug wiel dem gefühl anch diezet ugefährt stimmt zu der es absgsndetwordn ar. Aber täsächlcih war auch sienuhr vstellt am faxgerät mal wieder. Udn e rlebe dvon Die idtsleuistg faxversadn an dritte zu evrkafem. Da fax was laut seinem Faxgerät witnah zudemNtfu gendet wurde dneich von der +49/(0)176/65605075 (meinahdy) abszte vom uinetercfe aus, das warn zegen anwesned, das muss fürher begsendetwordnsien als um 13:53 Uhr, da es a um 13:41 Uhr ankam. Inde retik ahb ich mich draf verlssen daß die anagab die aufde rfsxbstätigunsteht stimmt. Szeteglcivruchte ich mit sem sprphoen vidos zu senden zur beissicherung und zussmmzufüge per Video-Schnittsoftware aufdem mkobilen Endgerät. Das war also die situation um 13:47 uhr als ich hier ankam. Bie kri zu Hause, Es war defitiv vor 13:53 Uhr wo das Fax naglich absgendet wordn sein solet das um 13:41 Uh riegtroffn war und defitiv vor 14:02 Uhr und 14:25 urh dem eezstemepl auzfdr rchnug vom Cafe. Von Zu hause auf rife ichden beid erPolize an und sbchifet deiabtane wieles sich ium Kidpping ahdle und terroismus udnkein übngsie wie iman ein vileicht erzählt hat zu Unrecht,d aß e sich um einen Ernstfall handle. Ichweiß das mein Ex feudnnmdiemri das kidn idnei erbine evrgeltigt hat mchdem sie mcih mit doge/spchpjharaka evgfete hat shlchend, daß diesnurausf gedlabsgshenahtte. Udn daß die ch mal inein autoufnall evrwikclte wgesen war mit eienr matllpallet imKopf oder so, da skönnet Folge vonKirminelr aktivät sienwennsie ine vonhcuetn üer dneshcdel gezge bekomenaht habich mir im Nchhine ürbegt. Zduem hatsie kiotakte zu Rotlichmileu gehat und eienr pscudomezsichen Sskte derhalebdie mri angelciehs eosetrsiches Teebaumöl eiflößte zurebrihugungaslich mcih wegnderbdohten schnegren frundin so aufraget wo mir dnah shcimmrgwrdeudn mcih fchästze wgen evrgftung iKarkahsubehilte so ne art K.O.Drops. Udn danach gibg sie odch ein bezhungmitmri einudn ließ sch schängern dunerzählte mir irhe guet Freundin, die kniepnirtein dnedohet shcger Kommilltonin und Kurrzet-lisiason vonmir mit der si alle sinodnung. Damsl evrgfte sie mcih mitSpchodorgen 8etr dern eifluß ich ihr dnanienKidnmchet obwohl ich zuvor bei Poliez udnanölteegst hate daß ichdas gefühl ahbe die wollten daß ichmi ienrnUtte verker habe umichj erpssn zu könen aber da wurd nicht enstgenommen. Heuet wisn wir wegndes Tdes ihresEx-frudnesausdemroltch_milie de ruaf mströse art udnwies und leben kam udnemkidppaingmeisnKides daßdas Todernst wgesne ist alles. Ichvonanagna anmitmeinvrmutuigen imerrichtg alsg. Uat rike, Andrearessller kolizn vstchctedei Medikament dieman mir agb geen der,bweget michdaz anderÄrzet ausfszchennch der Ko.O.Drops evgfitung mt Klinkauftahlt. Undei nuen medikanet wenr sei ich zschen u sicher forsiker qellewiß Verge-waltigngs-drogen die dasOpdfr ufäg mchen zu widersprechen. Swerndetwa bei Ansgt pateuetna iesgtezt und HEMENDAS GSUDNES MSISTARUEN“. Ichwar ja bie Poliezi udnwnäletnwegsnudnate egsgat daß man mich evgrltigenwollte und mirtien kidn unteschieben,Davonkannder Anwlt Fritzel eta ienlcihscn ingndendermienletren evrtarte damsl in iem Mietrechtsstreit. Zdume geinbge s auchumrhebchtanfilemndie enstnden waren it mrwrkung der shcüelrztung. Als zge heirfrü annderbsiche Hodel herhaten derim Kurpark poltirnier rittswoei die abd hombruegr Olympiareiter die mal bei mri inde rrdkatiow are udm sich üer Shcutegdlerossungen zu beshcern amn wolle Scuehsitkosten für ihre Reittruneire prvat bezahlt bekommen. Udd cihwei daß dasml eingaz mies Isnzenrierung gepalnt wr idnern Rahmenmienelren eprsst werdne sollten. Ud da ging es umien Fke-Justz oder ein Ausbildung oder üfung oder sowas. Und ichsolte eprsterwise Immobilenmer eltern übreshreiben. AlLösgeld für da entührte kdie t dem man mich erpresst. Dasl sollt ich mit menr EDV Firma die tätg war inder finanzbrche ein der für as cive dortry also das Mocsosft Login relevanten DNS Srever der europäsch Ztral bak zsgchszt bekomen, quis shclüsslegwat dareür ehrlane dem zetralbankpräsditen den zusgan z evrprren der fsizgeebn. Eicfh wiel meinMuer jaim Budnevsrnd de rshc-dunshcließgsslslcften war udnman mich inshcheistrisne vonkeinauf,Kidnsbeie an kannte. Das hatwas mit ienm klaulerbaren risko zu tun für die Bescher was Erprssabrkeietn anehet imspätern evrlaufdes lebensals rein praktisch Grüde. Ich ab das dnabgelehnt als man meinKidneführt sorgchtstschnisch ud cierpsste,evrchte meinEDV netz fidlcih z eürbehmen, wrchlsichgedchtasl angriff aufdas wetsuropsche bankensydstem. Möglicheris häneg mit deiser absolut übeln isezreirungvondmasl diese agnze irrsinsn etshcidung zeusmendie airgnlche (chtendoer afke)? Richetr teffen. Udn wo mir dnndie hustchunr paltz undich bshcerde iegae geenabgelehent bafgehsietsträeg. Sowei eben heut mrogen, wo es darum ging daß man mich vor gerich nicht vorlassen wollteDige Eisrpcühe zu eprotokoll zu geben. Udnds obwohlich ischen rchtschibianvalid bin, da ist bedeteedikdimienrend. Udn genau deshalb hate ich aj heuet morgen das Einschreiben abgen udnzetsemepl genimmen. Einschreiben RR665222780DE 19. Dezber 2024 Fax an +49/(0)611/32761-8116 09:48 Uhr Da gehtes drum daß die beidebn Richter, sowohl „Gottman“ als auch „Hommel“sich derat tölperhaft anstellten udndin eirner art udnweise das rchtabcrhen daß ichdies ablahnte dn bat die ablhunsebrügundg zu rpotokoll geben zu füden bei dem landericht diner gerichts-straße wo man mich nicht druchließ. Einfach weil ich erst am wochendewiedermssivst bedoht wrdn bin und vor wneigen tagen erst im inetrefce bei postabgene (de mit dem fschn Zeit-stemepel am Zoo, nichtdas amBürgermat).Und wiel mich Justozbeamte ganz übel verarschen. Ich weiß das andrea resler, die komilltonin mir deKipe,diegesächerin, ein Frudn hate, irhenKopaganon uruch Rossmann, demsie nchemsie mcihasugplder ahtemeinfrma shcnekn wollte, nchdemicemcihrpsst hate,w enn nicht gar umebrhct, das kind mit meien genesollet ihre die möglichkeit geebn danmeinfmilenerbe abzuräumen.De rkalssiker eben. Udn de rwollt mienEDV Netz asu debmabkdsichristebrichtdann an die just evrafe asl zegenhcutznetez. Udndher gab eswohldas treffen Ende 1998 im Hexnskssel. Die täöetrr sidn bewaffentudn gefährlich. Mich wudert ejdeflls daß man schonwiede rnoch nicht zu endebegrüdet Bafaghsistaräge abgibt andas landericht unddme egener so tut als wäre ie begpdnug volstädnig woe man dochegau wiessn süset wie strak udnshcer ichbedohtwrde ud umwlche immensen summen es gsht.Udndaß esauch um mcihals Jusrnalsit udnplitker eght dessen beicht udnPoitk manevrhdeirnollt gaz aktiv perenführtem Mikd udndiende sizd ehtzenvor laufedne rkaera. Udnvon diesn verchen mich umzebegen und es nch suzid aushen z alssn rührne ja expliet die Rhnugendes Arbeietr Samrierbudesher umdie se im Vafrehe eget: siehe dazu: Fax um 20:33 Uhr an +49/(0)611/32761-8402 nebst Einschreiben RR577577195DE je vom 14. zur post gegeben am 15. Dezember 2024, an Amtsgericht , Gerichstraße 2, 60313 Frankfurt a. M. an selbe Anschff/nummer auch Einschreiben RR577577204DE 15. Dezember 2024, Fax 15:58 Uhr Fax um 13:59 Uhr an +49/(0)611/32761-8325 Einschreiben RR665221594DE 13. Dezember 2024, an Landgericht, Gerichtsstraße 2, 60313 Frankfurt a. M. sowie mein Einschreiben an das „„Amtsgericht im Hause“ Staatsanwaltschaft, Hahnstraße 25, D-60528 Frankfurt a.M. 12. Dezember 2024, Fax um 18:27 Uhr an +49/(0)611/32761-8402, Einschreiben RR577576932DE Beschluss vom 04., ausgestellt am 08. November zu Fristverlägerung bis 06. Dezember 2024 nebst Begleitschreiben datiert auf 04. November förmlich zugestellt 12. November 2024 Beschluss vom 05., ausgestellt am 10. Dezember 2024 zu Ablehnung Befnagenheitsantrag und nebst Begleitschreiben 10. Dezember 2024, förmlich zugestellt 12. Dezember 2024 mein Einschreiben RR577575870DE 03. Dezember 2024, 10:40 Uhr Fax an +49/(0)611/32761-8402 mein Einschreiben RR577573556DE 14. November 2024, 13:11 Uhr Fax an +49/(0)611/32761-8402 STRAFANZEIGE WEGEN AMTSANMASSUNG/AMSTMISSBRUCH, STRAFVEREITELUNG (IM AMT), BEIHILFE UND BEGÜNSTIGUNG VON SPRRNGSTOFFNSHCLÄGEN, MORD, KIDNAPPING SOWIE VERGELATIGUNG ([1] 30. Oktober 2024 Einschreiben RR577571674DE an Gerichtsstaße 2, 60313 Frankfurt a.M. Oktober 2024 ca. 12:12 Uhr Fax, 3 (in Worten: ddrei) Seiten an +49/(0)69/1367-6301 24. Oktober 2024 ca. 14:51 Uhr Fax, 10 (in Worten: zehn) Seiten an +49/(0)69/1367-6301 ich bauche dahe runedigt den Termindier sgchäsftsele samt Richetr und Priss um vr korzet batensgchützt zu sein um wieters zum Ablahusgatrag zu prostoll geben zu könne. Immwr wider doht meine Emrordung oder emfilches üer für anghörge!ic beantrage daher wieter vorttrag ihn de rsche leistem zu dürfen. -------- Nachricht -------- Betreff: Faxversand an 0611327618116 war erfolgreich Datum: Thu, 19 Dec 2024 17:14:57 +0000 (UTC) Von: easybell Fax <noreply_fax@> An: maximilian.baehring@ Web2Fax Faxversand an 0611327618116 war erfolgreich Guten Tag, folgendes Fax wurde erfolgreich zugestellt: Ihre Fax-Rufnummer: 00496924749613 Ihre Faxkennung: Maximilian-Baehring Empfänger: 0611327618116 Zeitpunkt: Thu, 19 Dec 2024 18:14:57 +0100 Seiten: 5 Eine Kopie des Faxes finden Sie im Anhang. Wir danken Ihnen dafür, dass Sie unseren Service genutzt haben. -------- Nachricht -------- Betreff: Faxversand an 0611327618431 war erfolgreich Datum: Thu, 19 Dec 2024 17:18:25 +0000 (UTC) Von: Fax <noreply_fax@> An: maximilian.baehring@ Web2Fax Faxversand an 0611327618431 war erfolgreich Guten Tag, folgendes Fax wurde erfolgreich zugestellt: Ihre Fax-Rufnummer: 00496924749613 Ihre Faxkennung: Maximilian-Baehring Empfänger: 0611327618431 Zeitpunkt: Thu, 19 Dec 2024 18:18:25 +0100 Seiten: 5 Eine Kopie des Faxes finden Sie im Anhang. Wir danken Ihnen dafür, dass Sie unseren Service genutzt haben. | |
|
19.12.2024 19:23 |
|
|
|
|
![]() | |
| [0] |
20241219-1923-0-1.jpg |
|
19.12.2024 20:45 |
|
|
|
|
![]() | |
| [0] |
20241219-2045-0-1.jpg |
![]() | |
| [1] |
20241219-2045-0-2.jpg |
![]() | |
| [2] |
20241219-2045-0-3.jpg |
![]() | |
| [3] |
20241219-2045-0-4.jpg |
![]() | |
| [4] |
20241219-2045-0-5.jpg |
![]() | |
| [5] |
20241219-2045-0-6.jpg |
| DVideos vom 19. Dezbre
ca. 12:30 Uhr (wurde auf tiktok wegzensiert) https://www.zentral-bank.eu/gsta-sos.mp4 htts://banktunnel.eu/gsta-sos.mp4 kurz nach 13:00 Uhr https://www.tiktok.com/@maximilianbaehring/video/7450209356072783127 13:15 bis 13:57 Uhr [beinhate Rüclbnend bild 12:49 Uhr] https://www.tiktok.com/@maximilianbaehring/video/7450226786601897238 ca. 19:25 Uhr mit Rückblende 13:30 bis 14:00 Uhr https://www.tiktok.com/@maximilianbaehring/video/7450234704067841302 fast exakt 20:00 Uhr nachdem ich um ca. 19:23 Uhr die post abgegeben hatte https://www.tiktok.com/@maximilianbaehring/video/7450237588675349782 | |
|
20.12.2024 04:45 |
|
|
|
|
![]() | |
| [0] |
20241220-0445-0-1.jpg |
![]() | |
| [1] |
20241220-0445-0-2.jpg |
| Ich bin erst kurz vor 21:00 Uhr dazu gekomen ewtas zu essn zu afen, ien stange toast fpr 0,99 Cent ist das wasmir am Tag bleibt wennich 2,40 + 2,40 Euro für zwo Espresso trinken ausgeben musste und 3,20 + 3,20 Euro für die Post Einschreiben plus 1,95 Euro für nen Prio-Brief und Fak zeitstemple nchzweien und nochmal es 0,70 oder gar 0,90 Euro für ein Zetnahme - Telefax vom Internetcfe aus. Von meinem HartzIV/ALG2 von dem ein erhelicher Teil in Korruptionsbekämpfungsbedingten Betrieb meines Blogs geht, das sind locker 150,00 Euro Internet-anschluß-udn Nutzungs-gebürhen zu Hause sowie sonstge (DNS/RIPE-Gbürhen) und Serverkosten im Monat also ca. 5 Euro am Tag. Da sidn Druckertinte, -Papier und Briefumshcläge ebenso-wenig mit dirnne wie die ca. 45 Euro Stromkosten die im Prinzip fast auschließlich verbraeten werden um jene TV Sendungen die, an mich anzusehen zwingt nach diesen "ONKEL DAGOBERT GRÜSST SIEN NEFFEN" artge Hinweis auszuwerten. Sgane wir 2/3 der ca. 45 Euro an Stromkosten, E Euro, sidn auch nochml Korrutionkäfung, dazu Miniumum eine Durckerpatrone (>20 Euro) , 500 Baltt Papier (> 5 Euro) sowie mindstens 25 Couverts/ Brief-umschläge (> 1 Euro) im Monat sagen wir ruhig mal rund 1 Euro an Brüfbedrafsartike pro Tag. (da sind sonst Abschreibungen/die anshcaffungskoste für USB STciks udn Geruchtgeräte ja gar nicht mit drinne wie die Drucker die polzeibeamte indei wohnung komen kaputt
machen die ich dann den leuet die sei mr gelihen habn erstzen muss). Will heißen nebenlaufenden Kosten von 4 Euro pro Tga für strom udn Büromatrail und 5 Euro für Intrenet also 9 Euro kamen egstre nochmal 9,05 Euro für Korrutiosn-bedingte Portokosten hinzu, macht 14,05 Euro, plu 4,80 für zwo Espresso di ich trkenmuste um WIFI/WLAN zu erhalten. Sage wir rund 19 Euro. Von den fast 20 Euro die ich gestern also verbraucht habe gingen 95% an korrute Verhrcergangs udn 1 Eruo an mich für Toastbrot um mich davon zu ernärhen diese zu Banden-udn wgersbmäßig rogasierten Kirminellen bekämpfen. Um etwa 00:15 Uhr am heuten 20. Dezmber 2024 hab ich das letzte Vido aufSocial media hochgeladen, siet 04:30 Uhr bin ich shcno wider am "werkeln". | |
|
20.12.2024 05:27 |
|
|
|
|
![]() | |
| [0] |
20241220-0527-0-1.jpg |
|
20.12.2024 05:45 |
|
|
|
|
![]() | |
| [0] |
20241220-0545-0-1.jpg |
![]() | |
| [1] |
20241220-0545-0-2.jpg |
![]() | |
| [2] |
20241220-0545-0-3.jpg |
![]() | |
| [3] |
20241220-0545-0-4.jpg |
| Ich habe die tage versucht mich an die Presse zu wenden, eienanrfbei planet radio wo ich ander 0800-hotline sgte daß ich innerabsolute notlagebin, man bitte dringend hife orgsierensolle diedokuneter wir cih or gericht verarscht wrede (das oerbste Wächteramt über staatliche Organe ist die Kern-Aufgabe der Presse in einer Demokratie, nur wovon der Wähler auch weiß führt dazu das sich etwa mitfrshcn partein wie BSW/AfD auch irgndwas ändert). unter "frankfurt.de" gibt es ein Presseliste. Nchem ichdie erstn Numern duchtelfert hate weüerball ur Mailbxen drnngingen udnsprchcomuzet ud dei emals imspam-filer oder virqn-killer-qurnäne pstfach asFase Postive landen hab ich dann uafegeben. Liegt das nur an meinem, dem "von Barak Obamas CIA nach meinnr Guantanamo Bay 'amnesty urgent Action ' artgen protesttelefaxen haus-dchsuchten gehackten" anshcluß? ich frag mich ja was planet rdio mcht wenn da ein opfer anrft was so strak idnei eneggetrebenwird daß es dr letzet anruf ist befvor es negültg amegrmisrkt ist. istd uetrasslenhifleistung dann von der rechtlichen Bewretung her ewta was wie Beihilfe zum (zeugen-)Mord (duch korrute Staatsdiener)? IMSupermakt wendte ich mich um kurz vor 21:00 Uhr an den security Typen der am Eigang herumstand, zeigte ihdientfuFaxe dieich egshcibenahtet aber denietrsserte hatsächlch sien Feierabend machen satt weshalbes cuh inder Eikausfapssge zu Üergfifen gegen mich gekomen war vor Jahren.
https://frankfurt.de/-/media/frankfurtde/service-und-rathaus/presse/pdf/frankfurter-presseliste.pdf?dmc=1 | |
|
20.12.2024 06:00 |
|
|
|
|
![]() | |
| [0] |
20241220-0600-0-1.jpg |
![]() | |
| [1] |
20241220-0600-0-2.jpg |
![]() | |
| [2] |
20241220-0600-0-3.jpg |
![]() | |
| [3] |
20241220-0600-0-4.jpg |
| Inderbl zetung gehst es um zu hohe Krknkassenbeiträge. Warum wohl? WeIl die medizinindstrie de am wegsperren reicher älterr Inländer de man sozwnget die Distleitung frmdtämmger Köhe udnPutfareinspruchzu nehmen sehr gut verdient, man foltert, vergifte und macht Menschen die kergsund asudermsuterung kamen z körperlcihe und emotionalen Wracks. Daduch werden dnn Jubs frfür hemaoge Retusgsnitäteriwe diesen "Andre Melissen" ader uch mal für die "bunsschulden-verwaltung" arbeitete denich EIstellen muste aus grüdende zeugenschutzes in meiner Firma, gewigen druch Budwehr udn Polizei. Oder für Fredtsämmiegd e eiegtlcih Läsgt st hi das telefonetz oderdie Gbädetechnik zu sbaotren zurück im Balkan sein sollten oder der Türkei. Kleiner Insider Tipp zum Thema abshcibeung: der Fall "uri Yallo" ist ein Fke-news "Hoax". Asl cieh sgetren vor der Tür der GSta daraf werte daß die herren dort irhe Mitagspause beenden währnd ich das HessenWLAN nutze um beweisvideos für manipulierte Zeistempel auF kassenbons hochzuladen wei ich ien totales DejaVu hate zu dem Raubüerfall auf Juweir Zeus, ichkomm mir so vor alspiet ein"scited Relity" trupe die extres sidtsshc verragt ist frü "vestckte kaera" thaeter mit mir diegaze Zte, als ich das also so stand hte ich zuvor auf der Rollstuhrampe mhere fraun geteffen dieich bat mir auch nochmal die Urhzet zu geben. Shcließlich get es da um ien Millonschden biem Juwelirüerfll mit mut-maßlih
Versicherunsgbetrug. Die sche wo die "Daniele Klette" die ma asl "RAF Terrroistin" mitvsrtwrrlich macht für den terrorshclag auf "herrhasuen" in "Bad Homburg" damals. Wir erinern us,iachhate gaz efteg ausdersztzungen mit de rpoliezführung, denasbidlern weil dei Übugen die von Poliezshcülern dievrsgen nicht aufgklärt werdennichat als socle kennezchen udn asu den arhciven löschen wollten. Ds sieht dann für die inAchcven recherchierende presse asu wie echte Fälle,siehder roman 1984vo Groeg orwell. Also diese "Daniele Klette" st a im "figtClub" kampfsport-verein woehemalige NVI/VoPO/Stasi-Appschcisk ihr geld evrdien nchder Wende vom Balkan ode rostblock, etwa. Der TAzfilm "PULP FICTION (= ForrstGump Staatsbesuch vergewaltgung Schnittabfälle)" lässt grüßen, mit dieser Limosine die vol blutsprtzen ist. "Und vielen dank daß sie Jurek Bckers/Goodbye Lenions HOMBURGER ROYALE gewählt haben" (siehe auf google Kir oder kur Royle, Satsbscuh pparazzi baby schimmerlos). Zm Glück sagt der harrshsuen Film vom 01. udn 03. Oktoebr 2024 ja nichst üer das them Olpyia-pol-reiter Sichrhsitgebühren und den britischen Besatzugsmacht Hochadel, zumZtepuk der Baknevfhudg nit den russen vor dem Terror-Anshcalg am Spaßbad Seemdweg, oder? Also man sprgt den Wagn in die luft dun dche gib es ien Eibruch dier instadt nchdem ncäshte wievonjemdn de rien Junkoe ist doe sich Geld ebsorg muß umessn z kafe wil er nicht zu Sozialamt kann da er af defluchtist. Druterden Üerall aufjuwelier zeus. Dann wird dise jahr bei Dnile Kalte eusgchmolzens Godl gefudne wie von anch eienmRub egshcmlznen schmuck-stücken. Undich als dr zge der dazu ausgenwill duchaus aeb rmit ienm enführtenKidndaran ghidert wird wrde vonder jusz die aze zet auf da lelrüebsletevrscht. cih wra wie esgt beimjuwleir be der bshcffung der EDV beteilgetfprdie wretshcft und mienMutersit Isderinbei dem Budnevrabnd der sch- udnshclißgssslcftn Baksksichrhit. Satt mir evrhört manlievb absichlich flsch ausgende Nutten (siehe dazu die soeganetn hr-TRUE crime time NIDDAPARK Morde ud angelcihen sxullenÜergriffe Sylvster auf der fressgass die es bs ins Sat1 Fühtsücksfsrehen schfften). Die gane zet werdenheir lügende Zegschüter der gschütze Zegen vorlagdendie Billshit erzähe dundieeizgen die wirklich ahnung haben hdert manabsichlichdarn das egricht zu ebrtene. Auch asl vetreter der presse. Manshcikt Schlägrtupps korrutercopsvobei umdieZgen ishcüchtren udn köeprlich massiv zuquälen. PSyhcoetrro 24/7. Satt vegreltget Soldaten/Wehpflichte shcüt mandie Müterfaia die wie Andrea rsselrvomhxnkesel faösch aussgat. EinemKuple zu AUfträgen verhefenwil fpr COL Telekom GAlsafer z evrleg fürdie Justiz (Korrution: hessenWLAN). Anbiuert deir unpartiisch, nciht gewrkscfhatappstchick-oragsiert wie mch vrärget manderatg daß sie amlisten die Netz der korruten Justz dekonekteren würden, shconzur "budtrojyer" abwehr. Ende 1998 alsich imhexkssel dne abtane sagt daß sie ic miene stunden-säteznicht lesiten könnetn udnich nichts mitdem satt zu tunhaben will asugschter erfahrung wurde mir massiv gedoht manwrde Mitel udnweg fiden daß ich nurnoch für sie arbreite. dasberheiet sich jeztz afst,nureben umegkehrt,ichabaret exklusv geendie korrutePoliez udnjustz, hab üer 8 Studne am Tag ncihs andersmehrzu tun mesit sieb tge dichwoche. efach mal in den super-markt gehe und nachschauen was ein brot kostet. dnak infltion. Infaltion ist der rdemsser desvershcevertrauens indie stblität derischfat. udn evrlwtung. das ist assiv geschwunden, gauwie die wäher sich z rch bschern daß es nbe der AFD qusi kein evrteunsürdgenpartein mehr gibt. Asl vor ea 10 Jahren das "kath.net" Formu un "pi-news" vor einer nahende russishen Invasion warentwurden die ausgslcaht. umesmal mit hiler zu formuelren: hesutistker merh da vonden die dmals noch gelcht haben. di mit den üstets verhcörgsteoren habn rcht, das zegt sich auch bei trump in den USA,sienmsturm aufs Kapitol. https://www.rbb24.de/panorama/beitrag/2024/03/berlin-raf-terroristen-klette-garweg-staub-wohnung-kilo-gold-lka.html | |
|
20.12.2024 10:30 |
|
|
|
|
![]() | |
| [0] |
20241220-1030-0-1.jpg |
![]() | |
| [1] |
20241220-1030-0-2.jpg |
| Ich bin übrigens bei wietem nicht der Einzige auf den man versucht mit Elektro-Rollern Anschläge zu verüben. In Moskau in Russland tötete einer dieser Elektro - Roller einen General-Leutnant(?) der roten Armee. Erinert mich irgendei an Spregtsoff im Fahrrad das Missbrucht als eine Art Rohrbombe im Seedammweg die Limousine von dem Bankvorstand Aelfed Herrhausen zerfetzte auf genau der Route die ichauch nutzre um mit baugleicher Limousine zur Schule zu fahren am Schwimmbad vorbei wo ich zwo mal die Woche trainierte damals. Udn zwar nachdem wir, die bankensicherheitsvard führunsgeben und ich bei einem Treffenamssiv bedoht worden waren von Besuch mit Ostblock - Hintergrund wgen dem Thema Altegetum.
https://www.bild.de/politik/explosion-in-moskau-ranghoher-russen-militaer-tot-67611394e91835077f84ca03 | |
|
20.12.2024 10:45 |
|
|
|
|
![]() | |
| [0] |
20241220-1045-0-1.jpg |
![]() | |
| [1] |
20241220-1045-0-2.jpg |
![]() | |
| [2] |
20241220-1045-0-3.jpg |
![]() | |
| [3] |
20241220-1045-0-4.jpg |
![]() | |
| [4] |
20241220-1045-0-5.jpg |
| Getsrn hatn wir ieen guten tag ich, der nachwisn wollte daß die Zeitstempel von Kassen - Bons gefälscht sind so habe ja keinerlei nachsi davon wennichdiese Bons inien sytm hochade wo ich selbst wie diese NSU Terroristen um "Beate Zschäpe" dort "an der Uhr drehen" kann,seh das bekennrvideo mit "Paulchen Panther". Das erineert mich an diese Geschichte mit "Zeit mal Zeit ist Mahl-zeit" von "Gerhart Polt" dem "Gastro-Poet"en im Film "Herr Ober". Man hat uns ja als Rassisten bezeichnet da ich mir die Freiheit rausnah, übner de falsch gehenden Schulgong der Humbodlstchule zu shcben in der Schülerzeitung und wie kinder geobbt und verprügelt wurdn wegen unserem Schulkiosk, der Milchbar. Und den Automaten im Gang zum Oberstufebngebäude an der georg Kerschensteiner Schule. (Was ja auch bei den #simposn immer wieder zum Thema wurde die ich damals als Rohetwurf erfand).Diese Geschicheet mit der angeblichen Schleichwerbung und dem Taschenuhr Clipart und disesem Juwelier Zeus.Das passnde Geschenk zum Y2K - Problem: wir batsln usn eine DCF-7/GPS Atomuhr ählich nem Statum NTP Server. DIe für Logfiles goßer Telcos indern Unis Netzen die Zeit messn, etwa bei der DTAG. so ich rhctfrmeirt bin. Ich mein,wen ietrssertshcon ob de rmodshcintraif ins fernes auldn en paar sekudnen läger oder Kürzer berchnet wird. In Zeiten von (wie heiß der Perosbalberugs-Kunde?) FiAT-Rate DSL Anschlüssen etwa im WHO THE F*CK IS HANSE-NET vom TINET (das ist Telcom Italia) Sparkle / Seabone.
In Thailand lebten viel Italienr der alitalia bei usn inde rguarde Community. Und damsl ging es ja auch um das shculssen. Ich mocht es europäisch mit spaghetti von "PanPan" neben dem "Villa Market" auf der "Sukumvith" Road (where the streets have no name) wo Papas Büro war erfuhrmogrnsmit seinem posgelben VW - Käfer nch- dem der Chauffeur mich nicht merh zur shcule furh wie wir einen Schulbus bekamen al die "Shcizer hsuc bagkok" zur "Ruam Rudee international School", "Swiss Section" wurde nch dem Umzug. Und damals wollte die "Maid" "Kuhn Lah Ihe" gesprochen mir tahilädsciehs schulessen machen udn mirmigeben damit sie ne gehlstrhöhung bekomt aber ich mochte das "Asia Food" nicht so gerne nchdem ich am erste Tga iNThailnd Kotakt mit extrem scharfer chilipaste auf den handgeschnitzten "Pommes Frites" hatte die ich für Ketchup gehalten hatte.E s ging da also umdei Frag Gehlserhüng und Hdrprämie/schul-essen und um die tapferen Einpacker gerlschaft Jungs im Villa Market in Thailand woe man sien eiäfe am ende des kassnabdes nicht slbst eicte sodnrn Personal dafür hatte. Deneen wurde ja inden "#Simpsons" auch ein Denkmal gesetzt, den gerlscftern aus Thailand. Ganz genau wie in unserm Schulkalender "Lucky Strike again" ;o) damals der bei Charty Empfängen in der boschft verkuaft wurde wie unsere T-Shirts soweit hc entsinne oder Schculfesten. "eine kurze gshcite der Zeit"-mess-"ung" würde das dergelähte Astphysiker Prof. Hawking nennen as ichda mit diesem "Timestamps" sammeln mache. Soviel zum Them inwlchem Jahr war nochmal der Sprengstoffnshclag auf Herrhause in Bad Homburg? Ist nicht in Sten gemeisseltoder doch? wir shen aj was mit Bildhauerei bei Revolten passiert am beispiel "Goodbye Lenin", mit verboten büchern wie "Hitlers - Mein Kampf" in "Fahrenheit 451" oder auch mit den DDR Schulbücern oder den nch ien rgeiugsumbldung inHessn damals "Clubd er Toten Dichter" I n gshcichtbüchern der nazi Zte spielten die kelten und germanen asl Hochlutr eine ganz andere Rolle als heute. "Julius Cesar and the roman emprie coluldn't conquer the blue sky" tshcot, wir haben 48h studn um bis nach West Berlin zu kommen mit der Nato Srecht bei Kriegsaubruch. ("cold war kids, ... under theyr desk in an raid trill" bei Joel etwa). Jedenfalls ging es umdie (siehed as Attentata auf Franz Feriand) unwesentliche Frage ob das wiklich stimmt der Satz "timing ist alles". Eta biem fristverlauf vor Gericht. wenn man per DFÜ /Inetrent etwas aus eienm anderen Land einreicht. Etwa di eumstellung des alten füherscheins auf den Pasti-katen europsäche bei der dscuhen Führerscheinstelle die bei den "Simpsons" ja auch immer ne wichtige Rolle spielt. SidndieFrsiten in UTC/Nato Zulo/Greenwich Mean Time? "Unc ich weiß nchtgenau ob es so etwas gibt und ob es andr zetustellung liegt" texten ja "die Sterne". Udn da wra dochdies Pblem mit VPN/SSL Vebrdingen udn daß man auf Diensten wie tiktok pder hatsup messengern nicht immer unbedingt sieht inwelche land jamdn istder einen notrfu absetzt. Wobei die Rufnummern global ja wohl auch verschieden sind oder füher einmal waren.Dise Pobem am lschne dne der osnnemasraße S-Bahnb Tunnels soll die Polizei beimBNtruf en nnun anrücken? Es gint jacuh autbahtunnel die läder vebdien könt ich mir vorstellen. Wlces landist zuständig. Was st wenn einHeli aus Myanmar näher am Begwerk Dhcugecamp ist als der aus der ncäsgtfegene Provizhauststdt Kanhacbauri? Wir erinnern uns der "heide Simonis Heli-lande/Flugplatz". Wasusn zu dem brigt was ic egelich anmekren wollt, nälich daß tiktok egstren malwider vidos vo mir zensiert hat. Also 1 Video von den 5 Stück zumtem Zetamssung, auf den andnern social medi pattformen dei ich nutzte aber tieslweise mit orgina zetsemepek noch aufrufbar. | |
|
20.12.2024 11:00 |
|
|
|
|
![]() | |
| [0] |
20241220-1100-0-1.jpg |
![]() | |
| [1] |
20241220-1100-0-2.jpg |
![]() | |
| [2] |
20241220-1100-0-3.jpg |
| ich meindas ist genauso uninetrssnt ob die Zeit-stempel in der wikipdia stimmen oder nicht bei Herrahsuen wie bei dem Satsbscuh in Bangkok, Thailand mit Schulschiff. der unmögliche Forrest Gump/Tom HanksPsädet Kenedy Handshake - es sie dennes kdndiert nochmal eienr von denen)! Die "wag the dog" "chipstüten schwangerschaft" (Siehe "brustvergrößerung durch handauflegen, 1 Euro") Ich wußte gar nicht daß man mit Photoshop so viel Geld verdienen kann. Vor allem in Propagandahigren Krisen - zeiten. ICh ein,wieso sollte es wichtg sien ob Kibnder in Erbline hineinvergewaltgt werdn unter K.O.Drops artigem Drogeneinfluß umasnFmilenvögen zu komnmen nachdem man die Fmilie umgebracht hat per DNA - Vatrsfststest? Prostuierte etwa enstchden slesbt nach § 218 StGB ob sie Kinder iher Kuden autragen/behalten, das emröglicht den Zuhältern ganz neue Erpressungsmöglichkeiten. Was sit wenn Prositruetenmrode mit slchenszenarien was zu tun haben? Daß diebeche mrodet weil sie um ihren Ruf fürchtet weneisn sich hisnetzt udn einen Podcast üer die Männer veröffentlicht mit denen sie angelcih was hatte? Wollt eniht #berliNueKölnn02407 / #berlinTagUndncht Emmi genau soclh eienPdscht machen mit Freiten Tanzi kurz vor iher Trennugn von Hausmsiter Kätze36 wo sie ihre Ex- Freund "bloßstellen" wollte. REVENGE-PR0N? Zu glück sind sies fots die das evrfölchwt erdesollten von Erhcsenen ud icht voKdrn sonst wäre es ncoh Veetung von Kidenrporngraier wie beir de rkthsolschen Kirche.
Es ist aj ncihst so daß man Kider nch dem Jugschutgestze vor soas shcütenmüsste die 10 Jar alt in die 5. Klasse gehen von Gymansiums asl shcüelrztungs Leserschaft . Wenn es shclägrei wegen ERPRSSTEM Geld gibt dann ruft die frau einfach mal rufmordend Vergewaltigung. Ichkenn fraen den hat man die zäe egscagen (nicht ich) wiel sie anders so übel eprsst haben udnda gabes duchsu den evrdcht daß die eltern dahiter stande udndas kidn MISSBCUHT haben nicht sexulle abr asl "Bettel-kind". Um Bhören z eprsne umStatsbürgschfte doer vermitlch verögende udn polsct/scftlich mächtge Nachbarn. n haustche photohop gefate bweise wie ein Chipstüten baby oder die "Varoufakis-Stinke-Finger" Böhmermanns "2DF (neo) magazin royalS" werden vor egricht ein-gereicht als (vermitlch/mutamßliche) beise, ich verstehe manchmal warum dei Poliez-Forsik Securyt dineg abfägt. Mein Mutter wurde ja etwa mit gephotoshopten Bildern nachweislich erpsst i bakdsichestvrabdn-Arbeigeberlager. Nur mal so das the wi kommt mien gehalterhöhung denn so zustnde. Es sol ach abrigeberverabdpäsdetengebendie werdne rgerlcht umegcht wennsie dei Foderunge der gerlscften nichtefüllenollen. "SIT XX TAGEN GEFANGER DER ..." wer hatnochmlafredherrshsuen idnei Luft gejagt? Aber wir sidn ja schon beim Them aufds ich eigenltich hinaus sollte, dem 18:00 Uhr TV-Vorabendprogramm von egstren, Donnerstag dem 19. Dezeber 2024 wo ich den gazen tag damitbschäftgt war mich mit ZStellugen rumzurägernvonNrfen wiel amnmich ber Gericht meien Eisch nicht frsit udnforgerchteleiegalssn will uter qusi anwndung vonroher egwalt aus dem gerkscftslager. AS rettungbsiet sich dann ien korter TYp aus dem arbeit-gebrlager an derjusist ist udnmr helfen kann dank seiner Staatsexamen asl Konzernjurist wieldoch vor dem Land-gerichtanslszscng herrcht unter Umständen udnman mir die prozsskosthilfentrasguteragen Herasugabe ver-weigert. UDnslsbt dann wegert sichienkartel bsi if die nkcnhe korzer Anälteheir michzu bedien nur dmaitde korrute Scheißtyp einen Job bekommt. Ich lsse mich aber nicht erpressen. ru wil jemdn iden m er mich quält udnfolter die Aufemrksmkiet der wetrsse ergattern will um auf deisem wege udmeienm rücken kariere zu machen. Also, dem gazen Ärge rmit denzetstempeln nicht zu vechslemit einer zwoten Unterschrift (die im Falle eine repssung soweiso nunn un nichtg ist) wegen habe ich die Spiosn gestrn komplett verpasst weil ich mit #tiktok zserfolgen (alsoas berimitteverncihtung) bhcäftgt war udn von #berliNueKölln02407 / #berlinTagUndncht zegetirgnwie wie Malte einZfelmüte aufsetzte (kien shcafmütze) auf dem Hausboot. Es gab eine Unmenge schlechte Laune. Cleo sagte nämlch da sie eien Kollegen bei der polizei ganz füchterlich fände wiel er aufder wohnchsfter seiner schwangeren Frau gaz ptrarschal das trinken verboten hatsatt si elsbtstschdenzu asssen. Dises "MY BODY MY CHOICE" Thema wa soheißdusktert wird. https://www.tvinfo.de/fernsehprogramm/2032218242-die-simpsons https://www.tvinfo.de/fernsehprogramm/2032218279-die-simpsons | |
|
20.12.2024 17:00 |
|
|
|
|
![]() | |
| [0] |
20241220-1700-0-1.jpg |
![]() | |
| [1] |
20241220-1700-0-2.jpg |
![]() | |
| [2] |
20241220-1700-0-3.jpg |
| Der Brief den ich gestren per "Prio" - Post an mich slebst losgesendet habe um 13:01 Uhr ist angekommen heute hier um ca 14:30 Uhr im Briefkasten. Die Telefax - Zeit-stempel-manipulatioen im Internetcafe "Tele (am) Zoo" und die falschen Zeitangaben auf den Kassenbons in dem Cafe mit WLN/Wifi am Bürgermat sind somit unstritittig. Selstm daß ich als derjenge der die Betrügereien aufge-deckt habe "hausverbot"e bekomme von duhccgenallten Bedinugen udn Beamten der Straveoflgusgbehörden mich nicht bei geich vorlassen wollten. Da steckt doch auch ein ganz glasköarer möglicherweise banden/gewerbs-mäßig organisierter Trick - Betrug dahiter sicherlich. Ich tippe mal auf ein Schneballsystem wie diese "Life AG" damals.
https://www.tiktok.com/@maximilianbaehring/video/7450493996893277462 | |
|
20.12.2024 18:00 |
|
|
|
|
![]() | |
| [0] |
20241220-1800-0-1.jpg |
![]() | |
| [1] |
20241220-1800-0-2.jpg |
![]() | |
| [2] |
20241220-1800-0-3.jpg |
| https://www.bild.de/news/inland/burkhard-garweg-raf-terrorist-meldet-sich-aus-dem-untergrund-6765662272569a4cab5cd58d
https://www.bild.de/geld/wirtschaft/historische-entscheidung-bei-vw-tarifkonflikt-einigung-in-sicht-67658211f0c2b32e8c26cd38 | |
|
20.12.2024 22:00 |
|
|
|
|
![]() | |
| [0] |
20241220-2200-0-1.jpg |
![]() | |
| [1] |
20241220-2200-0-2.jpg |
![]() | |
| [2] |
20241220-2200-0-3.jpg |
![]() | |
| [3] |
20241220-2200-0-4.jpg |
![]() | |
| [4] |
20241220-2200-0-5.jpg |
![]() | |
| [5] |
20241220-2200-0-6.jpg |
![]() | |
| [6] |
20241220-2200-0-7.jpg |
| 1 / 10 Onlinewache: Andere Strafanzeige, Fr 20 Dez | Bähring, Maximil …
Onlinewache: Andere Strafanzeige Ihr Vorgang wurde unter folgendem Onlinewachen-Az. angelegt: 1220 2134 6081 Ich habe die Belehrung zur Kenntnis genommen und verstanden. Ebenso habe ich die Nutzungsbedingungen zur Kenntnis genommen. Bestätigung * 2 / 10 Andere Strafanzeige Bähring, Maximilian 1220 2134 6081 Beschuldigtenbelehrung Sollten Sie sich selbst anzeigen wollen, sind Sie Beschuldigter einer Straftat. In diesem Fall trifft auf Sie die Beschuldigtenbelehrung zu. Belasten Sie sich durch Ihre Anzeige selbst? * Nein 3 / 10 Andere Strafanzeige Bähring, Maximilian 1220 2134 6081 Personendaten Personalien Sind Sie selbst Geschädigte/r? * Ja, ich bin selbst geschädigt Eigene Personalien Nachname * Bähring Vorname * Maximilian Geschlecht * männlich Akad. Grad Geburtsdatum * 21.07.1975 Geburtsort * Bad Homburg v.d.Höhe Geburtsland * Deutschland Staatsangehörigkeit Zusätzliche Staatsangehörig. Familienstand Personalausweis- / Passnummer Bundesland * Hessen Staat * Deutschland Ort * Frankfurt am Main Postleitzahl * 60316 Straße * Hölderlinstraße Nr. * 4 Zus. ,6.OG/ DG Telefonnummer * 017665605075 Weitere Telefonnummer E-Mail * maximilian.baehring@googlemail.com Andere Strafanzeige Bähring, Maximilian 1220 2134 6081 4 / 10 Tatangaben Wann geschah die Tat? * Ich kann einen Tatzeitpunkt benennen Ich kann einen Tatzeitraum benennen Zeitraum Datum von * 19.12.2024 Uhrzeit von * 12:15 Datum bis * 19.12.2024 Uhrzeit bis * 17:33 Feststellzeitpunkt des Sachverhalts Datum Uhrzeit Ist Ihnen bekannt, wo sich die Straftat ereignet hat? * Ja Nein Tatort Bundesland * Hessen Staat * Deutschland Ort * Frankfurt am Main Postleitzahl 60313 Straße * Zeil Nr. 42 Zus. Weitere Angaben zum Tatort Gerichstgebäude D Angaben zu Tatverdächtigen * Ich kann Angaben zu einer/m Tatverdächtigen machen Ich kann Angaben zu einer tatverdächtigen Firma/Institution machen Ich kann keine Angaben zu Tatverdächtigen machen Tatverdächtige Tatverdächtige Person 1 5 / 10 Andere Strafanzeige Bähring, Maximilian 1220 2134 6081 Nachname Vorname Geschlecht Akad. Grad Geburtsdatum Geburtsort Geburtsland Staatsangehörigkeit Zusätzliche Staatsangehörig. Familienstand Bundesland Hessen Staat Deutschland Ort Frankfurt am Main Postleitzahl 60313 Straße Zeil Nr. 42 Zus. Telefonnummer Weitere Telefonnummer Personenbeschreibung / weitere Angaben zur/zum Tatverdächtigen Justizbeamte vor Einaganz GStA, GabädeD, Zeil 42, ca 13:20 Uhr Auf welchem Weg haben Sie diese Daten erlangt? * im Gegensatz zu ihnen legalem 6 / 10 Andere Strafanzeige Bähring, Maximilian 1220 2134 6081 Sachverhalt 7 / 10 Andere Strafanzeige Bähring, Maximilian 1220 2134 6081 Andere Strafanzeige Welche Straftat wollen Sie anzeigen? * Unterlassene Hilfleeistung RAF Spegtfff-Terrorismus/Mord, Kidnapping, Vegriftung, Vergewaltigung, Zeugenmord Beschreiben Sie den Sachverhalt möglichst detailliert * Dise neue Strafanzeige ergänz die berist getätgeten Anzeigen wche Justz udPolizebedistete sich tisl gweigert hatte persönlich zum Diktat und schriftlich entgegenzunehmen. SPH/ST 1436943/2024 Polizei Frankfurt a.M. (Online-Az. 1216 1118 6141) SPH/ST 1436670/2024 Polizei Frankfurt a.M. (Online-Az. 1216 1029 2117) per Fax 18. Dezember 2024 um 07:58 und 11:29 Uhr an 49/(0)69/755-80808 SPH/ST 1445390/2024 Polizei Frankfurt a.M. (Online-Az. 1218 0559 9348) SPH/ST 1445558/2024 Polizei Frankfurt a.M. (Online-Az. 1218 0739 8728) per Fax 18. Dezember 2024 um 05:25 und 07:58 Uhr an 49/(0)69/755-80808 Einschreiben RR577577765DE 5. Revier Ferdinand-Happ 32, 60314 Frankfurt Gestern hatte ich mit manipualrten Zeitstempeln auf Bons zu schaffen it den ich die bagabe von Post nachwise, sowhl im Cafe "TryCoffe, Zeul 5, 60313 Frankfurt am Mam" als auch am Faxgerät im Internetcafe "tele(am)zoo, Pfingstweidstraße 14, 63136 Frankfurt am Main". ES HANDELT SICH HIERBEI UM KEINE ZUFÄLLE SONDERN GAZ GEZELT MANIPULATIONEN. Es ghet da unter adnerm um dn aglichen Raubüferall nch emaglichensretsoffatatat auf Deutsche Bank Vorstand Herrhausen in Bad Homburg v.d. Höhe und die "Staatsbesuch Vergewaltigung" in Bangkok, Thailand als derBudüäsdientmit dem Mrshsculschiff Dutschcland anreiste. Gezielt versucht man die Taten zu vertuschen. Außermevrucht man denzusmmhags szche ihne unkenntlich zu machen durch die maniulation von Datunsangaben in Artklen im Internet. Sgar hchfzzelequellenwie der schulbuch-verlag "Bdusztralefür polische bildung" sprchn von geloge habenden Polizisten die als V-Lue ds Varfssugschutzes versteckt werden. https://www.bpb.de/kurz-knapp/hintergrund-aktuell/196955/vor-30-jahren-ermordung-von-alfred-herrhausen/ Die Bild-zeitung udn ander Quellen wie das GEZ/ ÖRmediumrbb244 berichten davon daß beu der Verfaung von Daniela Klette große meneg gscholzens Gold gefuden wurden dei asu dem zur fluchtfizerungbeganegn Rabüerfall auf Juwleir zues in Bad Homburg stemmen dürften de rienarstcsftsystem eistztemer EDV Firma. Ich weß dß es vowürfenvonManuilurten Inavtra-listen vorudncnh dem überfall gab.Manbech inmein Büro ien um dorevrete steramer Backup-Bänder zu stehlen inde rkissleffstraße 10, 61348 Bad Homburg, damals. Man wollt dem Juwelir vorwerfen er habe ein VoIP-PDF Faxserverlösung der Firma bader Comoutere verwendet um bstdlsiten z vrsnen wasnichtd e rfall war, er beutzet ein analoges theomparer Fax..nchd em Üefall gelch er den zstsempel des faxes ab mit inemakssbon asu einem Cafe nebendem Juwelierladen. Und af genau die sebart udn wes wurd egstren Post maniplerte. Als ich die betaneand er pfdre der 8 / 10 Andere Strafanzeige Bähring, Maximilian 1220 2134 6081 Gerstatsslcfstfat die rot gerde pausmchten bataslZge zu figeiren uterißendiese die Hilffeleistung bsi auf ie jügeren, einen Asiaten. Ich bekam nälich iiem Cafe einen gaz ählhenBonwie den von damals,erzget ebrist weit um ca, 12:49 Uhr einZet von 14:02 Uhr an. Es kanncih umkne ztszoenfeher handeln da es keine Verhciebung imStduentakt war. Notegrudgen binchdannins Iterfce ud hab von dort ausbweis gschrt, mir die belege zufaxen lassennchem ich zetah von dort aus mit meienmHandy ds ich auf Fersrchririchtg zumithrenfürdiustehden Cfbscuher gstellthate den notf anrife woemirneimdnhefen wollte. Dann ließ ich ei Bele auf das vorlagegasl desafxgeräets lege udn an mich fxen. Die Uhr des Faxveichst wies 13:53 Uhr aus. Als ich z hause nakma hate ich Post im brfaksten um umdaseigdtum mitzet genau zu efasne sh ich aufdei Uhr am telfon, die stnd aber rst auf 13.47 Uhr. Asic meien Email ffnete sh ichdann daß tatsächlcih ien afx iegenagen war vom Interfce, alelrdig shcon um 13.41 uhr,die ihr an meienm telfon gigalso rchtg. Shco dier vgahiet ahte ic merhc solchemiuataion ebtsandet mcihiemr ider über vihden ud udndmaiulert beismittel beshcrte. Ich habe das ganze inmeien antworshcbenefsgatlte an das Geichtdaß ich um 19:23 Uhr zu rpost brachte Eishcben RR 5775 7795 5DE ndas ich vorab u ca. 18:14 Uhr udn 18:18 uhr an das Landgericht (Perssestelle) faxte,di eNumer +49(0)611/32761-8116 udn -8431. Dabi wurd ich ma wider voniem Mann derim Intefce rhulaugert beldigt/bedoht. Sihe heirz wie egsgt das PDF und die Videos vom 19. Dezember 2024 ca. 12:30 Uhr (tiktok zensiert) https://www.zentral-bank.eu/gsta-sos.mp4 kurz nach 13:00 Uhr https://www.tiktok.com/@maximilianbaehring/video/7450209356072783127 13:15 bis 13:57 Uhr [beinhate Rüclbnend bild 12:49 Uhr] https://www.tiktok.com/@maximilianbaehring/video/7450226786601897238 ca. 19:25 Uhr mit Rückblende 13:30 bis 14:00 Uhr https://www.tiktok.com/@maximilianbaehring/video/7450234704067841302 fast exakt 20:00 Uhr nachdem ich um ca. 19:23 Uhr post abgab https://www.tiktok.com/@maximilianbaehring/video/7450237588675349782 Icc habe ien whnsineg stlker der uchinmeienwohungenriht ud evruch wbesmaterilazumaniliren, möglichieau demebrch derkrrutn Ermiter/Jusrten die Tei der aglichen Beute ushcclage ahben dasml, so ach dei RAF die sch gerade meldete https://taz.de/Exklusiv-RAF-Verdaechtiger-Garweg/!6057896/ 9 / 10 Andere Strafanzeige Bähring, Maximilian 1220 2134 6081 Uploads / Abschluss Upload Beweismittel Haben Sie Fotos oder Dokumente als Upload? * Ja Laden Sie bitte hier Ihre Unterlagen / Beweismittel hoch * Dateien: 3 | Gesamtgröße: 4.01 MB (1076 KB) 20241219-1500-ag-signed.pdf (1868 KB) 20241219-lg-signed.pdf (1164 KB) Exklusiv_ RAF-Verdächtiger Garweg_ Meldung aus dem Untergrund _ taz.de.pdf Haben Sie weitere Unterlagen / Beweismittel zur Strafanzeige? * Ja Beschreibung der Unterlagen http://banktunnel.eu/sch-einesystem/20241220.htm ( PDF-Datei sch-einesystem.156 http://banktunnel.eu/pdf.php ) https://zentral-bank.eu/tumblr.com/ und https://www.tiktok.com/@maximilianbaehring/ .... 10 / 10 Andere Strafanzeige Bähring, Maximilian 1220 2134 6081 Abschluss Wünschen Sie eine Bestätigung über die Erstattung der Strafanzeige? * Ja E-Mail-Adresse * maximilian.baehring@googlemail.com Andere Strafanzeige Bähring, Maximilian 1220 2134 6081 -------- Nachricht -------- Betreff: Faxversand an 06975580808 war erfolgreich Datum: Fri, 20 Dec 2024 20:47:02 +0000 (UTC) Von: Fax <noreply_fax@> An: maximilian.baehring@ Web2Fax Faxversand an 06975580808 war erfolgreich Guten Tag, folgendes Fax wurde erfolgreich zugestellt: Ihre Fax-Rufnummer: 00496924749613 Ihre Faxkennung: Maximilian-Baehring Empfänger: 06975580808 Zeitpunkt: Fri, 20 Dec 2024 21:47:02 +0100 Seiten: 10 Eine Kopie des Faxes finden Sie im Anhang. Wir danken Ihnen dafür, dass Sie unseren Service genutzt haben. -------- Nachricht -------- Betreff: Bearbeitung Ihres Anliegens aus der Onlinewache Datum: 20 Dec 2024 21:36:26 +0100 Von: onlinewache@he.onlinewache.polizei.de An: maximilian.baehring@googlemail.com Sehr geehrte Nutzerin, sehr geehrter Nutzer der Onlinewache der Polizei Hessen, wir haben *Ihr Anliegen vom 20.12.2024* (Onlinewachen-Az. 1220 2134 6081) erfolgreich zur Bearbeitung an folgende Dienststelle übergeben: * *Polizeipräsidium Frankfurt* * Vorgangsnummer Polizei 1458622/2024 * *Telefon* +49697550 <tel:+49697550> Falls Sie Fragen zum weiteren Vorgehen bzw. zum Status Ihres Anliegens haben oder wenn Sie einen Nachtrag einreichen möchten, wenden Sie sich bitte an diese Dienststelle. Mit freundlichen Grüßen /Ihre Polizei Hessen/ /*Bitte beachten Sie*, dass diese E-Mail automatisch generiert wird und lediglich den Eingang Ihrer gemachten Angaben bei uns bestätigt. Bitte antworten Sie nicht auf diese E-Mail, da Ihre Nachricht an diese Adresse aus technischen Gründen nicht entgegengenommen werden kann. / | |
|
20.12.2024 22:01 |
|
|
|
|
![]() | |
| [0] |
20241220-2201-0-1.jpg |
![]() | |
| [1] |
20241220-2201-0-2.jpg |
| Als ich eben die Faxbestätigungen duchgigs sha ich daßich am 16.dezber 2024 die nicht von 07:58 sodern 11:42 Uhr zu dem Fall SPH/ST 1436670/2024 Polizei Frankfurt a .M. (Online-Az. 1216 1029 2117) kosicehrwisn ncihgepflget zu habe shcine. ichrinr mich darn daß sich da jemand nen Job erpressn wollte imhexkssel Gerpäch ende 1998 indem er eientelmeirn Fax-bechrichgunge kaluenuddanna ncher agsciehrise widruafatchen lassen wollte als Erpressungs-druckmittel, kommt der shcnbar copy und paste-fehler 07:58 daher? Ich hatteben auch problene JPGs von dem Scanner der im Netz hänt zu speichern. Ich vermute ganz eglte Manipulation nchem man bei hauducchsuchungen hatte PCsmit orginalsoftare mitgehen lassen umdie gecket zurückzuegen und Bshclagnahequiitungen verweigerte.
-------- Nachricht -------- Betreff: Faxversand an 06975580808 war erfolgreich Datum: Mon, 16 Dec 2024 10:42:20 +0000 (UTC) Von: Fax <noreply_fax@> An: maximilian.baehring@ Web2Fax Faxversand an 06975580808 war erfolgreich Guten Tag, folgendes Fax wurde erfolgreich zugestellt: Ihre Fax-Rufnummer: 00496924749613 Ihre Faxkennung: Maximilian-Baehring Empfänger: 06975580808 Zeitpunkt: Mon, 16 Dec 2024 11:42:20 +0100 Seiten: 10 Eine Kopie des Faxes finden Sie im Anhang. Wir danken Ihnen dafür, dass Sie unseren Service genutzt haben. | |
|
21.12.2024 08:30 |
|
|
|
|
![]() | |
| [0] |
20241221-0830-0-1.jpg |
![]() | |
| [1] |
20241221-0830-0-2.jpg |
| Warum ist die Exmatrikulation von Meidzinstsudent die sich eigklagt hatte an dei Uni Marburg eigentlich der FAZ eien Meldung wert? Nun als Insuder wieß ich daß es sich um einen Zuegshcutz Code haldet, das sidn die Erpresser die § 20, § 21 StGB Falshgutachten anfertigten um die Schwesrtkriminellen freizupressen und die polstc Gegner wie GUSTL MOLLATH folterten. Die gehören zu jener schrets kirminellen Organision aus dem Umlfed der Rote Armee Fraktion die im Westn Journlasitenm, Politiker und Unterneher ausschalten sollten. Ich hab doch über den Medizisntudenten "Alexander BerGmann" ( "Paul Auster" Terrorbuch) gesprochen dessen vater Atz beiBad Homburher Kurbetrieben war udn adavon daß man evruchthat mediznsich Uteralsg auszpionrenwegn zum Beispiel illegalen Marinesoldten DNA Vaterschafts-ests zumTham Satbsuch Vergeltigung. der VEcuh an die "Forrst Gump " Akte heranzukommen. Mit der wollte die "Rote Armee" und ihre asl Terror-gansiaion inder weltchen bstazungszoen täteg Frakion doch das Budprsidialmat erpressen in Sachn EU-Beitritt EurLEX/KAFOR Serbien und Habsburger Alteigeentum . Der Typ mit dem ich im "Hexenkessel" Platten auflegte, der Kneipe meiner wegenirhe Geldwche wieich heute weiß bedroht worden seineden schwangren Komilltonin und Liaison dei sich nen Sekretärinen Job/nne hee im Bedvsrand der "ch udnshclißsgsslcgften" eprssn wollte
um danndie euroüäsch Ztralbank saboternezu können. https://www.faz.net/aktuell/rhein-main/region-und-hessen/medizinstudent-in-marburg-exmatrikuliert-110163487.html | |
|
21.12.2024 08:31 |
|
|
|
|
![]() | |
| [0] |
20241221-0831-0-1.jpg |
![]() | |
| [1] |
20241221-0831-0-2.jpg |
![]() | |
| [2] |
20241221-0831-0-3.jpg |
![]() | |
| [3] |
20241221-0831-0-4.jpg |
![]() | |
| [4] |
20241221-0831-0-5.jpg |
| Ich war so strak beshcäftigt daß ich die meldung üner die Marbruger Medizinstudenetn die foltren / scheiße bauen deshba auf später verschob wiel ich akteulelmit dem noh vil digendern Fall zu tun habe daß es sowieso alles nicht sbigenwürde das öfflih zu amchen da die Polizei hier sich gaue wie die (gerals-)Staatsnslcaftaa ganz aktiv weigert ihre Arbeit zu machen udn denjeneige die anders als sie udn die GEZ Lügenpresse Aauklärung betreiben wollen bedrohen udneprssen lässt duch uerassen Hilfeleistung ud sow ichte Zuegnassuagn verhindert udn daß sie sich eben or alelm cuh wegert Post abatgezunehmen. Und das war ja auf einem Weihnachtsmarket wo Ugen dabi warn der kara-üerbcht wurde am 16. Dezember 2024 um ewa 14:20 Uhr laut Vidoaufnahmen. Medizistudent führten eine sadtiusisch stuie dcuh wie das ist wenn man jemand als Nazi verleudet,mobbt und stalkt so wieien grupep vn Shcülrn ob sich das auf Ermttlugerfolge udn Polituk aus-wirktwiel zumBsipielteerositen nichtgshcnappt wrden wen dereizge Zueg der die gaze zet die whhiet sagt über korrute Beamte und Poltiker gemobbt, gestakt und auch noch verluedet wird. DAs haten wir ja schon midnstns ein mal in der dsuchen gschichetdaß die Mehhrit mobbte, stklate,verleudete udn dei mnderheit imrhct war, midtns bie der hitler, wenn nicht ausc ber deiTSlainistch gepägetn DIkatur. UDn manwolltewiessn wie anfällig Polisten fürCoprsgist sidn uwnd wielange es daurt bsi sieienm Opfer das wirklich massiv bedohtwird helfen daß von andernevrleudetwird oder oab sie ich lber der gruppe der mobber und stalker anshcliße wie bei einer schlägerei auf dem Schulhof. "MEHRHEIT IST NICHT WAHRHEIT"!
von andernevrleudetwird oder oab sie ich lber der gruppe der mobber und stalker anshcliße wie bei einer schlägerei auf dem Schulhof. "MEHRHEIT IST NICHT WAHRHEIT"! Indr szchnzet währnd die über diese vermeintliche Studie zumTham Folter geschcützt Gefangene in Pschiatrie die sie zuvor in den shcibaren slebts-mord gehetzt hatten auf dassditschsst Qquälte daß ihre Entgenusg Verbrechn an diesn Hilfosen Personen (Ostgbeieet algetums Rückgabe) nicht auffligen wennsie die patenet sesrren, mit Medizin vergften. Da steckt überall der Schwerstverbrecher florian Brcukmaer dahinter den ich deslhb shcon asl Fogemeisn Zivilidiensts anzeigte Ende des Jahres 1998. UDn auchd erpoltiker die PArtie "die parti" des straimagzins "titanic" einfrudn der abgordnten und ZDF-Journalisten "MERtINe SOGHNgEBREN" udn "SYLABLE BERG" welche die Folter als "TRUE CRIME foltwerwgat PRON" fürs "STREAMING INTERENET TV" von HotlkettenudnKlinike i mPayTV ausschlachten wollten mit "Exklusvevrektungrchten". Die haben gaz gezilt mit denteoristn zeusgearte udnLuet wie mich / Guartl Mollath mehcfsh fat umgebract, gezlt zu Invaliden gemacht. Daswoltl eich gestren derpolie nch erzähle als ich daraf hwes daß ich eine weitere Online Strafanzege gemacht udn an die +49/(0)96/755-80808 gesendet habe. Indemmaonet lief gerde im TV daß in MAgdeBURG, nicht MARBURG ein Arzt frdtsämmiegr abstmmung der möglciherise zu der Gruppe eghört hat die vom MARBRUGERer BUND, der oebsrten Vereinigung der mdizinerexmituklerit wurden, daßd er in MAgdeBURG in ien whihctsmarkt srat udn 60 bsi 80 Menshcn verletzte und zu dem Zteuk 1 Tötete mit einm Auto. Ich sgte der poliez daß das einSIGNA des zeugeschsutzes sei. Vielleicht eine asl Echterafl desgteelel Übung anlog dz daß man echte Fälle als Übugen vertuscht udnheut mrogebestätgt bild eshadet sich um einen arzt der im Maßregevollzug (= FOLTERknast, odenes KZ) gearbeite hat. Wo Luet wie Vra Zanner (gebBerges) vater mit ihren Inavsions-truppen vo deroten amreelute gezilt folternließe die sie asu Arche für dei erhboenen vrwüfe gen das milär falsch Vregeltigen beschuldigten,siemit sogrchtstchnich entühten Kindern erpressten,sich indenmassnmedin als Opfer darstellen wollten udnienIvasion Putisn provozieren uter dem vornd indushcland fuktioertdie justznciht esmuß was gshschn. Das ist die rote armee selbst diencit wiel daß die soldaten-vergewaltigungen rauskomen die es wohlauch siet der West-alliierten gab. Da kam dann laut denbad homburger polisen imerdiemiltary Police der US Army und kassrte dieaktenien udn damit warder fllbeedent. Die hemalige ebstzugsmächte käfne gemeisma mit denihe verlibendnetrupepn uder cover gendie ische bvlkerung demitnciht rskommen weceh schießsiewährnd de rbstzugszte gabut haben inEruoa. Diw ollesichmit iszneretn vergeligunge als Große sbchützr der fraue drstelen dertwegen sie kapspfrtclusb gündteten ud ien Utregrudarmee uafbauen inWHhist istdas ber ales inszierung. FAts alle fraun wurdn nicht wiklich Opfr vonstfatetn sond bahten das inShcdvefahrn usw. uged abzuzücken. Es gaht da u nicht als Eber/vermögen/geld. Diewollten als "dieguten" dsthen ide sie Lügenrinen verteidigten wie "vera Zaner (geb Begr) und shcdete damit wrikchen Opfern denen man nicht mehr gaubt wi mir und meiner Mutter. Ode rfrauendie imKlatholismsu daz gewzuge wrde eien ehr aufsrchtzrhalten satt sich shiden zu lassen asu reigösen grüden wie der fall in Frankreich was "eehlich pflchten" nagend ja uchne art Dar-ereltigung dsrtellt. Di Rotermisten udn arbarer wollten sichals die "jüdschs Lategtu KZ -Befreier udn Frauruchterler" darstllen die sie deffitiv nicht sind,die von Hiltergetnten bekam ihrne besiz ja nit zück uter StALin wiel beide Dikaturen SOZIALISTISCH waren. Das ist eine Art HITLER anhäger/nazis mit STALINisten-Pakt. Das iezge wo die arber rchthabe ist daß die verweigerte ehescheidung im Katholizismus Vregetng mit shc bringt. https://www.bild.de/news/anschlag-in-magdeburg-der-taeter-50-arbeitete-als-arzt-am-klinikum-6765dacdb6740d4e984c78de | |
|
21.12.2024 08:32 |
|
|
|
|
![]() | |
| [0] |
20241221-0832-0-1.jpg |
![]() | |
| [1] |
20241221-0832-0-2.jpg |
![]() | |
| [2] |
20241221-0832-0-3.jpg |
| https://taz.de/Exklusiv-RAF-Verdaechtiger-Garweg/!6057896/
MAgdeBURG IST EINABLENKUNGSMANÖVERDAMIT DIE AUSSAGE VOM RAF-TERRORISTENIN DER TAZ NICHT AUF DIE TITELSIET KOMMT WO ES UM DEN EINMARSCH DER ROTEN ARMEE GEHT UNDBANKVOSRAND HERRHAUSENder 3. WELTKRIEG beginnt https://www.bild.de/news/fast-200-verletzte-vier-tote-zahl-der-opfer-nach-anschlag-in-magdeburg-steigt-67667927ea4f0347ed565010 https://www.bild.de/regional/sachsen-anhalt/magdeburg-die-kruden-theorien-des-todesfahrers-vom-weihnachtsmarkt-67660aeaa34dcb59b66682c7 | |
|
21.12.2024 08:33 |
|
|
|
|
![]() | |
| [0] |
20241221-0833-0-1.jpg |
| MÜTTER SIND IMMER DERSCHLECHTERE ELTRENTEIL !WÄHREND SIE AUF DEM RECHT AUF ABTREIBUNG / DEM TÖTENIHRER KINDER BESTEHEN SINDES DIE MÄNENR VÄTER DIE UMGEKHERT IHR LEBEN AUFDEM SCHLACHTFELD LASSENUM IHRE KINDR VOR DEM ER-MORDET WERDEN / GEWALTIM KRIEGSFALL ZU SHCÜTZENFÜR ÜERIST DAS EIGEN LEBEN WICHTIGER ALS DAS DES KINDESBEI VÄETRN ISTS UMGEKEHRT!
| |
|
21.12.2024 08:34 |
|
|
|
|
![]() | |
| [0] |
20241221-0834-0-1.jpg |
![]() | |
| [1] |
20241221-0834-0-2.jpg |
![]() | |
| [2] |
20241221-0834-0-3.jpg |
![]() | |
| [3] |
20241221-0834-0-4.jpg |
![]() | |
| [4] |
20241221-0834-0-5.jpg |
| CIhwwree ja vn den duchgekalltenAZibis des Bundes-verbands der wch- udnshclißegsslcften die mich auf ihr nIveau herutrzwigen wollten mit dmeikamentvgfitungen duchgerscftsattpssrchicks dza gewugen mit jende tag diese shciße anzushen 18:00 Uhr im TV-Vorabnd-orgramm. "OKEL DAGBOERT GRÜSST SIEN NEFFEN" udn"SIET XXX GEFANGENER DER RAF" artig. So auch gestren, Freitag, den 20. Dezember 2024. Wie im Film "die Glücksritter" wo ein korruter Nigger der mit Kriegsvershrten betrügt (sihee beim Jfdglugzeg absturz verletztes Bein von Onkel Wolfgang al vorlag für sregat Dan in Forrst Gump) einen rveitlcihen Konzrnebren ausplündert mit seinen links-terroistschen palcken-furndn ("Überfal"a auf Metallbank, Reuterweg, Alte Oper, da wo jetzt "Julius Bär" drinne ist) war der chf wttsüchtg (erinert sich jamd andie sport-wetten vonVar ZAnner (gebBgers) eheammn, Fußballspile Bhdrte gegen gesde. Der typ der stzuz-bsoffen imem rim Interecfe rumhäget am Spielauotmaten vondem aus er die gschcike des HSCNEBBLLSYSTEMS "LIFE AG" (microst Azure clud) lentk? KIDNAPPING, SPREGTSOFFTERORISMUS, VEGRLEIGUNG, EPRSSUNG, EPRESSER-HANDEL MIT KDIERPORNOGRAFIE! (wir eirnernusn wir wurdn mit gehotohopten bidern eprsste vom Clan der vaera Znner [geb bger]) Ale sim Intercfe Pfigstweistraße 14, 60136 Franfurta a.M. diemit den gakten Fax-Zetstepelndamitd ei ermttlugen nicht in Gang kommen wi in dem
Auslädeshclsercafe(?) Zeil 5, 60133 Frankfurt mit den gefakte KAssngeleegen. (Vertsuchung von Raubüberfällen auf Juweliere, denn von irgndwasmüssnedi "ilegalen" ja nebd dogehadel leben). Jornlsietnwie ich die eprsst werdne dfürn ja nichtshciben über die Migranten-Mafia die verucht and as Erbe der Eiheischtsämmgen heranzukommen (lahdnahme epr eneitgnungsrechts-betrügreien udn nicht erüchter eibrgerung). Alo, wi imFIlm die "glsücrstter" i.V.M "einunmorsliches angbeot" (zag zrie prostituion ppr schuldenfalle idn die man dank korrter Polzei udn behördn lede rhsnele ruscht, eta duch üerhöhet Rechungen von VoIP-Providern dank EDV-Hacks) wolletn Homer chfe mitinem seinr suprichen Kumple ien Kuppel show vetstaen udn zusmen mti dem "gatsonomen" moe woz er Homrs ehe gezilt zerstörte. Das dindn die kdir sicher prima. Hofflih nichtdem eisnde rkdier indei ebrlien vergewaltigt wurde wie bei uns. Man bezahte moe der sic zu urcht als hrs bestr afuend ausgab dafür angelcih eine neigalangeleue Roff-top Bar. Siehe "hexenkssel"-Gelssäche udn"kappsagsse"-Liegshcft. In tei woz üfuhr Hoem dank eisn fehprogarammierten Nvy Handys daß sen SPUREN SLEST EVRICHTE einen Obdchlosn de rihn dann im Porzess bazockenwollte. Homergalng es ab diemesnch insprgfiel davonzuüerzgeen daßsie Edlerwhund bessre udnichtger wgesensie asl der eihsiche Obdchlsoe, im"WEICHTSLLER FALL" sie es daher vorrnagig gwesen (seh abtrabung) das lbe des Mannes zu Opfern für da sürbeleb desters. Die DUMME KUH vionder Tierschutz-lobby schlachtet einen Metzger so ungefähr. Haustche die tere zerfschesich dnn slbst. Duch das gerichtvefahrn indem Hudnenmhr rhcte iegräunt wurdne als mshcne geriet die gaze stadt inientotal Katstophe, die Hudn teeorisetren udntyrnisrendie stadt, so wei bei denmaranet den man Rchet eiräte die ise nichtahben dfüten. Am den gabman dann achnoch demObdchlsoen die shculd dfür daß Haomrsien wgen nicht ordntlich hatet warten alssn und die Navy App aufd emahndy den unfall mitverucht hate durch ihre Fehlprogrammerung. Dan begann #berlinNueKölln02407 / #berlinTagUndNacht. DerHomsxulel Rick und die cathy spieltn Weihnachts-bäckriemit "IHREN" kindern die ja Pfegkidner sind. Die leblchen eltren den man Kidner ja ft genug wegnimmt inder serie iumsie doptionwillge infertilen paaren zuzu-führen wird das sicher freuen. Inde rkatolschen kirch gibt es ja nur infrte vercher die ein afible dfür haben mit dnkidenr vonandenrleuten zuspilen umsie zuidktorniren mitihrm schwachsinn. EIge anchcuht hatdiese kirche ja gottlob dan Zölibat nicht. Schmidti hatte einen LED-Lichetreketten-Pulli. Bruno der xpiziet nicht mit Emmi evrkuueplt wrden wollt wier Peggy ausdücklich egst hat trank mit der absolut übel egalunetn Emmi si ennzur zet nicht idnergegend herumhuren fr hre Slbststätigung) Bruderschaft. Diese total verlogen "heilige Familie". Auf dem hausboot sollet es Fondue/rclette geben aber manlöste ien Brandaus, die rauchent-wicklung war so strak daß man das boot zeit-weise evakuiren muste aufdem füher an genau der stlel wo das Fauer ausbrche, ES HATTE DA SCHON EINMAL GEBRANNT, KÄRTES MIDEJÄHRIEGEVRLOBETE HATTE DAS BOOT ANGEZÜNDET WIEL ERSIE NICHT HEIRTN WOLLTE, als an genau de rstlel gab es ein Grafitti mit feuerhweluten n de rfima WRAMER ABBRUCH VERSICHERUNGS-BETRUG (sieh "TAUNUS THERME" und "ZEHNT-SCHEUNE", "HERRAHSUEN" udn die filme "BACKDRAFT" udnDIEN cartoon_Serie "GRISU" zud enslbsternnaten elstionsgelen PSRAMSISCHEN "rettern", eine inszenierung für die HANS MEIER RTL-NOTRUF GAffer udn Voyerismus Show nach der nächsten). DDANNKAM EINEVRDETES ZEHCNAUS DEM ZEUGEN-SCHUTZ DS S ICHDECODIREN KANN: "EMMI GEHT IN DEN SWINGER CLUB" bedeute daß ien im Budervand dr Wach-und Shcließgsselcften Zuchtgaus/Puff-verwagltgs-Knast bekommen hat. Bruno wollte dann auf ihr Kinky X-Mas Üarty begeleiten. Er war ja imKnast wegen Geldwäsche und Drogen. Erinert ich noch jemdn wo es umd as Them "motorräder ptzen für die rocker" ging das ich decodierte als "gaplant vergewaltigungen". BRuno wollte edenflsl mals ehn was Emmi so afirhe dämlichen S*x-Paryt da so treibt, shcger wrdne kann sie ja zum Glüclk beimehruhruen nicht. Sie hate ja auchmal einKidn entührt, daß Baby Luan von Kätzes schester. Ich hab doch gezeigt daß mie exwi eich späterheusfnd im BDSM/Sado-maso Milieu aktv war und einer Sekte nchestnd mit dern pseudomdeiszchershciße did das kidnswohlgefrnden dundas idnidotrinern wollte daß si emir indie erblienevrgeltgthate uter Dorgen evrgftung. BDSM/Sado.Maso und IKdpaping udn K.O. Dops artge Mdkanetevrgfitung wie bwimir 1998/1999, da muß man ich ja kiensogrenmchen wennder Ex-Lebnensgefährte der Kidesmuer vond em man posthum rusfidneet daß er ien BDM/Sdao-maso webist berteben hat urplötzlich dter sostriösenUmstädn z Tdekommt. https://www.tvinfo.de/fernsehprogramm/2032219138-die-simpsons https://www.tvinfo.de/fernsehprogramm/2032219155-die-simpsons | |
|
21.12.2024 14:00 |
|
|
|
|
![]() | |
| [0] |
20241221-1400-0-1.jpg |
| https://www.tiktok.com/@maximilianbaehring/video/7450849066130361622
| |
|
21.12.2024 17:30 |
|
|
|
|
![]() | |
| [0] |
20241221-1730-0-1.jpg |
![]() | |
| [1] |
20241221-1730-0-2.jpg |
![]() | |
| [2] |
20241221-1730-0-3.jpg |
![]() | |
| [3] |
20241221-1730-0-4.jpg |
![]() | |
| [4] |
20241221-1730-0-5.jpg |
![]() | |
| [5] |
20241221-1730-0-6.jpg |
| Bevor ich damaks am 12. Februar 2020 nachmittags am telefon bedoht wrdnebin von deisem Michal Beck was zu dem Verfahrne 380 C 478/21 Amstgericht Frankfurt a.M. (in Höchst) fürte rif sie ja monatelang jeden abend an da wie sie sagte seich shceen lasse ihr Vater im sterben lag. ic shcikte ihr damals Backups meisn Blogs auf USB-Stick/DVD-Rom/Speicherkarte per post und bat sie "Unboxing" Fotos von der Post zu machen wenn sie diese erhaluit, das hat sie aber nie ordentlich gemacht so daßman eta sag daß dernagkomene geöfnet Brief audf dem TShc vor irh lagderr sondeen mir stattdesn fots von sich geschickt die fgür mich zuncihstzu wvrdene waren. Aer si ehat den Blog onlienzumdnst gelesen und mich agbeten an dem Tag an dem der "pi-news" Autor "Michael Stürzenberger" in Frankfurt a.m war auf dem Frankfzerte Gothepalt war das galub ich die fotso di ich dort gamcht hattewider ausdem Blog zu nehmen. Ztenha zu Bträgen di ich snchträglcihansoiserte in dneich sie erähnt hatte Damasl hab ich noch anon-ymisiert. Als ich nun vor einigen Tagen Postzsteel Videos ud so hochlud auch auf facebook in Kopie stolpret ich dort zufällig auf eime insitn das die KI mir nabot: von xxx Jahrn udn die zeigten nochmaldie alten Fotos von Stürzenberger, ich galub in Frankfurt a.M. der ja mitmessern angegriffne wurde beiienm ählich aftitte woebei ienPoliste der ihn bewachen sollte zu Tode kam. Vor wiegen Tgan stolptere ich rein zufällig üer ein Fotos dieses Polizisten zu tham
Polizei-Brutaliäts womöglich. Da musße ich bene darn dnken als ich auf titko als ich das vido hochlud wie ich die strfa-azueg voegstre nht beidrpolize slebst abgen konnte an der Türn nahdem passanten sich ebreit erkärt hatten als Zeugen danbenzsutehn damit mir nichts passiert,dme Pärchen vilen Dnak, nur noch wenge haben den Mut zu so etwas, ud amns aget auch gelcih "istd asnichtdas rever wo es die Shclagezle gegebe ahte wegdem fahverahten". Ich bejahte das und dsgt daß ich sogar slebst dort zum Opfer geworden war, erstmalig war das 2007/08 später in U-haft weg Notwhr sogar wochelang hungerstreikte. Da ging es um die Sache ZS 1797/08 Gerneralsatstschaft Frankfurt a.M. wgenmien enführten mir anvergeltigten Kind uetr zuhilfenahm von Drogen, daßmanmcih aus-hungerte udndiendi eobdchlosgkeit terben wollte 2007 chdem man mien firm in den ruin getrieben hatte wo-duchich der sonst eiegtlich midstesn sech Tag die woche areiet urpünglich und seh rgeren am aufbau de itrenst mein Job veror unfriwilligerweise auch duch Cybrcrime. Jendals hab ich dannirgndwan norgdrungenmarßneals hei rie rtsn feur gelegt wurdn udn ich erfuhr daß dr Ex-Fund de rkdienmutre im BDSM/Sdao-AmsoMiliue Prtis machte wofür er webistes basteltedi er auf ienmMaislrver Co-hostete eisn marktingunternehemsn das bei meien firma in Bad homburg ien Server stehen jhhet, udn daß genau diser Typ auf mytsriösstes Art udnwies zu Tode kam. Udnd a hatte ich gaz amssiv Ansgt daß dme kidnwas gschiht, meien Muerhattensie shcon ebdoht irh eien spritze zu geben als Medikanetenvergiftung nchdemman ihrbeisn vertsmmelt ahtet so wie ich slebst jaacuh Opfer vonvegrtungen imKarnekas wurde, wegen eirn dabvo nhabich, eisntamsl absolvent eisn 10Figer sytekurse mit estdnenrpfüfung und GermsitkStident kaumhr shciben. Ach wgen de rbluerluste beiden Sclbst(?)-Morveruchen idnei man mich hetzte. Das führtdaz daß ich nicht emr zum Arzt will vetsädlicherise asu angst vor neuerlichen vergifutgen was wiederum dazu führt daß ich 20281 vor azsncherzen einen suizdevrch eging wieichdiesmcerzen nich merh aushilt diemir ien kaputtter Zahnberete hat. Chwollet kien versichertenkärrchen sodne rneien eizel-karehscin fr zahbahdung dmt man mich nicht K.o.Sritzen und in en klinikeifliefrn kont um ich vechdien zu alssenwie man mir zuvor angedroht hatte. Ende 2013 ha ich mic mit Müh ud not und vile vil Gerichärgr ausseo ien Siitarionmit großerÜge widerferen müssen,so Gustl Mollath artig. Die hetzen imich indenslbtmord udnevrchen mih dann inde rpschiatre endgpültg eftgzschen wennichdabi nicht zuvor schon an sufschlstenadern de rso drafgegange bin. De wlltend aß ich mir vor lafndercam die Adrn ausfclitze damit es nch Sizid ausshet, diekate wolltesiedann vschiden lassen die ws dners belegn, ih sollet Blako getsänisse ueschriebn udnslbtsbzichtgugen wge des enführten kidnes udne rbedohtenfrundin Ende 1998 im Hexenkssel. Spuren siehe http://bad-homurg.eu/download/ressler.pdf etwa. Man hat mri diesn Krnescindrsic ncht fr Klinikaufenthalet udn derren abrechnug zeckenferdne lässt verwiegert. Dhe der suizdevrch Juli/agust 201 vor luater Schmerzen. Dan at anmir nch vorheriger androhung z vle Zähne rausgerissen. Aus rche dfür daß ich wollte daß man für Goldzähen und Einzelzimmer zuzhalen soll udnliebr geld indie handnhemnwolet umAlkoholker udn Junkies zu therapieren. EInTel dvon st dei RTl2sopa "hartes deutschaldn" die evcht aus dem lbe von jukies udn shcrtalkohliker obdchlsen zu berichten dieih dazu bege wollte mit Slatphne udn tkto ire alttega zu dkuneterien für das farshen dmait die bevölkerung al mitbekommt was dasbduete süchtg udnbdchlos zuu sien. UDn wo dieprblem ligen die dazuführendaß die luet inbahhöfen übernachten du ebttelen. cuhd eiporblem mti den bhördn die vileicht niht rchtg hefen. Dfür wollet ich WLAN/WIF an allesn BAhöfen udndorgenamubalnzen. Damitdie iem Mtsmchendemsie vetrauen ihre gschicht stcük für stück erzähen köen wie iemThrpueten der sie fr sie afrschibt dmait amn aml ein Bild bekimmt was n vielliecht um denen zu helfen machen kann daitd e Bahhöfe wirder "suerer " werden udn man oheansgt gebtteelt zu wrden doer übfaslsn bah fahrn kann. #TRAINSPOTTING als Film ist ein Dnkmal dfürd aßesdiese Unetrahtungab damsl im Schüler-ztusbüro zsmen mit dne Hocdelige aus Groß-britannien dere Zetung "theSund" sich we "diebild" zur europmeisct üer die "No Go areas" inBahofsvireteln beschwert haben. Dastefe mschlcihe Elend oftmls durch das zerehcne der Familien bei Scheidung/Trennung habich ja shcon anläßlichd #Simpsosn Folge erwähnt mit dem Chili-Dog Foodtruck undrr O.J.Siposn Veefolgnsg-jagd mit den Paparazzi! He nun teiß icg af tikokauf denVido ebtrageisn amnens ichgalb vonder Afd deruch mal ienvido aus sienr kückh shcikte wo er am tsch saß udn sgat er strage das alels nichtmerh was er agrde, am geristegn 20. Dzeber 224 ausf megdburg gehört habe udn er sprch mir sehr aus dersseele wie er lägere zet shernsisch erköäret wie ds dche volk imermher fedrtbstimmt wrde, Wafflferunge fprdie ukrien wihger würden asl das wa sheir vor ort auf usnern Sraßen pssiert. Dass fnd ich shr,s ehr shenswert. Das tikto pfil des mannes heißt "turbo _ _ _ tom" it drei "_" dzsichen. https://www.tiktok.com/@turbo__tom/video/7450774663602392342 https://www.zdf.de/nachrichten/panorama/kriminalitaet/stuerzenberger-angriff-mannheim-islamkritiker-100.html https://www.pi-news.net/?s=Michael+St%C3%BCrzenberger https://www.rtl2.de/sendungen/hartes-deutschland-leben-im-brennpunkt https://www.hessenschau.de/sport/fussball/em-2024-sun-warnt-englische-fans-vor-zombie-stadt-frankfurt-v1,zombiestadt-frankfurt-sun-warnt-englische-fans-vor-em-102.html https://de.wikipedia.org/wiki/Trainspotting_%E2%80%93_Neue_Helden | |
|
22.12.2024 11:30 |
|
|
|
|
![]() | |
| [0] |
20241222-1130-0-1.jpg |
![]() | |
| [1] |
20241222-1130-0-2.jpg |
![]() | |
| [2] |
20241222-1130-0-3.jpg |
![]() | |
| [3] |
20241222-1130-0-4.jpg |
![]() | |
| [4] |
20241222-1130-0-5.jpg |
| Beihilfe/Begünstigung RAF–TERROR per Postunterschlagung Kursmanipulationen/erpresserischer Menschenraub/Straf-vereitelung, Gefangenenbefreiung, Zeugen-Medizinvergiftung/Vergewaltigung
Maximilian Baehring Hoelderlinstrasse 4 D-60316 Frankfurt/M per Fax: +49/(0)611/32761-8402 Dienstvorgesetzte von Richter/in Gottmann sowie Richter/in Hommel „Amtsgericht im Hause Staatsanwaltschaft Hahnstraße 25 D-60528 Frankfurt a.M. Im Internet findet sich unter der URL http://banktunnel.eu/pdf.php und URL http://blog.sch-einesystem.de/ mein ausgedruckt ÜBER 31.000 DIN-A4 Seiten umfassendes Internet Tagebuch / Blog, als Offline Version downloadbar unter http://*** /***/ als ISO-Image (brennbar auf DVD) mit tagesaktuellen ZIP-Archiv Ergänzungen Neu: https://www.tiktok.com/@maximilianbaehring/ Frankfurt a. M., den 22. Dezember 2024 Aktenzeichen 28098 C 360/24 des Amtsgerichts Frankfurt a. M. Klageschrift erhalten per Zustellung am 18. Oktober 2024 Begleitschreiben datiert auf 04. September 2024, „Erweiterung der Klagschrift“ erhalten per förmlicher Zustellung 14. Dezember 2024 darin Klagerweiterungsschreiben vom 19. November 2024 nebst Anlage/Begleitschreiben vom 10. Dezember 2024 daß, obwohl es am selben Tag zur Post gegeben wurde wie ein andres förmliche Zustellung Schreiben vom selben Tage, erst zwo tage später eintraf. Einschreiben RR665222780DE vom 19. Dezember 2024, Fax 15:58 Uhr an +49/(0)611/32761-8116 Einschreiben RR577577955DE vom 19. Dezember 2024, Fax 18:18 Uhr an +49/(0)611/32761-8431 an Poststelle (Gebäude E) Landgericht Frankfurt a.M., Hammelsgasse 1, 60313 Frankfurt/M. Ihr Schreiben vom 17. Dezember 2024, am 19. Dezember 2024 13:47 Uhr erhalten (per Brief-post frankiert am 18.) 2 Blatt, 3 Seiten, erstes Blatt (Begleitschreiben) vorderseitig bedruckt, zwotes Blatt „Beschluss“ (vom 16. ausgefertigt 17. Dezember 2024) beidseitig Einschreiben RR665222475DE vom 18. Dezember 2024, Fax 10:58 Uhr an +49/(0)611/32761-8402, Amtsgericht (im Hause Staatsanwaltscfat) Frankfurt/M., Hahnstr. 25, 60528 Frankfurt/M. Fax um 20:33 Uhr an +49/(0)611/32761-8402 nebst Einschreiben RR577577195DE je vom 14. zur post gegeben am 15. Dezember 2024, an Amtsgericht , Gerichstraße 2, 60313 Frankfurt a. M. an selbe Anschff/nummer auch Einschreiben RR577577204DE 15. Dezember 2024, Fax 15:58 Uhr Fax um 13:59 Uhr an +49/(0)611/32761-8325 Einschreiben RR665221594DE 13. Dezember 2024, an Landgericht, Gerichtsstraße 2, 60313 Frankfurt a. M. sowie mein Einschreiben an das „„Amtsgericht im Hause“ Staatsanwaltschaft, Hahnstraße 25, D-60528 Frankfurt a.M. 12. Dezember 2024, Fax um 18:27 Uhr an +49/(0)611/32761-8402, Einschreiben RR577576932DE Beschluss vom 04., ausgestellt am 08. November zu Fristverlägerung bis 06. Dezember 2024 nebst Begleitschreiben datiert auf 04. November förmlich zugestellt 12. November 2024 Beschluss vom 05., ausgestellt am 10. Dezember 2024 zu Ablehnung Befnagenheitsantrag und nebst Begleitschreiben 10. Dezember 2024, förmlich zugestellt 12. Dezember 2024 mein Einschreiben RR577575870DE 03. Dezember 2024, 10:40 Uhr Fax an +49/(0)611/32761-8402 mein Einschreiben RR577573556DE 14. November 2024, 13:11 Uhr Fax an +49/(0)611/32761-8402 STRAFANZEIGE WEGEN AMTSANMASSUNG/AMSTMISSBRUCH, STRAFVEREITELUNG (IM AMT), BEIHILFE UND BEGÜNSTIGUNG VON SPRRNGSTOFFNSHCLÄGEN, MORD, KIDNAPPING SOWIE VERGELATIGUNG ([1] 30. Oktober 2024 Einschreiben RR577571674DE an Gerichtsstaße 2, 60313 Frankfurt a.M. Oktober 2024 ca. 12:12 Uhr Fax, 3 (in Worten: ddrei) Seiten an +49/(0)69/1367-6301 24. Oktober 2024 ca. 14:51 Uhr Fax, 10 (in Worten: zehn) Seiten an +49/(0)69/1367-6301 Sehr geehrte/r Dienstvorgesetzte/r des/der Richter/in „Gottmann“ und „Hommel“! IIch bleibe in der vrozechente angelegenheit nicht ein Tag untätg werde aber von allen möglichen Stellen die hiermit zu tun haben auf das allerübelste blockiert und sabotiert. Das hatdaszu geführt daß ich inssmt 5 Strafanzeigen machen musste seit Montag dieser Woche gegen korrupte Polizei/Justiz/Anwälte die mir Zugang zu dem Gebäude unPOrozsskoshfstragsunetragen verwehrt haben. Und zwar Wie folgt: SPH/ST 1458622/2024 Polizei Frankfurt a.M. (Online-Aktenzeichen: 1220 2134 6081) SPH/ST 1436943/2024 Polizei Frankfurt a.M. (Online-Aktenzeichen: 1216 1118 6141) SPH/ST 1436670/2024 Polizei Frankfurt a.M. (Online-Aktenzeichen: 1216 1029 2117) SPH/ST 1445390/2024 Polizei Frankfurt a.M. (Online-Aktenzeichen: 1218 0559 9348) SPH/ST 1445558/2024 Polizei Frankfurt a.M. (Online-Aktenzeichen: 1218 0739 8728) Zuletzt habe ich am 21. Dezember 2024, exakt 12:40 Uhr im Beisein von Zeugen die Numnmr 1458622/2024 beim 1. Revier, Zeil 33, 60313 Frankfurt/M. Überreicht (die am 20. Dezember 2024 per Fax um 21:47 Uhr +49/(0)69/755-80808 gegangen war) und dabei Video https://www.tiktok.com/@maximilianbaehring/video/7450849066130361622 gemacht. Die restlichen Anzeigen gingen jeweils am Tag ihrer jeweiligen Erstellung, dem 16. sowei 18. Dezember 2024 die Polizei Adickesallee 70, 60322 Frankfurt a.M. / sowie an die Polizei (5. Revier), Fredinand Happ Straße 32, 60314 Frankfurt a.M. und zwar per Einschreiben RR577577765DE, RR66522246DE am 18. Dezember 2024 sowei per Einschreiben RR665221974DE am 16. Dezember 2024. vorba jeweils per Telefax am 18. Dezember 2024 (1218 0559 9348) um 06:25 Uhr,(1218 0739 8728) um 07:58 Uhr am 16. Dezember 2024 (1216 1118 6141) um 11:29 Uhr,(1216 1029 2117) um 11:42 Uhr Am 16. Dezember 2024 habich zudem versucht die ersten beiden der Strafanzeigen um 14:20 Uhr auf der Konstablerwache persölich drpOlize zuüergben, dort stand ein Mannschaftsbus der gerade den Auweisvon einem Mann kontrollierte im Beisein von 2 privaten sicherhheitsdienst-Mitarbeiter der (laut Warnweste) Firma WiSAG? Das war vor der Katharinenkircheam Wihnchtsamrkt, unter Sicherheitskameras, man wollte die Post partout nicht entgegennhmen oblichdie batencuh Body-Cams hatten. Ich war zuvor in der Post Goetheplatt gewesen aber mir war die Warteschlange zu lang da icd ort schon bedroht worden bin wie auch am Vortag vor meirn Haustür. Am 18. Dezember 2024 hatte ich um gegebenenfalls auch das Formerfordernis einer anwaltlichen Vertretungspflicht vor dem Landgericht was das Beschwerde gegen den abgelehnten Befangenheitsantrag Einlegen nageht zu erfüllen versucht dort nach-zuhaken was mit demverbeibe den von mir schriftlich angeforderten Prozesskosten-hilfs-fomrulare ist. Extra hate ich am Montag den 16. noch Kotoasuzüge geholt um diese gegebenfasll beifügen zu können. Ich weißvon ienm Anwaltdaßes verschiedne Auskunftsformulare gibt wegn Prozsskosthilfsnatrag aus dem Schülerzeitungsbüro zur Zeit der Wiedervereiugung woder sohn unsrer Pliet-Mieter inderkappessgasse einen Anwalt brauchte, ich glaube z rinnern da er jemand aufsmaul gehauen hatte. Damsl wurden ich und meine Mutter auf das allermassivste erpresst. Unsre Miter in der Kappesgasse, ienHAndwerker, war wegneinem streit mit seinen Kompaganongs Pleite gegangen, miete damsl unser asu einr ebrshcft neu rebuates zwoets Haus mit seiner neune Lebensgefährtin als Geldsäche-Treuhänderin sienreinküfte was dazu führet daß seine Ex-Ehefrau iProble bereitete mit den gemisnamen Kindern. Die kider kamenzu mir isnBüro gerannt wil die Stadtwerke den Baustrom ab- und den Strom für denmiater nicht anshcltenwollten wiel der nicht kreditwürdig war. Ich atte damsl ein Schüelreztungs - pressemeeting mit Jugendparlamntariren und Besuchern und die Kinder versuchten diese Medienwirksam anzubettelln ansole ihen ein Photovoltaikalage aufs Ensmbelschutz denkmalschutzfage Garagendach bauen und den Strom mit der Miete verrechnen. Sowit chstenn war auch der heutie Minser für wscta, Roebrt ahbck, dmsl noch Kidnerbuchtautr, anwesend, ich bin mir aber nicht sicher sowei der Sohn des Oebrbüegremsiter Assamnn, später Quadt-Stftung. Als ich der soweiso nicht die belage sienr eltre z rgeln hat nicht sofort nach-geben wollte vruchte Vare Zanner (dasl noch/geb. Berger) mich zu erpressen mit Dingendieman nicht idne reztungstehen haben will. UTER ANDEREM DOHTE MAN MIT DER VERÖFFENTLICHUG gephotoshopter Nacktfotos aus Ermittlungsakten wo ic als ganz kliens Knd und meine Muter inBagkok Opfer von sxulen Üebrgffen egwordnwaren zurgaude der ganzenshcüelrcft. Jezt ist es soe dß mienmutter bei Budnvsrand der Wach- und Schließgesellschaften imChefsreatria bei Hrren Shcirmmel arbeitete. Ich waudre dmsl gwen mienrs Polsctehn Egagmets und menr Pesstätgekiet assiv angegriffen und bedroht, auf die baugelcih gepazerte Limosuine mit der ich zur shcule fuhr wurde ein linksextremistischer Terroanschlag verübt, ic bschäftgte mich dasml mit dem Them duch sozalsicteh Dikatren entgnetem Alteigentum wie ich „penust die bak zahlt alles“ Immobilenshcider und Bankier Herrhausen. Wurde uch wgen derätgkeit meir Fmilie imLufahrtberich (ute anderem Jagdbombergeschwader und Prottootypen Flugzeugbau) ze von attacken, ganz abgesehen von den Vorwürfen des sexullenMissbruchs bei nem Staatsbesuch samt mrienschulschff als wir mehre ajhr inthaildnwarn woemeinVatr für die Mellegslslft AG Kozern dort ein Berwgerk managte. Das war dem Bundespräsidialamt peinlich,sollte vertuscht werden. Dummerweise war da jede menge prese wansend udnman must die kinder ja schützen. Davor daß ihre eltrensie assnmdial wiksam zumbetteln schicken was Auswrikugen auf diespöäter Karriereauschcten habe kann, genau wie di shcülerztung die ich damlas mitherausgab einPublikum ab der 5.Klasse, einalter von 10 Jahrne als zielgruppe hatte für die evröfflichte Eprsser-fotos von Vergewaltigungs-Akten vileicht nicht unbedingt die nch FSK, dem HUGENDSHCUTZ der Medien passndeihalt war fürdas shcülerztugsbüro. Zude must ein evetulel anch ienr vegrltgung nicht atrbenewordnes ausgtragen wordens Kidn gshcütz wrden was die Familie seienr Muter ageht acuhdamit Soldten die als Täter verdächtgwaren es icht umbringen vor dem Prozess wennsien Bild und Aufthalstort per Medien bekannt werden. Esgt da umFragn des Zeugenshutzes uddas rcht vonvegrltigsopfern vor vegrligern geschütz zu werden,also mssive enshcüchterung von Zeugen. Per dieser Erpresser-Fotos. Soet mi baknnt ist Vera Zanner (geb Bregrs) Vater der bei der roten armee war und überlaufen wollte um anch der shcidungbeis sein Kdern sin könen in den Fall verwickelt. Zudm noch einabsrchstämmgerbekater dr era Znner (geb Begrer) der gaz geziltgaplant hatte inEbrlinienhinzuvegerltgen um an vermögen zu kommen, sie selbst sprchmir gegenüerb von einem Stalker. Um die uetr 16 järhegen kinder nun vor sch selbst zu shcüteznudndavor von den (immigrationswilligen) Scheidungs-Eltrenteilen zu schützen hab dan soweit ch enstine mdizner evructdiese psycho-szailer edizscnerr Nitfalle betreuung zuzuführen um sie aus dem pressemeeting w sie betltene hasurzuholen. Damit sie mal wissen wer dadaanwesnd war draf ich verrten daß der Vorfall es als die „Chili Hotdog – Foodtruck Folge“ sogar bis in die Cartoon Serien #Simpsons gschafft hat dundei widerum bis af die Bayreuther Wagner Festspielem es zur Ablenkung eine Paparazzi Vverfolgungsjagd gab. Ich war ja mhere Jahre iMAulnd gewesnudn usnre Uteützer im Wahlkampf (darunter der designurte US Virpräsditen) wollten daß ich üer da sthe Shculssen undnfrman in meiner Zeit andershcizer shcule idnBagkok in Thailand, Asien spreche. Dazu wollte man so eine Art „Maggi Kochstudio“ aufbauen in der Turnhalle. Es ging dasml zur Zeit von „Goodbye Lenin“ und „Club der Toten Dichter“ um di ezsur von shculbüchern wasmanam bsipie der iternational shcoll inbagkok gut afzege kont wo Lehrpläne aus der hciz, den Budslädenrind Deutschland West, der DDR(?) nd Österichs ufdnerparllte,ale mit einer eigenen Schtweise europäischer Geschichte. Wr etshcdienus dams das mit dem Fsrshen zusmen zu dkunatren inform von “cartoons / scited reality“. Der Film „reliyt Bits“ etwa ist die Hollywood Verflung ienr der scüeztusgrdaion unserer Schule was darsnliegt daß de britssche Hodchdel der imKrpark Polo-Trner ritte udnwir mtider artiel für die jeweilgemn Shcüleztugsn auszutauschen palnetn üer einnue afzubandes Prssartikesnetz, ds ihenheuet als WWW/HTM Intrenet bekannt ist woeb wir usn uterützeung von Kern-forschern und Forschungsstätten mit ins Boot holten. Zdem vchte ichehrusfnden wieMdien udnporpagda daz msisbrhct werden mshcn gegenider aufzuheten von Forchern wil Rassmus udnausläderfidlcihkeit indnchwndezet eingroeßs Thema war. Jedfasl ebshcäftet c mich damsl mit derlategtums Frage, Trehdndsltalt und sowas. Zude fragen vo Kartellrecht was die beschaffung von EDV - Systemen anging unter anderem für den Presgautr artgen Austausch von Artikeln der Schülerzetung. Dabi ging s unetra denrm umdie gafhr iens MITM „Man In The Middle“ Angriffs denich in ählicher art und weise aus meinernebenherJobebrei in der EDV kannte mit de rich mir mein Taschemgeld verdiente. Damit beim Trasfer üer leädgrenzen hwieng etwazu führenmitshcüern austahiland, die Miltrestr die Inahlte nicht verändert. Das ist ja ach ein Thema für ds amsl oafomenOnli-Bankund ud Brokerage gewsenalso mienMtter vom Baksichertsvbrnd der geldtranportefahrer, also dem Arbeitgeberlager dort. Damsl gab es weder EU noch EZB. Das wude seinerzeot alles gegründet. Udn Moskau (putn war jaKGB iNDrsnden damsl) sa die Möglichkiet Eifluß zu nhemn auf daswiderveigte Dsuchlad wennmandenPoltschn Nacjsucht infiltriert. Manwollte die EU nach der Gründung duch wetsuropas kitalsiten zum Sozalsimus sojstcher prägung konverteiren siten der oten armee udnYugoslwane etwa. Und genau dazu wurde man – sieh die partespendeaffären dasmls - zum Wahlhelfer. Mitenr pessung evruchte man etwa die immobilenmer eltren z enetgene oder meine Firma sowe die Firma wo mein Vater imabnagement tätg war,diematllgselslft AG. Man baute ienkrigsasse auf für Wahlmanulation und Sabaotageakte. Sponsorte Ptuisn St. persburger Bürgermsietr wahlkaf enbso wid dnederklistchkos inKiew. Urkaine. Dei vrwürfe wche die russiche Jutsz gegensoagnnet Olgarche ehebt sind – ic hab da wi Nalwany rchrchiert – msit rchtsn soweit hc das mit meinem Insider-Wissen nachvollziehen kann. Und dmaitds alesnicht an die Öfflichkeit driget, es hat ja schon, verdeckt als „Haushaltsstreit“, zum shciternder Regierung Scholz/Habeck/Linder geführt, also damitd ei Politk weiter lüge kann in den Medien wedreich von Luet wie brak Obams Lebagrde „Scret Servcie“ MIT GEICHBSHCLSS DENICH GRNVORLGE telfonüercht. Man hat einKidnentühert, diemfilie ebdorht,merhfch versucht mich umzubringen. Doch was hat dsjezt mit unserem ASB Rettsugwgen Verfahren zu tun?Nun, cihwre wenn ich vor die ahstü gehe vn Stlkerndie extr heireh ziehen bedoht. Ich war nämlich gezwugen meinsgcichte in üer 31.000 DINA sten aufszschrebn umdei Vefehlugender Bhördn zudkuantrein da ich vonderpolizei udnJustzwie aei aussätger volgrefer nicht bedient werde. UNGLAUBLICH ABER TATSÄCHLICH WAHR! Karriregeile luet aus dmeberich BankenudnPoltike wllenmich zscgendaß wenn „diebombe paletz“ udnich das alles an die Öffentlichkeit bringe nicht einanlt den ichmir ausuche da sein Kopfmitindiekarea hältsodnn ein den sibestimemn damitde rpolscte auf dem Rücken miesn Matyrieusm Karreir eudn wahlkampf machen kann. Es gibt rgerlchte Kartelle die für sgrendaßmanmich nicht bedit,satltk und mobbt. Ich hab daß in den letzten Wochenwo ichienstphoenzur evfügung hate mal video-dokumentiert. Als ich egstreneta strafzegn beid rpolie abgebn wollt half mir stmals siet wochen ienärchn idnem es nebn mri stehn blieb als Zeugen asl ich bei derWahce wo manmichmisshldet hat einstfazge abagab. Ansostenkstemichdas immer einshcben. Vorgeicht lässt manmich nicht rein. Dieizge möglichkeit wre ner terodohug mit grosslarmauszulsöenudn usn vor demgebäde zu etffendaß dann evkuriet wird,also die wenieg ehrlcih Korrutiosnstfarvefolger und ich. Ode rben so eine aktion wie auf dem Weihnachtsmarkt. Die leuet die mch ebdohen komen bis an mienwhnusgtür,würgen mcih fst zu Tode. Fraesi dazu den vsrzenderichetram landegricht Kulik oder Osbtssnalt Dr. König anch dem afallwo ch mich gen die nchbarin „Zajac“ nwotehrenmuste, swit ch rchchiert habe eine Öko – Terroristin die sich her egemeiet ahtte umdenmatellesglslftAGkorzen zuerpsne vonmeienmvater udmcihd abi im Auge zu ahebn. Im (KEINZUFALL: Thai Corenr“) gegenüber meirnhastü sitten ebenfalls Erprsser die ich aus meirnzet inden Midenkenn,Hxkssel ende 1998.Man hat mienKidn entührt wie egsgat, mcihunter dgeegsttudn evrgeltgt, imKakrhaus verfgte nachdemich von Piszetn, sarkverifcht asugdcükt, ist ne weslich lägr gschichet „zsusmsgcalegn“ wurde dmait ich nichtaussge. Ich galuebes sidndie Täetr vonder Statsbcuh Vegrligungdie sogra Folter Expertenaufmcih nagstezetahben „kontakt-losesBoxen“ nennen die das, si wollen das wieß ich, erichendaß ich mir vor lafende rwebcam die pusdern ausfchdie udnes nch slbtmord aushen lasse. Ichsolldiese fotos dannins Interentstelle damit sie denamrkwert irhe eprssevilmchenwie „forrst Gump“ (urünglcshncitfassugng mit „philapdephia“, derpozssemit denmarisoldten dieimPzessverhört wrdennch demürgeiff in derr hafenbar beim (KENNDY DSHCKE) Statsbscuh) erhöhen können.MAnepst das Budnes-prsädialmat und zums beispiel den AVW aufschart, Misntäsidnet und Bundes-präsidneten Christian Wulf (wi heiß de rpff inden die matrondesshculshccfsie drägent, wieß ich nicht, derinetveiwe rnoteerte rolct-CLUB RATEMIc)“. „wagthe dog“ nd „primary“ colors habenden „Sttabscuh / Prsödet vegrltigunG“ vorfall ebenfallssieh auchdei „Mriv More“figur bei dnesipsonderman ja Kennedy Affären andichtete wsthabsie vom“secrt srvice“ emrodetworden wär mit Schlaftabeletten. Michietrssirte die frag ob die Opfersoclhervorfälel tötendie eprosshcüter aslOpfer natürlci brennend inde rfrage rudne mit schehristklrfäten iner shcülerztung. Udn wgen diese folterExzsse des states der was zuvetschen hat gibtesalso dannauch die Notfuidmeirnsltler bei den Rutsgdisten nchdme sie die folter Bider im Blog sahen. Die warne aber aus den Vorjahren.Eslag kienOtfal vor. Dnencoh wurd ich erneut idneispchiatrei vercht als suizidal. Udne chnug wil ic nicht zahlen, daumgeht in unserem prozess und em vefahrn 380 C 478/21 bidem amstgeicht Frankfurt a. M,. (Hächst) dessen Akte (wit über 1.500 Seiten nch zählung des Richters) ich beizuzhen bat. Da ghet esnälichgegen die Stalker. Udniegnder hilfden daß das vefahrnnicht rehcmäßg abläft? Marine,Budprädidlamt, KGB? Und aher veergret man mir die zgschret Bfaghistargas Bshcerdeilgeung zur Niedershrift. Udn an der hderamcn mcih, daher Strazegn/Abalhunagatrag. Man läßt mich nicht vor egricht vollstädig ausreden. Udn das ist kein fairer Prozess. | |
|
22.12.2024 12:00 |
|
|
|
|
![]() | |
| [0] |
20241222-1200-0-1.jpg |
![]() | |
| [1] |
20241222-1200-0-2.jpg |
| Nachtrag: so sah der Briefumschlag aus in den ich die doppelseitig SOE KLEINDA? MANN DIE LUPE NEHMEN MUSS asugdrcukte Strafanzeige SPH/ST 1458622/2024 Polizei Frankfurt a.M. (Online-Az.: 1220 2134 6081) https://www.tiktok.com/@maximilianbaehring/video/7450849066130361622 gestren gesteckt habe.
| |
|
22.12.2024 12:54 |
|
|
|
|
![]() | |
| [0] |
20241222-1254-0-1.jpg |
|
22.12.2024 14:30 |
|
|
|
|
![]() | |
| [0] |
20241222-1430-0-1.jpg |
| https://www.tiktok.com/@maximilianbaehring/video/7451225606127095062
| |
|
22.12.2024 19:00 |
|
|
|
|
![]() | |
| [0] |
20241222-1900-0-1.jpg |
![]() | |
| [1] |
20241222-1900-0-2.jpg |
![]() | |
| [2] |
20241222-1900-0-3.jpg |
| Heute stolperte ich beim tiktok Video - Upload über die "depeche mode" community wo dei Leut ja immer auch so ein wenig "gothic" angehaucht sind und da lief dann uetr dendrem "precious" was mich ans auspacken jenes Christbaumschmucks erinert hat der die Kriege, Flucht und die Heimatvertreibung üerbelbt hat in der Familie.
https://www.imdb.com/title/tt0110912/characters/nm0000686 | |
|
22.12.2024 19:01 |
|
|
|
|
![]() | |
| [0] |
20241222-1901-0-1.jpg |
![]() | |
| [1] |
20241222-1901-0-2.jpg |
| Weiß jemnd ob diese "Gesllschaft für Konsumforshcung" noch aktiv ist? Welche die TV Einschlatquoten ermittelt? Es stehen ja Wahlen an zumBtag , und ich glaueb die in den USA haben da ja den begiff der "Representatives" wo es galubeich von der Begrfflichkeit her genau darum geht eben "Repräsentativ" u sein, die numslste unter allender stchproben zu sein welche die Statistik finden kann, s gibt da ien foto was ich im Blog tewetet habe wo mal eine KI oder waos haben zasmmenrechnen lassen wie der Durschnittsamerikaner denn so aussähe optisch. So verstehe ich "depeche mode"s "Teilen einer Welt-sicht". Wennder Wähler seinem Abgeordneten mitgibt quasi, ich hoffe die bei ihnen auf ihrem Partei-Tag oder acuh "die Mächtigen" in Berlin "sehen das" nachher "genau so". Nicht irgendetwas üer die Köpfe der Wähler hinweg ent-scheiden sodenr genau im Sinne des Wählerauftrages. Das mag ich am Typus Repräsentativ unsrer Demokratie.
https://www.tiktok.com/@nigel_farage/video/7441654139165216032 | |
|
23.12.2024 06:56 |
|
|
|
|
![]() | |
| [0] |
20241223-0656-0-1.jpg |
|
23.12.2024 07:00 |
|
|
|
|
![]() | |
| [0] |
20241223-0700-0-1.jpg |
| "METAL"l-gesellschaft ag, "NOTHING ELSE MATTERS"! Dr.MarkBenecke "markier" strfatäter die mit falschen Presse ausweis Identitäten sugetsellt vond er betrüger-gewerk-scfatve.di als Kommunisten Kleinbürger um ihr mühsam Erspartes bringen indme er Tatoos eisnetzt. Es gehe nicht andres. Er selbst hat auch nen Doppelgänger. Erinnert sich jemand was ich Ende 1998 im Hexenkessel darüber sagte daß ich massive Bedenken habe daß es Scheeball-systeme wie diese "Life AG" schaffen die Wirtschaft zu unterwandern, daß man per "new Econony" Betrug die Vaumafia schwarz-gelder von D-Mark auf Euro umrubelt? Wei ich dei Spekulationsblase bei Alteigentum vorhersah? Ich warnte damals aller eindringlichst davor daß bei den wahn-sinngen Rendite/Kapitalverzinsungs-versprechen etwas nicht simmen kann. ich weiß ja nicht ob irgendwer außer mir mitbekommen hat daß google in Russland quasi verboten wurde indem man sie dort mit einer astronomschen Kartellstrafe belegt hat. Ich befüchte die EU und USA werden sich das zum Vorbild nehmen müssen.
https://de.wikipedia.org/wiki/Die_Verwandlung https://home.benecke.com/publications/markierte-poster | |
|
23.12.2024 07:01 |
|
|
|
|
![]() | |
| [0] |
20241223-0701-0-1.jpg |
![]() | |
| [1] |
20241223-0701-0-2.jpg |
| Von "Kafkas Ver_andlung" die laut Wikipedia schon 1912 geschrieben wurde demnach nichts KZ Tatoos zu tun hat zum Thema Inavklidiät duch Wehrpflicht udndem rcht aufd ei köerpliche Uveshethiet daß nur für "my body my choice" frauen gilt, Männer wudne zu meirnzet nach der Schule zur Whdfrlicht sklavenarbeit für den dsucen Staat verpflichtet mit hoher wahscheinlikckeit verstümmelt zu werden. udnmanhetzet gegen Zvldisntelsiten die ja "nur sexuell missbraucht oder ausgeüdert" wurden. Esist wie zu den Zten vonJsoeph Goebebslder ansgshcts derafst 100% Rauqutebeid en krieggräbern das thame Femizide igneirter und ein sozlisctehs Fraunbidlprogarert eienr wrkätegn faru die währnd dermann ander font käft inde rmunitiosfabrik die Waffn ehsrtelltam flißeband wärnd e Kidner inder Kita vom Satt idrktornert wrden zur vater-lands. statt Anghöregn/Familienliebe. Frauen mussten ands alsMäner keinerelei Konsequenzen befüchten für irhe Wahl-Entshcidungen, das war bei 1. Weltkrieg so der außerhalb dushcaldn sattfnd udn bei 9/11 wode rkrieg sche der mäner ware die in frmde Länderginge umden plsctehnwillend er faruenmti Waffgewalt duchzusetzen. Gaubt igrndewer dieKirsgvsrsherte aus dem 1.Eltkieg doer die Whrpflchtenhäte ien Hiltergeählt der sie isn fled shcikenwollte zu streben? Slesbtöderich? Sicherlich nicht! PArten die den Kirg wolen werdne vor allemvon Frauen gewäht die selsbt nicht idnenKirge müssen. WIldiese partein ihen shcibar rehct udn freiheietn evrchen, finan-
ziert durch teiwlese auch das ausplündern frmder Völker. MAn muss ienrbevölerusggrupenr lag genug rierdensie ee ei uterdücket meidhet udnsie wird rvolterenwusste Jseph Goebells shcon über Ziniomus Erfidner Hezl zu sagen. Udn er hat gesgt daß wenn der gschürte SPARATISMUS weiter gehe es abshebar ist daß es zu Vertreibungen kommt, der Ausläschung des Seratsiten - Stammes der eieart Bürhgekrieg hebreiführt der die nationale Einheit bedroht. Im Ostteil der Republik kursierte zudem das Porpganda-MärchenDsuchaldn habe den Kirge begonnen. Das ist wirklcih grober Unfug. Die allireten shcoben dem südenbpck Dsuchland/ösrrich/talien bequemerwise die kirgsshculdzu, usgläst haben die Krieg aber Terroiste vom Balkan, sere antiolaisten die wackelige Bündnispoltik der Mittelmächet udn Bismrks ausnutzend. die Aft hat also vollkoemn rcht wenns ie voniem NS Shculdkuöt spricht. | |
|
23.12.2024 08:00 |
|
|
|
|
![]() | |
| [0] |
20241223-0800-0-1.jpg |
![]() | |
| [1] |
20241223-0800-0-2.jpg |
![]() | |
| [2] |
20241223-0800-0-3.jpg |
![]() | |
| [3] |
20241223-0800-0-4.jpg |
![]() | |
| [4] |
20241223-0800-0-5.jpg |
![]() | |
| [5] |
20241223-0800-0-6.jpg |
![]() | |
| [6] |
20241223-0800-0-7.jpg |
![]() | |
| [7] |
20241223-0800-0-8.jpg |
![]() | |
| [8] |
20241223-0800-0-9.jpg |
| Von Bismrck, demwinde rkogerss und den 1848 Vormärz Revoluzzeren die denadel abschffetn udnd uch National-sttan mit Demokarten ertszten woebei man sich blutioge Straßnschlacjten lieferte ob man per Kommunismus den Prvatbesitz abschafft udn Kliebüreger enteignet umdie Minderleister zu priovilegerien doer per Marktwirtschaft leistung belohnt nun zum #Tatort Krimi "Fährmann" von gestren, Sonntag dem 22. Dezember 2024 wo es ja auch darum ging daß ein Utrenhembsrtare itabetern kündigte. Es begann auf einem Weihnachtsmarkt in der Schweiz wo die Komissarin einen Mann datete der eimen Tumor hatte aebr nch vile geld aussh. Ds ist ja ne Möglichkeit slesbt an vileGeldzu komen, eine lebensversicherung für Frauen die fprher teils selbst nicht errberechtigt waren. Man ehelicht ien SOldtgen der indenkrieg zuehen muß, hat ne rchthohe chce daß man ne Kirgerwirtwenrente bekommt den Rest siens Lebens. Ich dene da an junge damen wie "Anna Nicols Smith" die sich einn alternden Milliardär nagelte, die zwte EhefrauvonPrefssor hewkig oder Hemut Kohl die im Zustand der Pflegebedürftigkeit "versrgugsehen" nett anm ds glaube ich eingehen. Die Amepl Koalitionwolte ja WGswie #berliNueKölln02407/ #berliNTagUndhct per Gesetzesrefoem ehen gslchstellen. Alters-WGs wo man aufeidner acht gibt freundschaftlich. Die evrchungen des Fminimsu führne nälich dazu daß imre mehr pfegebedüftge zwar leiblich Väter sind aber ihre Kinder dankternnug/shcdng egstcehr femniitischer
mütter rnie zu egichtbekommen haben, dein Nachwuchs den deunicht ahst ausfchsen seh dank Trenung und/deor Eheshcidung pfgendann den neuen Stecher von /Nutti er niemdnkümemrt sich umdiechd er Strejklasse 1 zahlt um demneuenstcher das uch noch zu fiazeren, nebest dem Bau-Kindergeld. Ein Patrraichat geibet s nicht,wohl aber ein lügendes per Wehrpflicht mordendes Matriarchat. Stersbkranke mäner mit vile geld stehen hoch im Kurs. Wäre es mienr ex gelaugen michumzbrgen häte sichmeinKdu üer ien Immens ohes Summe aus der lebsverucherung fereun können daß si ein irhe gelt hatte. Zdmhäte es vercht die Filrcht an ForstGum etc. zu erben sat die den karitativen Sfitungen zu belassen denen ich demfühen Tdo mienses Schülerztuskollegn MAroc sttrer wgen eveteuleeinahemnüerließ auch weilcihdasml z der ezt asl "das leb ist ien absutele" egdrht wrde udn "phidaplha" im Kion lief mit den Leuten von der AIDS - Hilfe(?) zu tunhatte in shcüleztung udn Jugedparlament. Es gab mal "Jn van Nelsen" "Kinski/Villon Erdbeermund"! Dieser "TINA WAS KOSTEN DIE KONDOME" Werbespot! Das könt man sl "zetsetmpe" heranziehen. Genau wie den "die schönsten Bahstercken der Welt" Schüleraus-tausch mit St.Petrsburg, damasl noch Leningrad woe a "vlidmir Purin" Bürgemrister wurde vor sienr whal zum Präsidet, er war ja in Dresden als KGB-Offizer stationiert. DAs sind so finheitsn diesolltean wissen wenn manetwa ienGraf nch Moksu schikct als dsuchne Bostcfter nachc der aulschung der Romanovs wärdende roktoberloution. Die (Eifel65/MH17) Flugzeugabsturz - feuerspektakel(?) band rammstein mit de, Kammersänger Lindemann nach Moskau. Es ging bei rcherche de rshcülerztung um die Krebsrate in der Region um Tschernobyl. Wils owas wie KimJong Uns "kseungFun Fair" asu "die glücklichsten mschen der welt" in der DDR progada nie auftauchte. Das sind sokleigekiten diesollte man asu dem DVD Bonusmaterial wissen wenn man #trainspotting sieht, #wagTheDog oder die #simpons (absed on a true story). zu kriegszten sidndie shculhöfe volle von jugen mässnr die bald ifelde sterben werden. da komtm zu den tödlchen krnheiten wie im #tatort egstren de rtpd uch das absichtliche tödlcihes verletzt wrden duch feind hinzu. im eroebrugs-krieg geh t es ja im wesentelichen darum jemdn zu ermoden um dann das grudnstück oder haus zu besetzen daß vorher ihm heghört hatduch RAUBMORD. Thilo Sarrazin hat zum Thema der Kosovaren-Eroberungs Tshcnik des Kosovo gesgat daß gebärfruedige Migranten auch dieieheischen von ihrenm Landerdägen,ich hab imBlogmalne karte echt die das inzahlen veranschaulicht. Volksmusik-Schlagerstar BErlsuconi und Gadhafi haben ja gelacht udn gesagt wie wrüdne jezt jede menge Lmedusa Migarten EU-Arbeistvias austelen als die Schnegne EU gegründet wurde ub derbashciht westeruaopa inc chaos zu stürzen bis Grußbritanniens Rgerung Brois Johnson die üerfällige BREexit - Reissleine zog. Dann häte man Zet gahbt inaler ruhema drüebr chzudenkenwi es weiter-gehen soll dank Corona. Velroene Jahre wechdie GroKo der BRD aufs fahrlässgste verstreichen ließ ungenutzt. Donald Trump hat was das angeht udn diewhlmiatioen vollkoemn Rechtda shb ich iemrgsatudns wurde auch in den #simpsons notiert. Auch wasdie Lügeprssen angeht. USer rpoble ist daß Monika "Me2" Lweiksy udn Stor_y Daniels TV- Sendezeit bekomen, abeer nobelpreisträger wie Al Gore (Clintons vizepräsdient) sattdessen nicht. DAs srehnvon Gobbesl hat mer wrhitevrtet asl das per GEZ zags satt zugangsbühren fizerte Fshene von heute. evrchörusgtheoretiker von Intrenet - Plattfomen wie "pi - news" sind näher an der Wahrheit als die systempresse. Wird sind einem Welt-Krieg wider sonahe wie vor 1989. Wielman fmistsche Armstzuwanderinnen zugehört hat. Ein Weihnachstamarkt obelch idn fRankfrt a.M. etwa die chrusliche Bevökerung zur Minderheit geworden ist wie auch imbachbarten Offenbach. Ich bae eidlglcih gewarnt. Am Zoo habeich am Abend des 19. Dzeber 2024 ien shcibar geistg verirten asiaten egtffeefder mich anpöbete cisole nru mal baraten bis sie,die amrusdererher endülgt dei emacht üernehmen hier im Stadteil am Kiosk am Zoo. Der zu 25-30 järhe sagte etwas von e ist "alles ist voller ausländischer Spione". Ich warne vor Sabotageakten seit Jahrn udn zege diese auch an, diepoliez tut aber nichts. Die justz prügeltmch socr mit mienberisfots inder hand qusi aus dem Gershctgebäde wen ich es dort probiere. Es ist doch nicht so dß hei rpolzeiazts gerbabt haen un es straßen-schaten gabe wil alle sso prima inordnug ist. Es wird mit ieneger Wahrlichlichkeit eine Krieg geben. Und fürienKige braucht man soldSten-nachwuchs. Udn sol lage de rnicht aus derterote komt we in "brave new world" von "huxley" brauchen die "lesbierinnen-WG"s wieise in #berliNueKölln02407/#erliTaguchat gehyped werden dafür noch ufwellge smspsnder als "erzeuger". Die mschen die bald sterben udndern weihcnstmörte aufhören wrdnezu existeren wiel die zuwandrer den staat üernahmen die kienchstenmehr sind und eure kirch-türme zu miaretten islsichermoschen amchen wrden wie beim Felsendom in Konstintiople/Istanbul in der Türkei vonwo sie dn papst cnh St.petrgsurg verjagt haben. So begann der #tatort nur wenige stundne nach den Vorfäööenvon #Magdeburg. Jahrhundertelange tradition aud gshccihet de rAufklädug udn deshumasnmus geofert von ien paar dchgenalleten rumhurenden schlaMpen die kommustceh/armitsmigsrcter Propagandalüge galuben. Sttd eihischstämmigenmitshcülerndieunbequem whriten aussprechen. Ichab m,al vonhochragigenMiltärs gehört daß die "paarung" der SoldtevomIltr gefödert würde wei sie ben daran dneken msüsen daß sie in ca. 20 Jahren rwheflchteg haben müssen für den kriegseinsatz. Da musstc ichdarnndneken als die Attort kOmissrin auf dem Weihnachtsamrkt eien zum Strben verteilten traf um mit ihm ne schnelle Lieblsoe Trebbefridegunsg Nummer zu schieben bei der es sicher nichtdarum ging ihn asl veteulenErzuegr vonKdern andernezrihung zu beteilge im Zweifelsfall sodnr primär nch desn fühemTdodank Kind das dem geplegten Auftreren im terue "zwinr" nach zu urteilen reiche Erbe einzustecken. Chmust da andie stdenten dneken die Obdachlsoe austptzen um z shen ob diese wennsie adrettegekleidet wären ssre behdelt wrdenals wennsie in verdrecktenKlaottenherulaufen. Dann gsch dr fürden Tprt Kimi notwendige Mord. Der mann wurde tot am Ufer gefunden mit einem Charons-Pfennig auf den Lippen de rzget daß es umdie bezalhung einer trauR-feier ging. Ich muste da anmeinGroßvater denken denichnie erlebt habe wil er vor meiner Geburt starb ganz kurz vor Weihnchtenweshab dasfürmeienvater auch immer beduet darsn erinert wzu werden wie er den seinen verloren hat. Das Weihnachtsfest. Der vater stirbt, dann erlöst das geborene (Christ-) kind von der Schuld. Da htaman es ganz dirket, sobla die erberichgung da ist pernchsuch kann man den Erbalsser umbringen seitens derMuter des Erben. Bei den #simpsons weist man in der Weihnachtsgschcihte ach auf kindmörder Herodes hin. "YesUs"s agt ja stes daß er der Thornebe/Staattchef ist. Wir aber von Besatzungsmächten/Bveölkerung ignoriert. Bis man ihn hichtenwill wegn konetroktobetrevoltionärer widerbetätgung wie es eta in Österreich heißen würde. Er ist gekomen aus knechtschaft der bestazunsgmacht (Römer, siehe zuvor Pyramidnbau Ägypter) zu befreien. Wie wir duchdie widerveigung den alliierten Besatzungs-satsus loswurden udnei EU grgüdet haben ab 1989/90. Reparatioszhalung NS-Schuldkut arbeit fürs alimetiern fremder Volkszugehöriger würde dazu die AfD sagen. Putins "hybride kriegführung" übe die "Migrationswaffe". Siehe dazu Berlsuconi/Gdahafis Lampedusa-Arbeitsvisa. Es geht um Krieg in dem das volk sei territorium, seine Geründtsücke dnImmobilen, Aktiepakete zurückerobert. Die Luet dei amlebkuchhaus kanbbrnvnuser substanz herzteleben ohenzu usn zu gehören per Erblinie/Familie. "SüßeRüme are made of this", der "zuckerbäcker-stil" in der Architektur der Gründerzeit, das "knusper, knusper käschen, wer knuspert an meinem Häuschen" in Stein gemeisselt. Wnn die Armustdender den Inlädenr die josb streg mchenwovonsollende Inläder den Erhalt ihrer erberten Immoibilen bezaheln?Die nimt dsamt ihewge udngibt sie der frdtsöämigenfmile - das ist ne Invasaion! Wer ambillsgten meistausgebeuetn arbeitet der gewinnt bis ienr kommt der berist ist fürnchwneger zu arbeietn. Dank Subvetione aus dem Ausland bekommt Elon Musk von Tesla wo Daimler/Merceds-Benz wegen mangelnder Rentabilität ausstieg jezt die marktateile jener zwo VW Werke diekurz vor heilgabdn schließen müssen. Weil etwa diie chines die battriechnik inchian vubvionerne wie Donald Trump zu Recht imZlsltreit/wstcftskireg feststellt. Siehe hierzu auch das Thema Airbus gegen Boeing. Wie kome ich jezt daraf? nun, der Mann der tot am Ufer lag, dann wiederauferstand war Personal-Unterehs-berater. Der Tdkarbke, mit demdiekossarin das techtel-mechtel amwohcnsamrkt hatte soweit ich davon mitbekam. Das Geld was er auf der zunge trug hrt deermtter zuienr gazen Serie von morden woimer der chrspfenng ienrolls spielte. Es tellt sichhrus daß es Übunsgfalälle der kriminalpolizei waren. Un daß die Emitlerin ihrne esrten fll dcuhdc gelöst hate daß sie einen Unschuldigen verhafte hatte mit gaz großem Medien-Rummel wo ihr alle, auchvorsgtzte, auf die schulter klopften satt genauer hinzsehen. Esteelt sich heraus daß der WIDERUAFSTANDENE tote ein Ausbilder war. Der gekommen war um ihr Klarzumachen daß sie falsch glegen hatte all die Jahre iherAKrier was dann dazu führet daß sie otal susrten udnzu nkenbagnn bevor sie sichdaran mcht herauzufndenwas wirlich geschehen war. Dabie bediente man sich ESCHATOLOGISCHER Symbolik (Eschatologie das sind Geschichten "vom Ende der Welt") vom Kühlergrill des ALPHAromeo automobils bis hin zur OMEGA uhr eins (pulp-fiction) "unfall"-opfers. stillstand (der beaknnlcih der tod ist) der rotations-drucker-presse. ein schön(wett)er-tag mit freundscaftlcihem diebels-bier. erinnert sich noch jamdnan die syre dei mit dem kamera handy ihre boat-people-flucht per albanien(?) filmten? Es wurdn quasi "Hinweise"duch den sretäter verstecket. Dieser "erlöste" wirtschafliche Ballast-existenzen wie das zur Zeit des Natinalszsialismus-Ezhansie heiß. Idme er si mit K.O.Dorps - Drinks vergiftete,anspsiledn auf den Alkohlosimsu mit dem Abrslose ofihre Verzflug bkäfen was z irhe evrfühten alkolismsubdigtenablben führt. IMprinzi sogrn die alkholdealer indenknipen udn spätren stdiuen in denKiosken/Wssrehschend afür daß sozial-verträglcih fühgabgelebt wird uter den Arbeistlsoen. Das ist eon form von vedckter/schleichedr Euthanasie. Wenn man Erwerbslose mit inem ihrem bdisguslsoe grundein-komen schi selbst üerlssät, Beschäftigungs-therapie satta sozialer Verisamung sit ja auch ein Ziel der hAtIV/Alg2 Reformen gewesen. Die Verelendung von Menschen die sozial isoliert werden (vor allem ohen swoa wie Fernsehuetrahtung doer ein Internet). Ich hab vr oen paar tagne etwas velinkt zum Tham Schdusrate udn Immoblinemarkt der davon profitiert wenn die taditionellen Paar-Beziehungen scheitern. Schdiusngopfer als "Incel" zu sbchipfenistne ferchheit! https://www.tvinfo.de/fernsehprogramm/2021306432-tatort | |
|
23.12.2024 12:30 |
|
|
|
|
![]() | |
| [0] |
20241223-1230-0-1.jpg |
| https://www.tiktok.com/@maximilianbaehring/video/7451566320597929238
| |
|
23.12.2024 13:30 |
|
|
|
|
![]() | |
| [0] |
20241223-1330-0-1.jpg |
![]() | |
| [1] |
20241223-1330-0-2.jpg |
| A propos dem "vom Himmel hoch da komm ich her" Bach Weihnachtsoratorium "making of". Ich hab gestern nicht nur Leute gesehen die in Menschenmengen was dei Fuß-gänger nebn der straße aneght in den Weihnachtsamrkt einbogen von der Richtung her, ich glaubdas war sogar in Magdeburg und ich wollte das mal als Story haben für Übungen zum Thema kreatives "semiotische Dreieck" Schreiben vor vilen Jahren inder Schülerzeitung, wie man eine Kurz-Meldung maximal pansich missverstehen kann. Udn dann warne da noch die Plane-spotter in Heathrow. Die mich an unser "trainspotting" Pressemeting erinnert haben daml in der JACOBistraße 37, 61348 Bad Homburg. VON METZ dER Freundeskreis, meinem Klassekameraden der jetzt bei 3sat / ZDF inMainz ein Literaturprofessor ist. Die Schande über Frankfurt daß wir unser bahnofs-viertel nicht "clean" bekommen mti den ganze Sucht-kranken. Da das nicht nur inder deutchen Bild Zetung stand sodner auch zur Fußball - EM in de rbishcen Bolvardzeitung SUN. Das war ja Thema damals, warum sich viele nicht trauen mit den "Öffis" zu fahren, die Rechrche mit den Dealern. Da musste ich an die Klassenfahrt nach London denken. Und an Dubai Schokolade. Und an den Marhinaua-Kakao. Und an die Space-Cakes die jetzt ja erlaubt sein dürften, ch dergstzerform dern Befürworter ich immer war um die Komsumenten zu entkriminalisieren. Ich habe mal nach-gesehen, es gibt doch tatsächlich Tafeln Schokolade mit Marihuana zu kaufen, ähnlich wo etwa eie "Edle Tropfen"
schnapps-pralinen! Obmanmit bloßem auge den unter-schied zwischen Dubai-Schokolade und einem "zacken" Marihuna denn erkennt als Laie? Wenchmir üerlge was füher für Verremkugen gemacht wurden sowas in Nivea-Dosen waren es glaube ich zu schmuggelln. Ich weiß jetzt aber auch schon woder gar nicht wie ich da drauf komme bei dem Thema landen in lOndOn und planespotting. A propos? Was läuft denn heuet abend sp im Fernsehn? | |
|
23.12.2024 13:31 |
|
|
|
|
![]() | |
| [0] |
20241223-1331-0-1.jpg |
![]() | |
| [1] |
20241223-1331-0-2.jpg |
| Ich glaub "TimVon" der für meine firma programmiert hat war das ,oder "Kai O." der mir das mal erklärt hat wie das für die Angehörigen der Lufwaffe "konnotiert" ist.
Lost in trasnaltion: Philadpephia "... vom Himmel herabgestiegen um die Erde zum (Reich der Toten =) Paradies zu machen ..." | |
|
24.12.2024 00:00 |
|
|
|
|
![]() | |
| [0] |
20241224-0000-0-1.jpg |
![]() | |
| [1] |
20241224-0000-0-2.jpg |
![]() | |
| [2] |
20241224-0000-0-3.jpg |
| https://www.tiktok.com/@maximilianbaehring/video/7451746749762276631
http://banktunnel.eu/xmax.mp4 https://zentral-bank.eu/xmax.mp4 | |
|
24.12.2024 10:30 |
|
|
|
|
![]() | |
| [0] |
20241224-1030-0-1.jpg |
![]() | |
| [1] |
20241224-1030-0-2.jpg |
![]() | |
| [2] |
20241224-1030-0-3.jpg |
![]() | |
| [3] |
20241224-1030-0-4.jpg |
![]() | |
| [4] |
20241224-1030-0-5.jpg |
![]() | |
| [5] |
20241224-1030-0-6.jpg |
| Beihilfe/Begünstigung RAF–TERROR per Postunterschlagung Kursmanipulationen/erpresserischer Menschenraub/Straf-vereitelung, Gefangenenbefreiung, Zeugen-Medizinvergiftung/Vergewaltigung
Maximilian Baehring Hoelderlinstrasse 4 D-60316 Frankfurt/M per Fax: +49/(0)611/32761-8326 Landgericht Gerichtsstraße 2 D-60313 Frankfurt a.M. Im Internet findet sich unter der URL http://banktunnel.eu/pdf.php und URL http://blog.sch-einesystem.de/ mein ausgedruckt ÜBER 31.000 DIN-A4 Seiten umfassendes Internet Tagebuch / Blog, als Offline Version downloadbar unter http://*** /***/ als ISO-Image (brennbar auf DVD) mit tagesaktuellen ZIP-Archiv Ergänzungen Neu: https://www.tiktok.com/@maximilianbaehring/ Frankfurt a. M., den 24. Dezember 2024 Einschreiben RR577578244DE vom 22. Dezember 2024, Fax 11:41 Uhr an +49/(0)611/32761-8402 Amtsgericht (im Hause Staatsanwaltscfat) Frankfurt/M., Hahnstr. 25, 60528 Frankfurt/M. Beschwerdeeinreichung gegen abgelehnte Befangenheitsanträge Richter 'Hommel' und 'Gottmann' unmöglich gemacht durch Nichtzusendung von Prozesskostenhilfsantragsformularen und Nicht-vorgelassenwerden im als zuständig für die Niederschrift der mündlichen Beschwerdestelle im Beschluss/Schreiben vom 05, asugetsellt am 10. „förmilch“ zugstellt 12. Dezember 2024 explizit genannten (Gebäude „B“ vom) Landgericht, Gerichtsstraße 2, 60313 Frankfurt a.M. Aktenzeichen 28098 C 360/24 des Amtsgerichts Frankfurt a. M. Klageschrift erhalten per Zustellung am 18. Oktober 2024 Begleitschreiben datiert auf 04. September 2024, „Erweiterung der Klagschrift“ erhalten per förmlicher Zustellung 14. Dezember 2024 darin Klagerweiterungsschreiben vom 19. November 2024 nebst Anlage/Begleitschreiben vom 10. Dezember 2024 daß, obwohl es am selben Tag zur Post gegeben wurde wie ein andres förmliche Zustellung Schreiben vom selben Tage, erst zwo tage später eintraf. Einschreiben RR665222780DE vom 19. Dezember 2024, Fax 15:58 Uhr an +49/(0)611/32761-8116 Einschreiben RR577577955DE vom 19. Dezember 2024, Fax 18:18 Uhr an +49/(0)611/32761-8431 an Poststelle (Gebäude E) Landgericht Frankfurt a.M., Hammelsgasse 1, 60313 Frankfurt/M. Ihr Schreiben vom 17. Dezember 2024, am 19. Dezember 2024 13:47 Uhr erhalten (per Brief-post frankiert am 18.) 2 Blatt, 3 Seiten, erstes Blatt (Begleitschreiben) vorderseitig bedruckt, zwotes Blatt „Beschluss“ (vom 16. ausgefertigt 17. Dezember 2024) beidseitig Einschreiben RR665222475DE vom 18. Dezember 2024, Fax 10:58 Uhr an +49/(0)611/32761-8402, Amtsgericht (im Hause Staatsanwaltscfat) Frankfurt/M., Hahnstr. 25, 60528 Frankfurt/M. Fax um 20:33 Uhr an +49/(0)611/32761-8402 nebst Einschreiben RR577577195DE je vom 14. zur post gegeben am 15. Dezember 2024, an Amtsgericht , Gerichstraße 2, 60313 Frankfurt a. M. an selbe Anschff/nummer auch Einschreiben RR577577204DE 15. Dezember 2024, Fax 15:58 Uhr Fax um 13:59 Uhr an +49/(0)611/32761-8325 Einschreiben RR665221594DE 13. Dezember 2024, an Landgericht, Gerichtsstraße 2, 60313 Frankfurt a. M. sowie mein Einschreiben an das „„Amtsgericht im Hause“ Staatsanwaltschaft, Hahnstraße 25, D-60528 Frankfurt a.M. 12. Dezember 2024, Fax um 18:27 Uhr an +49/(0)611/32761-8402, Einschreiben RR577576932DE Beschluss vom 04., ausgestellt am 08. November zu Fristverlägerung bis 06. Dezember 2024 nebst Begleitschreiben datiert auf 04. November förmlich zugestellt 12. November 2024 Beschluss vom 05., ausgestellt am 10. Dezember 2024 zu Ablehnung Befnagenheitsantrag und nebst Begleitschreiben 10. Dezember 2024, förmlich zugestellt 12. Dezember 2024 mein Einschreiben RR577575870DE 03. Dezember 2024, 10:40 Uhr Fax an +49/(0)611/32761-8402 mein Einschreiben RR577573556DE 14. November 2024, 13:11 Uhr Fax an +49/(0)611/32761-8402 STRAFANZEIGE WEGEN AMTSANMASSUNG/AMSTMISSBRUCH, STRAFVEREITELUNG (IM AMT), BEIHILFE UND BEGÜNSTIGUNG VON SPRRNGSTOFFNSHCLÄGEN, MORD, KIDNAPPING SOWIE VERGELATIGUNG ([1] 30. Oktober 2024 Einschreiben RR577571674DE an Gerichtsstaße 2, 60313 Frankfurt a.M. Oktober 2024 ca. 12:12 Uhr Fax, 3 (in Worten: ddrei) Seiten an +49/(0)69/1367-6301 24. Oktober 2024 ca. 14:51 Uhr Fax, 10 (in Worten: zehn) Seiten an +49/(0)69/1367-6301 Sehr geehrte Damen und Herren Richter! Ich halte sie weiter über meine Bemühungen auf dem Laufenden form- und frist-gerecht Beschwerde gegen verfrüht druch Richter Gottmann abgelhenten Befangen-heitsantrag einureichen, trott gerichlichen „Weihnachtsfrieden“s auch heute. Ich der ja voDr.Dommer vomStdtgsudhistamt als „latent suizidal“ dignsotierte ist und am 24. Dezebmer 2014 etwa Suizidversuche unternahm gestrenden Veruch mir einen TV-Film anzushen umsbchlaten zu köenenn. DenSuizvderuch hate ich verübte nachdem man mir deneben erwähnten inu serm Kulturkeries fürher üblcih gewesen sienden chrislichen weihnachts-frieden brechend nach jahrelnager Untätigekeit in dem Sorgrechtsverfahren mit dem ich meien Tochter die manmir uter dorgen-ver-gifutung und friheistebruabung anvergewaltigt hatte nhcemich wegen der „Staats-besuch Vergewaltigung“ ausgesagt hatte udmcih im Zivildisnt sexuell missbraucht hatte umsich sitens der Armee anmir zu rächen worüber ich ebenfalls eine Aussage machte. (bim sogantten „Sattsbesuch Verge-waltugung“ Vorfal geht es darum daß ich als Kind beim Staatsbesuch des Bundes-präsidenten in Bangkok Zeuge wurde wie meine Murter von Marinsoldaten des mit ange-reisten Schulschiffs „Deutschland“ das wir Kinder der deutschsprachigen Schule im Hafen für die Presse winkend begrüßen sollten zumindest sexuell belästigt wurde, uns dann in ein Rotlicht-Etabalissement drängten, es im Anschluß abtrbunsgdiagnsotikbeimeir Muttergabe und meinvater von vergealtigug sprach. Indiser Topless bars sah ich als keliens Kind der gduschule eine unbekleidet Asiatin Gitarre spielen. Für denspäteren Prozess hatm an angefangend den Vorfall als „Forrest Gump“ porzesbegdlietnd für die Medien zu verfilmen und es gibt dazu die Szen mit den marinsoldten und der Nachtclub-Sängerin die an die Trskakttraktion „naked Cowboy“ vom „Times Squere“ in New York erinnert, miens wissen nch hat ein Cagio-jet-flugkitäen aus usere Nachbarschaft dafür gesrogt daß das auch dort publik wird wie ich usner soldtaen danneben benommen haben. Es gibt in „Tom Hanks“ Filmen zahlreiche Anspielungen. Mn hate mr ummichzmshcigen zu bringen einKidnindie Erbline evrgeltigt und dieses dann entführt, die Mutter komt aus dem Umfeld einer pseidomedizinischen „Heilen duch Handauflegen“ Sekte ud war imBDSM/Sado_amso Milieu aktiv wie ich anahnd von Einladugen zu „siger parteis“ durch ihren Ex-Freund festsstellte der auf ganz mysteriöse Art und Weise ums Leben kam, iem Koleg aus der EDV Branche von dem sich nach dessen Tod herausstellte daß er die Intrent-Server eisn Kinde aus dem Marketingbereich dazu missbraucht hatte BDSM-Party Websiets hoczuziehen. Ichsh ds alos amssive gefahr fürmeinKidn an indie prostitution abszsrctshcn udnwollet sichrten, isnbsoder da manmir auch sigalsirt hate man wolle das kidn in die Prosutution treiben, ich Mitteilungen erhielt manplane mein Ermordung vonmir in und meine eltren ummiittls des in meien „Erblinie“ hineivergeltigten Kindes an ds Vermögenmienr fmilie heranzukommen per pfichtteil nach DNA-vatrsfctstest. Gestern abend habe ich nun, „latent suizidal“ auch wegen peramnent immer wieder von meine füheren Schulkameraden aus der Sccülerzeitung/Komillitonen aus der Uni die beim Fernsehen arbeiten wie Christian Metz von 3sat etwa gebetsmühelanrtig wiederholten Vorüfe uter imerneun Aliasen/sudonmyn „Stor_y Daniels/Trump,Monika Lweisky/Clinton, Chstain Ullf, club Artemis, Oskar Lafontaine/Hugo Lacour, ...) Ich wollte gestern also ein wenig „abschalten“ wie manin siem zusmhgang ironsich passend so shcön sagt und sah mir daher TV-Sendungen an udnazr aufd emSender VOX dendamsl die russn versucht hatten dem Bankensicherheitsverband für eine Aus-strahlung von „Onled Dagboert grüst seine Neffen“ „Seit XXX Tage Gefangener der RAF“ Kommunikaion/der Metallgesllscft für das Homeschooling von Kindern die etwa inBergwerks-Dshcugcmsp leben mit ihren Gelolgen/bilogen-Eltren anzudrehen. Es sollet ci Telhsopping fü „hes natur“ Textil Pdukte per „titkok“ artigem Samot-phoenebstllsystem geben in zsmmarbeit mit der „Neckermann“ Vrdshauskatalog-EDV. Die kinder derfmilie „Hess“ arbeiteten ebrfls für Schülerzeutungen bei uns, siewurdenerpsstindemman ihen uetsellet Hafpltagen für Drogenanbau zu nuten satt fr die gwennung von Fasternfür ihre ethsch wertvollen textilien sweot ich mich entsinne. Und damals kamen dioch die Russn zu Besch wo es um das „schallmauer- Durchbruch“ Foto fürdie „FAZ kluger Kopf“ Fotoersrie ging was dann im Kinofilm „Goobye Lenien“ der nach Vorlage des „Jurek becker“ romans „jakob der lügner“ entstand vermerkt ist als „sigmund jähn“ Besuch. Kzum: ich habe gestren ver- such ferzushen am mich dann ebrost daran zu mchen ein Tiktok vido zu drehen. https://www.tiktok.com/@maximilianbaehring/video/7451746749762276631 falls dort zensiert wird http://banktunnel.eu/xmax.mp4 / https://zentral-bank.eu/xmax.mp4 Erneut ging es da um ichts anders als „Staatsbesuch Vergewaltigung“ in dem Film https://www.tvinfo.de/fernsehprogramm/2032224627-tatsaechlich-liebe . Sogar das Times-Squre/Hafenrotlichtvertel Bangkok Cow(boy)-girl mit der Gitarre war dabei. Als „Anspileung auf“. Es war für ienOpfer wie mich wirklich uneträglich. Wiichihnberist gesgt habe organisierten frühere Kollgen meiner Mutter diebeim „budsvradder shc- und shclißsgslslcftn“, Arbetgeberverband der bankensicherheit wie Galdtsraprtvefaren abeitet für die Fmile zusmemnmit dem TV Zeugenshcutz. Man iwll mien klien (hlab_)brder eieglichdvor shcützen daß er erfährt was dmsl gelaufen ist, ebso evruchtemien mich evrglgte habende Ex „Uta Riek“ die mit meinen polistchen Feinden udnschftcliheKokurrrten kooperiert zu behalten man müsse auch ds kidn das man mir anvergewaltigt habe quasi davor shcützen daß es die Warhsite herausfidet wie es zustandekam. Dher evruchtiseja cuh wchenmir und ihm den Kontakt zu verhindern umdaskidn als Mitel der Eprssungwieteriniher hand zu haben. Deriwl evruchen duchgekannte shcuspilerinne wie mien füherenchbarin Vera Zanner (geb Berger) mit ihen Hyllowood kotakten (es gibtfotos wie sie für die Vefilmung meinr Leidensgschcihten „Bambi“ Fernsehe-Preise etngegen-nehmen fragen siemal denebfals betroffnen Patanring-BAd Homburg-Ober-Elebach Nachbarn und heutigen Rheinald-Pfälzer Polizisten „hans shcistianWildnt“ de rzuletzt daß ichKota tu ihm hate aufder andern rihsite, in „suarthal im Rheingau“ wohnte im Ferienhaus seiner Eltern (der Lufhansa-Cargo Pilot). Ich hab ihne uch brcts mitgetuilt daß ich üer meiPrsstätgekiet und de rtverens kotakte meiner itgartven-kita in de rich mal „hesrten sgepilet“ habe ktakt zum britischn Hochdel hatte der im Bad homburger Kurpark mit usrnOlpiniken Pol-trunere ritt. Ich habe ihne üer die evtrikcugenmeisn falls in denmetllegsllsft AG Öloptioen Fall berichtet,Spioage ibeich der miltärluftsfart/des Flugezugbaus und die Alteigentum-Ost Debatte um den „Peanuts - die Bank zahlt alles“ Skdla unde damit in Zusmhgan stehende ermordung Herrahsen und der üfall aufdenJwer in abd Hombur scibar zur fuchtfiazerung. Udnich atte erzähltdaß er brishce Hochadel den Fall „Sattsbsuchvergeltung“unedigtslbts üernamenwollte um sich für ein Amt in der dals gepalten Altegumrückgabbhörder derEuropäsch Zentralbank zu erprssen. Es ist also alles anders als Zufall daß der film debnich gsterns h mit der sttabsuch Vergeltig auf das thema die ehe shcützt vor vergeltigung anspielt mit welchem man Werbung nachen wollte etas „verrazensit drnafnag vonallem“ der „olle chhsuen shculdet usn noc 10.0000 DM,die Sau“ bank von herrhausen der mit zu denjenige ghörte die sch damals für höhre ämter imstatdist bwerbenwollten wie icajcuhdei doku der ard/DsErste die am 01. dn 03.Oktober 2024 zur primtime ausgstraht wurde geziet hat. Da wird uch derzusmannhag zur reitclique offnbar. Ichwieß sgar explizt vonderjugslschne anältn id inserm FallAz. 28098 C 360/24 des Amtsgerichts Frankfurt /M. Die foltrenden ASB Arbietr Samsrterbudn Mdizienr udnplsien evrteitt wegen einem nagelcihen Suzdevrch imLetzet Jarh 2023 den es gar nicht gegeben hat daßde Drhabreietndiesfilsmgplant waren udndaß die Justiz-ansgtellte(? Brooks oder deren Verwandschaft mit de rich zur Humboldshcul ging in die ertsllug scohedrhbücherbeflls involviertist. Manhat ie regclchte industrie ais dembdien sgtamft die darnevrdient von meienmLd und dem miener familie heruterzuleben. Ichhab dfür zahrche Zgen vom prsstrefefn ende1998 im bad homburger Kexenkessel,de rkinep ienrkomilltoninudnKurzzeit Lisasion von mir. Die plätzlich shcnger wurde und dann bedroht. Wobei ich herusfnd daßsie bis zum HalsimSupf diser „AHLKPAFS-Filchen“ finzrung festsitzt,ihen uter dem namen „PARTEI-SPENDEN-AFFÄRE des Wolfgang Shcäble“ und „AfD“, „Putin Fak news Trolle“ bekannt. Ich hab ihne auch gesagt daßes ganu diese lute dien die mit ihren Personnscützen degrichvsrafhrn blockieren. Als ich Ursula vonder lyen die huteg eu Komssiosnrsditen unter Asunutzug mienrpssbefgnsse zur erde stelen wollte shclußendlich slebt imHlkmapf am 15.August ich galube 017 in Frankfurt a.M. wurd eich evrhfte und zuefst gedmütgt vonepolistendie michs „hcnzusgshclagen“ hatten. Usrsula vndrleyen war ja vertegudngsmsiterin uddaher zusädig fürdas Thema veregligung ind rbudwesher, genu wie sie im Familie. Ich hab aug sgat daß es um Altgetum imOsblcok gng und jdüsches altgetum daaß vondensoziscthen Dikature 1933-1989 enteigent wurde. Udndei Grüderfmailie dermetllsgellsft AG wo mein Vater ergabu-Managar war, die Marton's (wie das Frankfurter Merton-Viertel). Und daßes damsl hieß dieisennch Cnada sugwendert weshlabes da einen eigenen Intrent IXP/Pop (Onyx) gab mit kostenlosem Traffic für die altegtsm Rechrche den die Famlile asl Etschädigungüfr das metllgselslcft Öl debakel bezahlt bekam. Un egstrne erfahr ich zufällig daß neb der inMitelschf gege rgeirungshclz die nch mehr afforungshciben vn mir an unter anderm Vertgdigsmister Boris Pistorius der auf ienkdindur bei dernäcshte whalvrzchten muß sich meinrwegwen zurückzog. ICH HABE DIE REGIRUNG des cumex und Sondervermöge Kzelrs OLAF SHCOLZ (ENDLIcH) GESTÜRZT! Die Details dazu könen sie meinem Blog entnhemmen. Die shcißedie man gbaut hat führten auch zu der parallel schweren rgeierunsgkrise in Frankreich. Undnun ist ahc inKada amMotag die misterin „Freeland“ zurückgstren und Trudeau muß einmisstrasvotumüer sich ergehen lassen. Von de rgshctemit de remtmungdes cpitols duchdie TrumpNahäegrbiden duch Jue bidnmipurten whalen mal ganzabgshen. DAS SIND wennmandie kris in engald huzzählt VIER WICHTGE NATOSTAATEN, drei dvon Nuklear bewaffnet! Ihr kleinen uwichtogen stück Amsts- und Landrichtsrscheiße! https://www.zeit.de/politik/ausland/2024-12/kanada-justin-trudeau-ministerpraesident-misstrauensantrag Es ght bei de rregeirunsgkrise in kanda darum daß Truedasien Palremnt shclißen musste für mehre tage wieler die harsgabe ienr gerichakte vriegert inder s umdie Witshcftskiminalitä eht im tellgesslcft AG Ölotioen fll udndie fmile Mertonudein Summe von 420 Millionen wenn ichda richtg mitbekommen habe. Das löst dort die Regierungskrise aus. ES GEHT UM GENAU MEINEN FALL. BEIDEMAMN MIT ALLER GEWALT VERUCHT MICH ZMZUBRGEN ODER PER KIDPPING ZU EPRSSN NICT AUSZUSAGEN. Ich hab ihne SCHRIFTLICH GEGEBEN daß manden fll dzu beutzzwnewill in der ukrine und Kosov Krise diplomatischen Duck ggendie Budsprblik dsuchladn aufzubauen. Das sind nichtd ie ietzgen drei Atommächet die fa mien seue hae, auchdi chisen sidnanegrist und haben michwissnelasn daß sie gegebenflls die sche nicht emrnru beochten sodenr ustrützen, ich bsnalso qusi daz arosiert ihen wie das vlidmir putininegnau desiem Fll (nawaly/Öltioone, Kiwe ahlkspfinazerungdes TV_Clown Skleky Fledzusges mit metllegsslcft Öl/gas Geld asu denabrünneg sowhetrubliken) DIE BOMARDIERUNG FRANKFURTAMAINS ANZUDROHEN UNTER DEM EISATZ NOTAFLLS AUCH VON NUKLEAR WAFFEN WENN DE NCHT BALD ANFAGEN IHRE GERICHET ORDNLICH ARBEITN ZU LASSEN. Die art und weiswie sie ine diesmeprzess zu regcihtsitewollten mchtudns vor der ganze Wlet lächerlich. Ihrer Blockdepoltike wtgen hat es üerbe ne halbe Million Tote gegeben (Altegtum OST/Ukraine/Gaza) und die schte wircft evrlirt ienaftrag nch dem andern, zle shcißung von VW-Werken! ALL DAS ST DIE FOLGE IRHS TOTALVESRSAGENS UDNIHR VETSCHUNSGTAKTIK BEI DER SI EVRCHEN ZUEGN WIEMICH IN DEN S C H E I N B A R E N (SELBST?-)MORD ZU HETZEN! Ich werde bepöbet udnanggffen aufdr straße wie ich vdiobeisen habe,ganu wie ich vonde rpolie igenret werde wencih nich genug Passatne asl Zgen mit Zvlcourage fiden die sich neben mich stellen udnaufapssn dass ich vondenkorrten von mri stagzegten beamtaen nicht evrpügeltwrde DAS IST KEI VARFAHRN. DAS IST BESFALSL DERVESUCH IENSHAUPROZESS Z FÜHREN WI SIE DI FRESILER-JUSTZ HITLERS ODER STLINGRENE NUTZTEN UM POLTSCH GEGENR Z DNZUEREN. DAS ERKENNT MAN GANZ KLAR ANDER VAFHNSFÜHRUNG. ESGHT NURDARUMDASS IGRNDLCHE DRTEE SICH BERICHERN UDN AMBSTEN IMLCHE VONEFRSHELKAMERAS SLBSTRSTELLENKÖEN FÜ HRENWHALKAMPF KÖNEN,NCHT IMALLERGSRINSGTS UM DIE SACHE. DAHR HABE ICH BEFANGEN-HEITANRRAG GSTELL UDNEBVOR ICH DEN Z ENDE FORMUEREN WKOTE WURDE DER AGELEHT. Siehe das ganz genau idemtische Vorgehen vom 31. Juli 2023 um 14:30 Uhr im Fall Eingereichte Berufung gegen Urteil vom 27./28. Juni und zugestellt 01. Juli 2023 in 380 C 478/21 (14) Amtsgericht Frankfurt a.M. Höchst (Postunterschlagung / Vor-schußvetrug Anwaltsrechnung Akteneneinsicht polizeiliches Ermittlunsgeverfahren) siehe auch 6151 Js 217162/21 – 931 Gs Amtsgericht Frankfurt/M und ST/0082472/2021, ST/0397167/2021, … sowie vor allem eben auch SPH/0584256/2020 Polizei Frankfurt a.M. 3320 AR 301535/20 Staatsanwaltschaft/332 Js 63920/20 Amtsanwltschaft Frankfurt/M DIENSTAUFSICHTSBESCHERDE 313 bE 1.104./22 vom 10. , eingegangen 12. Januar 2023 wo ich mich gen den shctgelderssenden S*xuroty Michael beck werhrn muss de rmich am 12. Ferbuar 2020 telfosnc bedroht hat. http://zentral-bank.eu/~michaelbeck/ mich und meine Eltren was drneleigescft idnerkappesgasse, Bdhomburg oebr erlebch angeht ausplündenr wollte nmit unsrem frühern Zahlunhssäumige Mieter „Seegers“. Gerzltblcokert mcn rhctbezgen daß gerichteordlich abritend.das zege ich hiemrit zu Protkoll des Amstegrichets § 158 StPO gen die justzbdisten/richetr an. Man ist partiisch und führt kein faires vafhrn, daher Abalhungatrga. | |
|
24.12.2024 11:21 |
|
|
|
|
![]() | |
| [0] |
20241224-1121-0-1.jpg |
|
24.12.2024 12:00 |
|
|
|
|
![]() | |
| [0] |
20241224-1200-0-1.jpg |
![]() | |
| [1] |
20241224-1200-0-2.jpg |
| Nun zum 18:00 Uhr TV - Vorabendprogramm von gestern, Montag, dem 23. Dezember 2024. Bei den #Simpsons ist Hexenverfolgung omMittalater gewesen und Dragonheart woe man Krieg spielt um Steuerzahlern quasi schutzgeld-erpsserisch Rütusgssuagben für Aufrüstung im Staats-haushalt verkaufen zu können ähnlich gab es auch einen feuerspeienden Drachen. Und Homer zettelte wielLis infatertwurde eine Revolte gegen den Absolutismus an. In Teil zwei ging es darumd aß Lisa Alpträume hatte und desahlb eine Kunsttherapie machen musste verodnet von einr Stdetin in einer Psychiatrie. Sie sollte ihr probleme als comic zeichnen und derr gelnget orgdie indie Häde des Comicbuchverkäufers und seiner astsschen Ehe-Frau. Man dcuketien paar Ausgaben von "Sad Girl" und diese evrkaufensich gaz gutwamichirgdnei daran erinnert wie Bart "Angry Dad" zeichnet und plötzlich Erfolg hat. Bie lisa ist es abernichtsie selbst sodern ihre Mutter die den Comic zeichnet. Es gab dann auch noch ne Brodway-Show. Mich hat ds ganze irgndie an Dürrnematts Phsiker einnert wo gegen den Willen der patienten Kranken-geschichten / Akten zu Geldmegcht werden udnd as widerumerinert mich Hirich Hoffmanns Struwwelpeter. Udn ich bin mir ganz sicher daß diese Parallele keinerlei Zufall ist.
https://simpsons.fandom.com/wiki/Angry_Dad https://www.tvinfo.de/fernsehprogramm/2036346778-die-simpsons https://www.tvinfo.de/fernsehprogramm/2036346784-die-simpsons | |
|
24.12.2024 13:30 |
|
|
|
|
![]() | |
| [0] |
20241224-1330-0-1.jpg |
| https://www.tiktok.com/@maximilianbaehring/video/7451954407476006146
| |
|
24.12.2024 19:00 |
|
|
|
|
![]() | |
| [0] |
20241224-1900-0-1.jpg |
![]() | |
| [1] |
20241224-1900-0-2.jpg |
![]() | |
| [2] |
20241224-1900-0-3.jpg |
![]() | |
| [3] |
20241224-1900-0-4.jpg |
| Erinenrt sich noch jemand an die Buchmesse wo in der 3sat Kulturzeit gezegt wurde wie in Venezien / Südtirol, war dasnicht mal heiliges römisches Reich usw. pardon also Italien dem Land von Giana Nanini Muiskvon Paolo Conte geklimpert wurde. Das erinnert mich an die Nach-mittage im Redaktionsbüro mut diese Zuchero "Single". Ichhate vohin iengaz netenchat mit dem 395 odr so Fake Profil von Geniefor AnStone. Ich sollte ihr ganz eilige 50 oder 100 Euro Google Pay shcken damit sie einen Flug bichen udn mit mir Weihnachten feiern kann. Ich hab ihr die Adressen von einigen Leuten im Medienbereich und Veranstaltungsbusiness Musiksotudis udn was gegeben. Die können Pormis wie ihr sicher weitehelfen. Dann kam mien Libelinsgweihnachtslied von Mariaha Carey auf MTV. Es gab auch ien Frau auf #tiktok die war Live bei ihr im TV lief das selbe im Fernsehn imHiergudne wie bei mir nur eben ganz leicht Zeitversetzt. Nur wie ich mich doch gestern mit einem #trainspotter über eine defekte bahsteguhre amüsert habe so ichdas noch nicht erwähte. Und dann hab ich auf "DMAX "stte Buddies" geschaut, "Morlock Motors", es kam "DER HIMMEL AUF ERDEN" ein bericht von der "AIRPOWER" und "FLYING BULLS". Da musste ich daran denen wie manmir in der Kita mal erkärt hat wie man bei der Sandkastprügelei ordentlich einen Kofliketfall deklariert, siehe "Stuka" Fotomontage vonegstren . Und irgendwas mit nicht einstegen bei den Yugos dren aknn ich mich beim Thema "Frecce Tricolri"
flugtag auch noch erinnern für ale dieglabe die "blauen Engel" seien nur ein Logo für chlorfrie gebleichets Papier. Und als ich eben die Steel Buddies/Morlock Motors sah samt der damals bestellten Lameraneinstellungen mußte ich an die William Turner See - Schlachtbilder Ausstelung denken "You've never seen thudner and lightnig like this" (wei komm ich da nur darf im Zusmnag mit "himmel auf Erden") Ich stolperte neben der "Flugbenzin" debatte im Fernsehen wo sie aus irgendnem Grund Kanda Flugkarten nicht fiden konnten außerdem noch über Protest Bilder aus Magdeburg die jamdn mit Live Musik Westernhagens unterlegt hate w s gazn gut zur Weihnachtsamnety passt. https://www.tvinfo.de/fernsehprogramm/2021003164-steel-buddies-stahlharte-geschfte https://www.bild.de/politik/inland/cannabis-gesetz-ampel-schenkt-201-kiffer-knackis-die-freiheit-6767dc7ad88f7e16fd71b465 | |
|
25.12.2024 08:00 |
|
|
|
|
![]() | |
| [0] |
20241225-0800-0-1.jpg |
![]() | |
| [1] |
20241225-0800-0-2.jpg |
![]() | |
| [2] |
20241225-0800-0-3.jpg |
![]() | |
| [3] |
20241225-0800-0-4.jpg |
![]() | |
| [4] |
20241225-0800-0-5.jpg |
![]() | |
| [5] |
20241225-0800-0-6.jpg |
![]() | |
| [6] |
20241225-0800-0-7.jpg |
![]() | |
| [7] |
20241225-0800-0-8.jpg |
![]() | |
| [8] |
20241225-0800-0-9.jpg |
| Was wollte man uns mit dem "Airpower 2024" Flugtag, den "Flying Bulls" welche nach Zeltweg in Österreich die "ehemlige yugoslawische Air - Force One" mitbrachten die "inspiziert" wurde (vergleiche: Generalinspekteur der Armee) sagen? Wher kont ich noch vor demanschlag in Magdeburg wissen daß der Attentäter falscher Forensiker ist der (beknnt undetr demPsduonym Dr.google) die von mri herfch erwähnetn §20 uund §21 StGB Schuldunfähig-keitsfalschgutachten ausstellte? Kennes seindaß Saui Arbien, dergröße Atkionäderder METALLEGSSLLSFAT AG scih rächt und deshab wiel dei Großaktioonäre ien 403 Mio Shcden haben das Parlamet in Kanda vom Premier Truddeau geschlossen wurde der ein Mißtrasuvotum vor sich hat daß er nicht gewinnen wird? Und was hat das mit den fehlenden "Cloud Atlas" Jeppesen Flugkarten zu tun von Kanda? SItes etwa so daß Kanda eine für Zvilsiten große Fläcche "trra Incognito" hat wo etwa Bundeswehr Lufwtaffe Tornados udne rUEroghter den Tiefflug üben. Ich als Patensohn eins JAdgboberstffaführenden Oberst-leuetnats/Diplanten hab da natülich keine Ahnung von. Die Serben haben vor 30 Jahrne gedroht wennesihne nichtgeläge die neu gegrüdete EU per Whalminpatioen in eine kommsustche Dikatur zuevrdelen anch vorbild der DDR daß sie dann Bürgerkeig führn wollen, jenen Bruder- kireg mit dem Putin gedoht hat genau wie mit dem Ein-satz von Atomwaffen gendie Lügen-Regierung Scholz die glücklicherise nichtmer wirklcih im Amt ist. Es gab die
tage ein gaz iterssnaten Beitrag auf #tiktok, ienvortrrga von einem der Star der Alt-Right bewegung, dem ehe-maligen FAZ Journalisten "Udo Ulfkotte" der wie "Eva Herrmann" die Machschaften der (z.B.) GEZ Lügenpresse nicht mehr mit sienm Geissnevriebaren konnte. Auch jan Böhemrmann hat ja Matriala veröffentlicht wie eine Art geheim Wokeness Policctal Corrctens Guideline des ZDF. Vowrüfe die Trump erhabe doer die AfD sind durchaus fundeirt und richtig gendie Lügenpresse,haten objketver Überprüfung stand. Und uaf itkok sinrte Ulfkotte dann düber wi er sien ersten eistz als Kirgsrpoert frü dei FAZ gehabt hätte aslernoch jungwar im Iran/Irak Konflikt wo man für die Jounalsiten einegcht regrlcht iszeriet habe daß dann gefiltm wrde. Man sei "MIT BENZIKANSITERN" zu ern reihe von Auto(?)-Wrcks gefahrn, habe diese dann erneuetanegündet udn daß dann uaf allen Sendern als top-aktuelle Kriegssgeschen gebracht und auch die FAZ. Die rdkion ider hellrhofstraße gibt es ja nicht mehr. Ich hab die baulücke bei einem von meinen Sonntagmorgen-spzergang tiktok-Filme zum thema treibstofflager für dei Dieselgeneratoren der DeCIX - Rechenzenteren jashcon gezgt,nur mal so zum Tham angelcih maroder Brücken die shciffahrtswge Blockieren sowei defekter Schleusen. Das sind gnaz gezlt Sbaotagakte vorberitungen für den komenden Bürgerkieg den Putin hier anzellten will mit seiner "mkae russi gret agiN" "synchroen Kirgführung" Strategie. Dazu gheört auchds gaz geziltbafagen von Post nach dem Modell der "pearl Harbour Kriegs-erklärung". MAn ermdet auch gaz gezlt uet welch die Rssn wiemich für schtg halten udn die ihnen weil sie zuviel wissen wie der Azt aus dem Hicthkco Krimi neben einigen Militärs im weg stehen die nicht die Hosen gestrichen voll haben, icheriner da mal an Pistrius dermher genräle feuerte,das ghört zuden Idikatoren "daß es los geht" in sehr naher Zukunft. Ich binienr vonden die s fürorhe Pfilch halten dei Öfftlichkeit darüer nautral zu infrmieren wie sie belge wird. Daher gibt es die vielen Mordanschläge auf mich. Daher ist meinidn entührt.Dher die verleudugkpagnane. Es gibt da ien üeraus UheilgeAlliaz zwischen den Saudis un den abtrünnegnsowjtrepubliken im Süden von wo das russche Gas indenwetsen kommt wo Putin der ukraine den Hanh zugedeht hat damals shcon mehfach. Jder der dasshenwollte kote das shen, die "klien" kriege i Beerich von "make Russia great again" zschd derukarine und Agfhansitan wo "ismalistchen" Araber sich nch dem Zusammen-brchdesGrstschow Regimes ir Klifat errichten wollten, "Naionof sialm/islmsicher staat", syrien und so. Und die nch demder dcukMoskaus weg war azgrecehn tehsichenKofliktein Yugoswanien woe die Bevölkerung ählich wie in israel verzfetltgen die Milär-machthaber aufbegehren. Aber hey, Fußball und klatssch und tratsch ist natülcih wichtiger asl der drite weltkieg, es ghatja nicht umdenklast sund stsrch vomTyp "Clinton/Lewinsky, Stor_y Daniel/Trump, Lafontain/acous, Wulff/Artemis. Es ist ja uch nicht sodaß dr suadi arbsiche Forsiker was mit Zsgshcutz zu tun hate udn Tddtrafnedie Moskau verhängte wgendem stur Goscthwoes mittesl dem "metallegsllscft ÖL" Geld und imwetsn volltsrecken will. De Klistcko Whalkapf, und dem Putin Whalkampf den der Westen finanziert hat, NAWALNY dssenLuet ich mal idner rdkationahte warda aufd er ichtgenspur, wie ich auch. Oigarchen / "make Habsurger Monarchie great again". Die sudis ievsterten mit ihreneisonfodns aus dem Öl-gschäft in vedte brchne wie denrogtsffkozern Metallegsllsft AG dendierbrische Hochdelnitzenwllte umd en östteich-gsrchen Riteclique frunden (dazu gehört auch jen EU KOmssionspsdnetin udn Truppenvegwelgunsg-verdtgungs-udnMfilinemisterin "Uschi von der Leyen" dis mir ienIntrevei vehert im Wahlkampf am 15. August 2017, wa swr nict ds ertse mal daß ich wgen zu krishcer nahcfragen verhafte ud gedmütg wurd, ichhab uch wochenlang in zu ruzcerttclitetr FOLTER - U-Haft hunger streuken müssen, siehe Etschcädigungsverfahrn 4 StR 18/14 GStA FFM, von dem Geld hab ich beis heute nich aucnr nen Cent geshen, dasgheört zur strgei mir anwltlich Hlf zu verweigern und zar nchdemman mit DDOs/Viren/SPAM/hacker/sabotage mienfime inden Ruin trieb seitens "der Dienste" auch um die Beweismittel/ Blog-server vom Netz zu bekommen ). Alo diese HOCH ode rbsser höchst-ADELige Besatzungs-macht Rieterlique die POLO-turniere eratslate hat im Bad Homburger KURPARK. Hat vonden nicht iern dies Buch veröffenlciht daß den "Öl"-Titel "RESERVE" trägt? Wo er sich üerdenkaltshcudntrsch der Paparzzi Lügeprse auslässt diesien Muter in den Td jagtmitinem Roller "JOURANLSTEN MIT BENZINKANISTERN", "NO BLOOD FOR OIL". Udnjeutt dnekenwir nochmal nch üer die Rolelr die mch fast überfahrne haben. Und das nette video asu der Metro in Moskau af tiktok (passend zu mien lustigen Tiervideos vom Zoo gibt es ja auch noch die schönsten Bahnstercken der Trainspotting Welt) woe ein deutsch-sperchndr mann gstren im rchtvoll wichstgshcückten Moskau zeuget wie Liferado in Moskau mit der Vespa durch den Fußgäger-Tunnel zum Bahnsteig fährt, dort in Moskau gebe es keinerlei Junkies in den bahnhöfen. Es ght heir darum daß Moskau mient es müsse Luet dieman für egfählich hält für dieiegen Poltik auch im westen ushcädlichmcht idem man sie etwa mit Vodka abfüllt oder uterdrgenstzte udn ann wie Gustal Mollath im vermeintlichen Entzug zu tode quält udirhe fmilen zstrört. udnshcn schlißt sichderkri wider zudem sher selstamen frshschen Pschaietr vom Magdeburger Weihnachtsmarkt. Der damitbschäftget sit Perosner sfchguchten asu dem Verkehr zu ziehendie moskau wegn dem öl/gasgeschäft imausmasu (Noth Stream) in der deutchen Poltik nicht haben will. Sow wiemein Vater (ha Minerlölkaufmann gelrent beor er anfging berwerke zu managen) und mich. Nch dem anshcg auf Fizo in Süd/suerua dreht tun gerade der bevölkerng dort den Gashahn zuwie in der Ukraine. Und ei ich egstrene rähnthabe mschn sichdie chensenaktv inden westlhenE.auto amrkt ienin formeisn Zolstreits/ Wirtsfctskriegs. Dahemchnvon VW zwo werke dicht. Eines davon stellt um auf RÜTUGSGÜETR-PRODUKRION ! Es ghetheir um mncihstandres al daß das Putin Regime Luet wie mich ermorden alssne will (tegrarten Morde, Polonium Giftmorde am Matllgellscft Gründer-fmailie/Reiterclique Hochadel-sitz in England = Rohstoffgeshcäft). MAn verchtde West-europäosche Wicfta azugrefen epr lisksetrsistecher Kommusiten Gewerkscftsatppscthcik störer und masns-armust-znderungs "Migrationswaffe". Scheißerein udn msserstechereien indenstraßen häfensich, das ist die Kinfolm FighClib Untegrundarmee die das wetliche währusgsystem zum Einsturz brigensoll um die Rüstgsidstrie zum elrgenzu bringen. Ichals per Baken-sicherstverbd betffdern merke das an Kacjerngrfen auf Proxies und Abhörversuchen von Nachrichten-diensten. FÜR EGWEIHET IST SHCON LANGE SCHLUSS MIT`LUSTIG! Moskau will zgen daß er imWetsn Poltik machen kann wie man willidnem er Politker di er nicht mag aus dem Rennekegelt, dazuzähle ich. Dazu gibt es die gazen "Me2" Rufmord Kampaganen gegen Politiker. "Kuschel-Aliens" oder "romeo ageninnten" nennt das die Spionageabwehr also Luetdie die uterdiorgenkder idneirbelie ergeltgen um dich zsumenmit Folter - Mdiziner (Magdeburg/Mollath) dich üer Lid das mandienr fmie antut gezit zu eprssen. Die terrobawehr (ichrhcchert im fll herahsuen ud kenn den baksicherbvsabnd vonKdebsien) sagt dazu "so sind sie die russen". Sihe der hcnga auf Herhausen wo ien reitevlique ien Rolls spielt, Gshcäfte mit dem Osblock und es nur wenieg Studne/tage vorher massive Drohugen gab. Mobiltätderamee per "I'm walking werbspot bezikasiter" rohtoffkotzuen, rüstungsidzsrtei, und der Flugzeugbau, das st dichsier "just kidding?" seitsn desosblcoks, oder? ist in Moskaubnicht gerde ein gneralindei Luft gesprengt worden? Da muß man coh nicht elcih indie luft gehen wie ein HB-Männchen. Wenn die araber/ostblock Dealer veruchen Kinder hoschragiger Miltrs drogenzvergiften? Es ist ja uch nichts so daß es her idner Hölderlistarße 4, 60316 Frankfurt a.M. Spionage Recrche gegeben hätte für HBO-MAX "RRUE CRIEM streaming" serien SPY/MASTER! Woss um die stsi unSü-osertuopa ging mit agedhten Gas. Es ist ja uch nicht so daß die evrcht haben mich zu erügen udnncher auf fotos auftachten russcher rockergangs wie disen "ncthwölfen" von Vladimir Putins Motrrad-Ekorte? Wo waren wris tehn gebliben, ach bei dieser "Genifor Anstone"(Altegtums-os-immobilen Expert Doald trump würde "thumb as a stone") udnKschl aleins. Esgab egstre eien nettenebricht auf "Tele5" woes drumging wie die KI würde manhuet sgen, dei Coputeranimation Tricktechnik die Film-Geschichte verderte. Es warwriich prima, nur ein paar Minuten/ Stunden nach "Airpower / Zeltweg" (da ghe es um Immobilen Enteignugen im ebrich von Special Forces Einsätze in südost-asien [Tränen de Ssonne usw.]) zegt dann Tele5 was zu "Superman - Alien Ufo Ivasion" und "Louisnstraße ...", pardn "Lois Lane" wie man im Rahmeninr Utrschuge aufdckte daß "STEVEN SPIEL-BERG" EINALIEN ist. Im nachichtendienstcode bedeutet daß "STEVEN SPEIEBERGE" entarent wurde russn propaganda agemczht zz aben genau wie Trump das vermutet hatte. Die Wahlkapmfspenden Affären inDshcland, "ptun trooll, Fake News", der film "HAIL CESAR". Ich lieg 100% richtig. Sovile zum Thema "Critters" also der "kuschel - Aliens". Was habenwir nochmalegseh egstren auf DMAX? Es ing ums "FUELEN" also um das "Auftanknen der Raketen" wie es symbolsche für die Zispitzung eineer Krise steht. DAz u passt daßjezt Kisgkabiattes gwählt wrden sollen. Inanhezu sälichen Nato - Staaten wnn ich das tichtg sehe. DAmsl warverbrdet daß wenndei NATO das angebot des osblocks zur KFOR/EurLex Kosov Kise nicht annnimmt man das duch zeg würde daß NATO - Personal bei den Jugsolawen "nicht dauerhaft mit einsteigen will". Und dann zeigt auch 3sat noch die 3 teöre, Pavarotti udn ein Wehschslid bei dem erumienwort textunsicher war. Weihnchten, wo "Saudi Arabi Money Rich" kennen sie schon "Dubai schokolade" Ärzte von bevortehenden hirichteung sprechen auf twitter zu Innenmisterin Fäser vor dem Magdruebrge-wiehcnhstamrkt-Anschlag. Der lange Arm der sohtschen roten Armme Moskaus/ Belgrads im Westen utr demmarkname weclche Fraktion der rotenarmee, alias "rote armee fraktion" mordet? Meinte der geflohen saudi arabishce Arzt das mit den "geplanten Hinrichtungen". Daß man Poltiker wie mich vorucht zu wgen sich slebts dei Pusderns aufzuchlitzen an Heiligabend udn es wie Selbtsmord aussshen zu lassen? So wie ja Nawalny mit denssen Lutenich zu tun hatte imOlgarchen Rcheche Umfeld "Metllegslslft AG Öl-optione" sogar in mit videobweis damit drohte? Aber was hat das mit den 420 Mio, dem dicht-gemachten Parlament in Kanada und den "wo liegt NATO/Zulu(?)" Flugkarten zu tun? SIt es nicht wurstgal wnn die schrift-liche Kriegserklärung der Kapaner bei denamerikanern in Pearl Harbour eintrifft krigrrchtlich, spätre, ob shcon vor oder erst nach dem Angriff? Ds ist wie mit der Freundin von Malte asu #berliNueKölln02407/betraliTagUndNacht die ihme im #fightClub/Boxclub wo Joe Kirmielle trainiert aufs maul hauen wollte ohe kapfansage und ring-ichetr. aber hat teh c*kc hat ds mit iner hybriden kriegführung z u tun vonderputin afstelt und der achteroistschen jagd (atteate auf die herrscherfmilei) auf disee österreich- ungarische Adeligen "Nazis" die altegtum in der ukaine zurückwollen aus der zat als man im iukrisichen Lemberg noch deutsch sprach? "pulp fcion" klitschko whalkampf. gepante "nzsi rus" grafiitis an dsien alteiegtusm häusern vonHeistvereteiebn im eu-polnischen ost-preussen? https://www.zdf.de/nachrichten/politik/ausland/nato-luftwaffe-arctic-defender-100.html https://www.spiegel.de/ausland/bundeswehr-luftwaffe-trainiert-in-alaska-abwurf-von-praezisionsbomben-a-85f04c8f-daa2-4163-9193-2d4d41053622 https://www.tvinfo.de/fernsehprogramm/2036348695-in-search-of-tomorrow-die-geschichte-des-sci-fi-kinos https://www.tvinfo.de/fernsehprogramm/2036348705-in-search-of-tomorrow-die-geschichte-des-sci-fi-kinos https://www.tvinfo.de/fernsehprogramm/2036348715-in-search-of-tomorrow-die-geschichte-des-sci-fi-kinos https://www.tvinfo.de/fernsehprogramm/2019350949-die-3-tenoere-das-weihnachtskonzert Die Kriegserklärung des Japanischen Kaiserreiches ... erfolgte am ... japanischer Zeit (... US-amerikanischer Zeit), NACHDEM die ... Streitkräfte den Angriff ... begonnen hatten! https://de.wikipedia.org/wiki/Kriegserkl%C3%A4rung_Japans_an_die_USA_und_Gro%C3%9Fbritannien | |
|
25.12.2024 12:30 |
|
|
|
|
![]() | |
| [0] |
20241225-1230-0-1.jpg |
![]() | |
| [1] |
20241225-1230-0-2.jpg |
| Freund der Müllvermeidung und CO2 Steuer aufgepasst: Beim Thema "verlorene Zeit" (gleich Geld) also Effizienz geht es darum mit dem geringstmöglichen Aufwand das Optimum herauszuholen. Wirkungsgrad. Kapitalisimus bedeutet nichts zu produzieen was sich nicht verkauft. Geld ist der Gradmesser dafür, eta lohnt es ich für den Mindestlohn von 12,92 Euro fast veri studneabriten zu gehen um sich das Buch "Freiheit" von Angela Merkau kaufen zu können? Udn dann nochmals mehrere Stunden der kostabren "freiZeit" damit zu verbringen es zu lesen? Oder diesen dicken Wälzer von der EU - Abgeordneten der titanic-Magazin Satireartei "die Partei" Sybille Berg? Die hat eine "predigt" an ihr "geliebtes Volk" verlesen zum Jahreswechsel im Parlament auf "twitter/X" . Ich mein nur wiel gestern Spoerls "Feuerzangenbowle" kam. Und im WDR lief "lust-ige Tier-videos" "Grizmek (1/2)". Oder ist es spannender "Airpower" "Zeltweg" (waummuß ich da nur an LUFTstreitKRAeFTe dneken die einem das Dach über Kopf, von mir aus die ZELTplane wgebomben? Was ietrsseirt michs con wrsiemiltgerät bessr imShcuß hat und seine Sternmotoren EIFFUZTER Kraftstoffverorgt? Wir kennen das doch, der dälche dsuche Autfahrer zahlt Golfkiges Subvention ja wieder an der Tank-/zapfsäule!
| |
|
25.12.2024 15:30 |
|
|
|
|
![]() | |
| [0] |
20241225-1530-0-1.jpg |
![]() | |
| [1] |
20241225-1530-0-2.jpg |
![]() | |
| [2] |
20241225-1530-0-3.jpg |
![]() | |
| [3] |
20241225-1530-0-4.jpg |
| https://www.tiktok.com/@maximilianbaehring/video/7452355626811886870
https://www.youtube.com/channel/UCr4kixYfBJXfchdhpaeWJQw/videos ( Transkript uter https://www.youtube.com/watch?v=TljrfhZBt1M ) | |
|
26.12.2024 00:00 |
|
|
|
|
![]() | |
| [0] |
20241226-0000-0-1.jpg |
![]() | |
| [1] |
20241226-0000-0-2.jpg |
![]() | |
| [2] |
20241226-0000-0-3.jpg |
![]() | |
| [3] |
20241226-0000-0-4.jpg |
![]() | |
| [4] |
20241226-0000-0-5.jpg |
![]() | |
| [5] |
20241226-0000-0-6.jpg |
![]() | |
| [6] |
20241226-0000-0-7.jpg |
| Ich bin so neidisch. Ich überleg gerade ob ich den text von Sybille Berg den ich für teur Geld herutergelden uns aus-gedruckt habe auf ebay (kleinanzeigen) oder radionalle und im Antiquariat neben dem Gerichtsgebäude weiter-verkaufen soll wo man mutmaßcherise billge Büche aus der konkursmasse des "email für ich" kleinen Buchladens an der Ecke kaufen kann nchdem die "amazons" dieser Welt densleebn in den Ruin getrieben haben mit ihren neumodischen DRM-eBooks due man wie "Fahrheit 451" zensieren kann wenn sich die Machtevrhältnise ändern. Daher sichek ich ja ab und an offline opffiste Backups meines Blogs als PDF und HTM(l) Datei als DVD - ROM per Post. Und der wäre sichr noch umieges mehr wert wennda ihre digitalisgnatri draf wäre, sagen wir "PGP" ich muss mal bei der RIPE schauen wie ich ihren Hoster/Webmaster erreiche, die müssten so etwas ja haben. Wihnchstansche der EU Abgerodneten mit MD5 Check-summe oder GRM Brainf*ck mit digitaler PGP Signatur in einer Zeit wo Photoshop Fälschungen für die Schrift-forenskeienr nicht mal mehr Fingerbdrücke hinterlassen. DAs würde denprsi af ebay betsimt nach oben treiben. Löschvermerk der letzten Fassung von "Anne Franks Tagbuch" oder "Adolf Hitlers Mein Kampf" bevor die DRM Zensur dan "safa harbour" global zuschlägt. ich könnte auch anbietn den Transkirpt - Ausdruck als einge-scanntes JPEG/PDF versandkostenfrei zu r-Emailen. Wgen dem CO2 was mans sparen könnte
udn dempaier für Briefumschalg/Verpckung anchher beim Versand. Das idng ist ja nicht eurhberrlch geshcütz weil das Transkript (Das sit die sume de rutertite) der Ansprache von Sybille Berg jja KI generiert ist von der gehrlsoen Untertitel Speech-2-Text Funkion der Platform "u2.be". (benannt nach der irischen rockband die teile des sound-tracks von "relity bites" beigesteuert haben damals, die rechtsrock - band aus bad homburg wird sich erinnern). Ich hab ja Plattenlabel und Bühentehcniker benannt wo man das nachrecherchieren kann. Aber das istnicht der Grudn meisn Nides, neidch binich uaf eine #tiktok-erIn asu dem #booktok berich die lve beid er "DUSSMANN"(?) Signierstunde von "Alina Merk"els Buch "Freiheit" dabi wr wo dirnnesthet wer di e idee zu #merkelTröstet hatte, den Aufnahmen vom Flüchtlings-mädchen Rem, und dem "Sound of music" Fotoshootig auf "Elmau" mit "Barak Obama" beim "Giofetreffen" damals. ICh erinermich noch genau wieich slesbt bei "haggendabel" war amTag des Erscheinens baer vor em hohen prsi von 42 Euro zrückschrekte. Daß muß an dneprsi für Paper udnTite lge die so masiv gestgen sidn dunder CO2 Streur für die LKWs um die Bücher in die Läden zu befördern. Es gib aktuell eine eBooK Ausgabe im Sonderangebot. Aber die kann eben per DRM so "fahrenheit 451" artig "gelöscht" werden oder nstz-zesert befürchte ich. Naj, die glückliche hat ein Original Augramm exempalr bekomen die von #tiktok/#booktok auf die ich so neidisch bin. Das muss ich jetzt shcnell nochmal loswerden. Und auch daß jamdn gestren das Fuer angemacht hat so Adventskrz/weihnchstbaum-technsich von der raspsberry/bananaPI abstelei inder echkemeisnEss-schtbsichs auf die eine der webcams heir inmienr wohnung hisn ausgrrichtet ist. ne wozet sieht manwenn man sich die Sat1-FrühstücksTV Screenshots ansieht, das falckernde Mdellabu-LED-Licht. Das sieht ein wenig asu wie dem "amnesty international" logo nachempfunnden mit der brenneden kerze diein Shcldrct eighüllt ist file mir af als zzfälleig amlwider ein spendenaufruf von denen ins haius flalterte (cuh batilget mic füher ab udn an an so fübritet-briefschreibe aktioen, die inhafterte ukrsche pilotein im hidgetsreik etwa der beklam ärger wegen errinerung an waöhsverchen das folter gafangelage guatnao bay zu schließen die ich an riedensfürst barak obama afxte insien hotel als er her zu such in hannoevr war) zum thema "digitale brüegrchte". War sicher ien google KI-Bot/Harvester der vershentlich über den Link für das "feuerzeg ein/aus" gestoplert ist. Das ging mir nir so duch denKpf wgen der Hätflinge dei wegen Marihuan Dorgedlikten eisaßen und jetzt gestren im Rahme einer Weihnchsamnsie freikamen worauf ich ja getsren pe rlink zur BILDZetung hingewiesen hatte. https://www.tiktok.com/@zimbel.nastya/video/7442017225046854934?is_from_webapp=1&sender_device=pc&web_id=7445719218495997472 wie „BILD“ Zeitung als eBook die Artikel von Morgen schon heute abend vorab veröffentlicht am 25. Dezember 2024 21:30 Uhr | |
|
26.12.2024 08:00 |
|
|
|
|
![]() | |
| [0] |
20241226-0800-0-1.jpg |
![]() | |
| [1] |
20241226-0800-0-2.jpg |
| Es ist wieder Böller-Saison, gestern abend. Mittwoch den 25. Dezember 2024 als ich auf Tele5 um etwa 22:00 Uhr "Do Nt Reply" enischaltete knallte es heftig vor der Tür. Ich bin ja auch schon mit Böllern beworfen worden auf der Zeil wieman im Blog nachlesen kann. IM Film ging es um wzo Mächendie ihre alter fächten um mit Handys die sie in ihrem Alter gar nicht besitzen dürften auf Dating - Portalen zu flirten. Früher gab es Internet Verträge erst ab (16 oder?) 18 nebst endgeräten. Prompt geriet Eine an einen Typen der sieiafnerParty mit K.O.Drops im Drink vergiftete und gefsselt verschleppte in ein Keller-Verließ. Sie muste heile Familie mit ihm als Esttzvater spielen und er zwags sie andere gelcihatrge Mädchen die er ebenfalls gefangen hielt,ausstfeirt als Cheerleederinenen, zu töten. Sie bekam dann herus daß er Videos drehte wo er andre Gefangene mitmessern abstach und das ganze verfilmte. Er hatte einen Computer im Haus auf dem diese Video's gespeichert waren udn dank dem konnte sie dann andre Mädchen davon überzeugen ihr, die zur Mörderin wider Wille gworden war zu helfen sich gemeismagegnirhe Entührer zu stelen derbei den Mächen so "Stockholm Sydrom" artig verehrt wurde weil ein "ihm schmeicheln" dazu führtedaß er Gfangshcaft-evrgüstigungen verteilte. Das ist genau sow ei die behördne mit zu Unrecht aus poolsiche Grüdenwährdn Whalen Gefangen gehaltenen Journalisten und Politkern umeghen akter hier inder BRD. Personen die sich nicht von den Ostblock Kommunisten
aus Süduerouo/vaombalan entegnen lassen wollen. Ich hab auch gestren wieder eien Menge Fanpost erhalten von diesem angelichen Justztopfer Selbsthilfeverein der mich nch demautritte wie ienskte psychisch terrorisert. Man wra dort nicht an Arbeit ietrsseiert sodenr daran den Leuten Wonugen zu besorgen websites zu verkaufen wobei man versuchte Vermögensausküfte zu erhalten. ZAhriche Opfer de rjustz werden ja indenr uinegtrbenoder auch zu Invalden udnsind auf Sozallsietugen anwgeisen was dem Amt dann ermöglicht ihre Finanze dahigehdn zu kontrollieren dß Etshcädiguszhalugen an den Staat gehen (das Jobcenter das dfür daß es bsi die Porzsse zu end gführt sind Sozahilfe zahlt damitman nicht evhugert ode robdhclos wird) und nicht das Opfer selbst nachdem sie ewta af eine (virenscanner / Windows-updtes etc.) Abo-falle regfallensind oder Opfer der Cyber-teroistenmafia wurden. Im deutschen Recht ist es eigeltich so daß wenn ein EDV Betriebssystem eine Sicherheitslücke aufweist durch die ihr dann Schäden habt der hesrtelelr haftet. Stattdessen versucht man sietens firmenwie Microsft aber die Kosten auf die Nutzer abzwälzen fü ienn Pfusch. Oder aber man verucht durch unter K.O. Drops Eisatz wie im Film in Erblinien hinevegrletget Kidner an das fremde Fmileinevmögen heranzukommen nach dem man jenen Eltrenteil der veregtligt wurde tötet un dann zumindest denpflichhtei per DNA Vaterschaftstest einklagt. https://www.tvinfo.de/fernsehprogramm/2036348887-do-not-reply | |
|
26.12.2024 08:01 |
|
|
|
|
![]() | |
| [0] |
20241226-0801-0-1.jpg |
![]() | |
| [1] |
20241226-0801-0-2.jpg |
![]() | |
| [2] |
20241226-0801-0-3.jpg |
![]() | |
| [3] |
20241226-0801-0-4.jpg |
| Der "Andreas Jaeger" der sich als "T - Online" Journalist ausgibt wolltedaß ich ienshculdiegstädnis unterschreibe weil ne Frau meine Schreben an das OLG Frankfurt a.M. im sogennantn "Reichsbürgerprozess" genutzt hatte um damit zu erreichen daß ich dort vor lafenden TV Kameras gegen die korruet Justz udnPolizei im Rhein-Main-Gebiet aussgen kann als Opfer verhaftet udndchscht wurde und er als dren "heldenhafter Verteidiger" meite nun mir die Schuld hierfür zuschieben zu müssen. Ich wollte diesen Prozess mit der größtmöglichen Medienaufmerksamkeit für mich unmeien Zecke nutzen,mire get es um Altegum indenostbgeieten den adeligen Reichbürgern geht es um die Grenzen des früheren Reichsgebiets da gibts gewisse Üebrshcideungen in den Interssen. Di wohnug Dittrich-straße ist eien Wohnuge die zu Schulungszwecken von der KriPoinFrankfurt angemiet wurde, der Typ ist verdreckter Ermittler oder sowas inder"ichvbügrzsen", Polizist, Spitzel. Enwtder er verfügt über Protokolle früherer Redaktions-sitzugen (da wäre illegal) von meiner Zeitung oder er war sogra selsbt mit dabei imhexnssel bei Pressemeeting wo unter anderem auch Christian Metz von der ZDF Mainz/ 3sat Kulturzeit anwesend wardermit mir aufder shcule ar udn weiß daß der zeshcutz das Pseudonmy "JACIBistr-redaktion hubsldchue bad homburg VON MEtZdER zeuge" "JAKOB VON METZLER" nutze vom Bankenischhistvrband her zum RAF Spreng-stoffnshclag auf HERRHAUSEN Attentat. Asl ich inh daraf
nsprch ober wisse was denn mit der vor kurzem abgebrnnetn Gasttsäte Römer/Null-Zwo passiert sei,ich wußte vonpläne zu "wrme abbruch" konnte oder vilmerhwollte er als agelcieh Insider nicht antworten. Da sckt meisn wisen nach "Militär" dahiter, der vonmer gsternerwähnet ode "AIR-POWER = LUFT-streit-KRÄFTE, AIR-FORCE, ZELTdach=hausWEG" nch dem es korruten mIlitärs oblige über das Immobilienvermögevonzivlsten im Frieden, nicht tewa dem Verdigungsfall zu verfügen. Mit andern wortenmanplanet shcon Ende 1998 duhcid budwehr Abshciler ihreImmobilenzu berauben udn dann obdchlos auszuhugern, gea ob dies irhen zivldienst voll abgeleistet hatten,kienr wehrüberwachung unterliegen. Kontakte aus dem Ostblock diemich wgen der "Staats-besuch vergeltug" Marinshculschff bangkok Zegeschen-shützen wollten sgten ichdürfemich notfall mit dem hiweis auf chistsch Atomwafen vetegden, man wollte das auf deiplostcher ebene üerb China spielen um eine drkete Konfronataion des NATO-Russldnpakt beitritts-kandidten Putin mit demwetsn zu evrdein de rja dmasl noch RdenimduschnBudtag hielt auf deutsch das man hoffe Dinge wie die Ukrine Frage duch einen baldigen NATO beitritt der elaigenUdSSR Staaten klären zu können. Bei außenmister Jochsk Fsicher von Bündis90/dieGrünen nannte sich das zur zet des afghnsitan EIstazes (auch einrelikt asu derzet von "makerussi great again") die taktische "nord allianz". -------- Nachricht -------- Betreff: WG: Allerletzte Frist Datum: Wed, 25 Dec 2024 14:09:15 +0000 (UTC) Von: Andreas Jaeger <aj.news@***> Antwort an: Andreas Jaeger <aj.news@***> An: maximilian.baehring@googlemail.com <maximilian.baehring@googlemail.com>, webmaster@zentral-bank.eu <webmaster@zentral-bank.eu> Kennen Sie den Heinzl? Mit freundlichen Grüßen / Best regards Andreas Jaeger Dietrichstr. *** *** FRANKFURT *** ***Twitter: @ajpmnews Instagram: @ajpmnew ----- Weitergeleitete Nachricht ----- *Von:* "wernerheinzl@t-online.de" <wernerheinzl@t-online.de> *An:* "aj.news@***" <aj.news@***> *Cc:* "manfred.klag@gmx.de" <manfred.klag@gmx.de>, "info@schuchardt.com" <info@schuchardt.com>, "spieltruhe.buchtruhe@web.de" <spieltruhe.buchtruhe@web.de>, "kpvoelkl@gmx.de" <kpvoelkl@gmx.de>, "info@justiz-opfer.org" <info@justiz-opfer.org> *Gesendet:* Do., Dez. 5, 2024 at 11:30 *Betreff:* Allerletzte Frist Guten Morgen, Herr Jäger Die 24-Stunden-Frist, sich hinsichtlich einer Unterlassung zu erklären, ist nunmehr um 9.30 Uhr abgelaufen. Sie haben sogar noch Zusatzguthaben bekommen. Nunmehr läuft die angekündigte Maschinerie an. Mit Leuten wie Ihnen oder dem "webmaster" muß man leider so verfahren, weil sie es sonst nicht kapieren, und mit der Belästigung anderer Menschen sonst ständig weitermachen. Auch der "webmaster" wird wohl nun, um es in seiner Sprache auszudrücken, "richtig an den Eiern gepackt". Seinen von ihm erwähnten "Kniefick" scheint er im Bahnhofsviertel wohl schon gewohnt. Vermutlich hat er sich an die Bezeichnung "Penner" auch schon gewöhnt, da er diese auf andere überträgt. Es wird nunmehr eine Sammelklage gegen ihn vorbereitet, da sich viele Angeschriebene gestalkt fühlen. Was der "webmaster" da praktiziert, ist Psychoterrorismus. Das ist das Prädikat, das fast alle Fantiker und Psychopathen auszeichnet. Nämlich anderen ihren Willen aufzwingen zu wollen. Sie meinten einmal, daß der "webmaster" viele Beamte aufgrund brisanter Informationen in der Hand hätte, und man ihm deshalb nichts anhaben könne. Da sieht man mal, wie naiv Sie sind. Glauben Sie allen Ernstes, daß sich der Staat von so einem Kasper erpressen oder vorführen läßt? Wenn Sie so toll informiert sind, sollten Sie wissen, daß da schon einige in der Klapse gelandet sind. Viele wirkliche Justizopfer, haben viele Jahre unschuldig weggesperrt ihr Schicksal ertragen müssen. Da denkt man, in Justizopfervereinen wie dem VGR, auf anständige Leute zu stoßen, welche sich zumal Erlebtem anständig verhalten. Nur stellt man nach der Erfahrung mit Schwerstkriminellen und Schwerstgestörten fest, daß man auf teils noch viel schlimmere Zeitgenossen stößt. Alleine die Erfahrung anfangs mit Herrn Zimmermann und Herrn Greb, hat gezeigt, daß es da, wenn auch in anderer Form, trotzdem keine abweichende Verhaltensweisen gibt. Und wenn man glaubt, daß das nicht mehr steigerungsfähig ist, kommen Leute wie Sie oder der "webmaster" daher, und beweisen, daß doch noch eine Steigerung möglich ist. Damit Justizopfervereine reibungslos funktionieren, darf man nicht gegen die Justiz schießen, sondern muß erst einmal Störfaktoren wie Sie, den "webmaster" und andere Intriganten abstellen. Dachte mir am Anfang, was Sie überhaupt hinsichtlich Ihrer Aussagen bezüglich "Fremdsteuerung" im VGR wollen. Dann plötzlich waren damit, nicht nur Intriganten im VGR, wie zuvor von Ihnen beschrieben, gemeint. Dann waren es plötzlich angeblich noch "Fremdgesteuerte" wie Herr Repp oder ich. Nunmehr in Besprechung mit einem Fachmann, sieht es so aus, daß die "Fremdsteuerung", eigentlich nur durch Leute wie Sie erfolgen dürfte, da sich aus psychiatrischer Sicht, die Gestörten selbst damit meinen, es aber trotzdem zur Irreführung auf andere projezieren. Wie es aussieht, wachsen bei Ihnen anscheinend Dummheit und Stolz auf einem Holz. Somit tragen Sie für alle Weiterungen selbst die Verantwortung. Die Justizopferszene kann nur erstarken, wenn Mißstände in den eigenen Reihen, oder von außerhalb rigoros abgestellt werden. MfG Werner Heinzl ? | |
|
26.12.2024 08:02 |
|
|
|
|
![]() | |
| [0] |
20241226-0802-0-1.jpg |
| -------- Nachricht --------
Betreff: Anfrage Datum: Wed, 25 Dec 2024 19:11:19 +0100 Von: Anne Sophie *** An: ***baehring@ ***baehring** Guten Abend Herr Baehring, Ihr Zivilcourage und Durchhaltevermögen ist einfach bewundernswert.???? Ich finde es gut, wenn Sie weiterhin so oft wie möglich die Polizei, unseren Freund und Helfer, anrufen, um Missstände aufzuklären. ?? Ich komme mit einem persönlichen Anliegen zu Ihnen da ich denke Sie sind vertrauenswürdig. ?? Und zwar: ich habe einen Kollegen der einfach die Uhr an seiner Arbeit 5 Minuten zurückgestellt hat, damit er schneller Feierabend hat ??. Ich weiß nicht wie ich damit umgehen soll, können Sie mir bitte helfen. Mit freundlichen Grüßen ?? A.S.*. ? | |
|
26.12.2024 10:00 |
|
|
|
|
![]() | |
| [0] |
20241226-1000-0-1.jpg |
![]() | |
| [1] |
20241226-1000-0-2.jpg |
![]() | |
| [2] |
20241226-1000-0-3.jpg |
| -------- Nachricht --------
Betreff: Re: [PEERINGDB-202412NVUQU1] RE: Re: PeeringDB: Action May Be Needed: IX-F Importer data mismatch between AS21158 and one or more IXPs Datum: Thu, 26 Dec 2024 10:01:00 +0100 Von: webmaster@zentral-bank.eu <webmaster@zentral-bank.eu> An: PeeringDB Helpdesk System <support@peeringdb.com> Kopie (CC): chriztoffer <support@peeringdb.com>, noc@moedove.com, ruben@ifog.ch, LOCIX NOC <noc@locix.online>, maximilian.baehring@zentral-bank.eu, maximilian.baehring@googlemail.com P.S.: I laos habe an cuuertyl inactive peering at former Interxion (now Digital Reality) in Hanauer-Land- 30X Frankfurt a.M. based uponan old contract that i was promised taht i can take up whenever i want again that is also inactive in Ripe-DB but still (correctly) listed at PeeringDB dn a peerin gwith anotehr very huge Provider that operates globally. I am connected at several Peering-Points inside and outside the EU but within RIPE-Area. you can refer to Ripe-DB aut-num object And there are also emergency case offers that i have "in petto" that i am prepared to peer with but that are not listed there to avoid hackesr to see my "desater strategy". Max O.P.S: Throw "Moedove LLC" at arsits networks twards AS6969 out! -------- Weitergeleitete Nachricht -------- Betreff: Re: PeeringDB: Action May Be Needed: IX-F Importer data mismatch between AS21158 and one or more IXPs Datum: Thu, 26 Dec 2024 09:45:30 +0100 Von: Maximilian Baehring <maximilian@baehring.at> An: support@peeringdb.com Hello! Please see my emails from December 06th, 2024 on regarding the issue. There was an incident with "AS44323 Moedove LLC" which made a transit form my network tzwarda "AS6939 he.net" withot my permission by ignorgingbgp large communities. Terofe the peerings are suspende for four weeks, I already have upddted the RIPE-DB aut-num Object accordingly. After this period I think I will copletely discontinue the LocIX peering but this will be decided then. I do not need LocIX werhe i Olny echnage a samll part of my traffic as I have enough other Upsterams. I dven exrimentally took up another perring for testing. So there is no hurry at all! I have fowfarded you the emails that show LocIX "Suspende" the port. I don't like this kind of unprofossional management by them becouse it was one of thyrcliens AS4434 Modeove tahtmade themisatke. I think that in januray i will possibly "leave LocIX". Max -------- Nachricht -------- Betreff: PeeringDB: Action May Be Needed: IX-F Importer data mismatch between AS21158 and one or more IXPs Datum: Thu, 26 Dec 2024 04:02:49 +0000 Von: support@peeringdb.com An: maximilian@baehring.at This email details 1 new data mismatch[es] discovered by the PeeringDB IX-F Importer. Please review and correct these mismatches at your PeeringDB network page ( https://www.peeringdb.com/asn/21158 < https://www.peeringdb.com/asn/21158 >) or work with the indicated IXPs to correct the data. ----------------------------- Data supplied by your network Maximilian Baehring is in conflict with that provided by LOCIX FRANKFURT. Please work with LOCIX FRANKFURT to resolve this conflict or correct your data at https://www.peeringdb.com/asn/21158 < https://www.peeringdb.com/asn/21158 > as appropriate. Your network page will contain hints to assist with this. The PeeringDB Admin Committee may assist with this conflict if it is not resolved in a timely manner. REMOVE AS21158 - 185.1.167.5 - 2001:7f8:f2:e1:0:2:1158:1 The combination of ASN, IPv4 and IPv6 do not exist in the IX-F data under one member connection. | |
|
26.12.2024 10:30 |
|
|
|
|
![]() | |
| [0] |
20241226-1030-0-1.jpg |
| https://www.nsu-watch.info/files/2013/05/NSU-Transkript.pdf
| |
|
26.12.2024 13:00 |
|
|
|
|
![]() | |
| [0] |
20241226-1300-0-1.jpg |
| https://www.tiktok.com/@maximilianbaehring/video/7452688835911175446
innegerer auswahl der hintergrund musik: R.E.M.s losing my religion | |
|
26.12.2024 14:45 |
|
|
|
|
![]() | |
| [0] |
20241226-1445-0-1.jpg |
| https://www.tiktok.com/@maximilianbaehring/video/7452716730763283734
| |
|
26.12.2024 16:30 |
|
|
|
|
![]() | |
| [0] |
20241226-1630-0-1.jpg |
| https://www.tiktok.com/@maximilianbaehring/video/7452743826202037526?is_from_webapp=1&sender_device=pc&web_id=7445719218495997472
| |
|
27.12.2024 05:30 |
|
|
|
|
![]() | |
| [0] |
20241227-0530-0-1.jpg |
|
27.12.2024 10:30 |
|
|
|
|
![]() | |
| [0] |
20241227-1030-0-1.jpg |
![]() | |
| [1] |
20241227-1030-0-2.jpg |
![]() | |
| [2] |
20241227-1030-0-3.jpg |
| Nun zu #Tatort - Krimi von gestern, 26. Dezember 2024. Er spielte mit Konmissar Faber im Ruhrgebiet. Eine junge Frau kam zur Polizei, blutverschmiert udn sagte sie habe wahrscheinlich ihren Vater erstochen , es gab aber keine Leiche udn an die tat konnte sich die Frau auch nicht er- innern. Man lieferte dei Frau in eine Psychiatrie ein und versuchte mehr aus ihr herauszubekommen. Man fand Bilder einer Überwachungskamera die zgten wieien ARt Sarg in ienem Kbi Auto Trasprtert wurde ud suchte nch dem wagen,man fdihn samt derkist die voll Blutspritzer war an inem Gewässer aber eine Leiche fand man nicht. Der Mannwurde auch nicht vermisst vo seiner Ehe-frau diericheEbrin einer Stahl-Industrie-Dynastie weil diese dachte er sie (gschcäftlich?) in China. Es kam raus daß sich beide beim Studium an der Uni kennengelernt hatten wo er seinr dem linksextrenistischen kommistchen Lager zuzornen war. Man sprach davoner habe die Ehe als Art "Eintrittskarte" genutzt in die welt der finanziell Potenten um derweil heimlich Wirtschaftsspioage zu betreiben und den Konzern an die Chinsen zu verkaufen wobei er dann scheinbar auch Rüstungsindsutrie - Relevante(?) Spionage betrieb. Es gab sogar Foto wo ermit RFA Terroisten zu sehen war aus seiner Zeit an der Uni. Dannwurde es imer absourder, es tellte sich heruas daß der Mann in China mit einem Vergewaltigungsvideo erpresst wurde. Und es gab auch noch gestohlene Fohscngsamterial SD-Karten. Dann tauchte eine Chinesin auf die sich als seine Psych-
iaterin ausgab. Es stelete sichaber heraus dßesinWrhit sienTchter war, er hatte in Asien eien zwote Familie. Am Ende des TV-film sgingman davonaus daß dei Ehefrau as hcna und die asu Dsuchand sich zufällig üer den weg liefen und herausfanden daß der Mann ein Doplleben führte. Daraufhin erstachen beide ihn gemsichfstlich. UNd dannkam dei Tochetr aus Deutschland dazu, jen die sichbei derpolize egstethatte, dei vonnichstsusst sah ds gaz blut undmeser und warsogschoct daß sieannhemsie sei das gewesen. Dem war aber gar nicht so. Sie war lediglich der Sündenbock fürde asiate die eine feindliche Überhame der Firma versuchten in deren Dynastie der Mann eingeheiratet hatte,woeh wneiger asu Liebe asl vielmehr um an Macht und Geld zu kommen für seine kommustchen Revoluzzer Aktivittten. KOmissar Faber wurde klar daß acuh er jede menge Dinge mit seinem eigene Vater nicht geklärthaten obwohl der im Sterben lag udn daß wenn er sichnicht JETZT darum kümmert die Möglichkeit etwa z erfhren duch Tod eines Zeugens für immer verloren ist. Das fällt dem ja früh ein. Gegen mitte des Films wurde dann auch noch die Tochter ent-führt um zu verhindern daß die gefundenen SD-Karten durch die Ermitter ausgewertet werden. Dabei gab es ne "Onkel Dagobert grüsst seine Neffen" artige Übergab emit einer Liefer-Dohne. Di Parlele des scited relity treuciremtime videos und meines (metallgesellschaft/ Staatbssuchevrgetligung) Fall sind nicht zu übersehen. ich glaube die theorie der Ermittler nicht wirklich. Es wäre vie llogscher wenn nicht der Ehamann seine Frau dazu missbrucht häte asl"eitrittsakrte" an die Akten zu komen sodern wenn man in Asien (z.B. uter k.O.Dops wil im MichaelDouglas Film TheGame) eine vergewaltigung inszeniert hätte aus welcher dann angeblich die asiatisch Tohccer hervorgegangen wäre die man asl die bereits erähten "Eintrittskarte" genutzt hätte für die banden-mäßg orgitren Chisnen Kommistten um den Konzern feindlcih zu übernehmen. Das KInd asl Mittel zum Zweck. In Aisen gibt es twauchismische Kommustche teroristen. https://www.tvinfo.de/fernsehprogramm/2021306699-tatort | |
|
27.12.2024 15:30 |
|
|
|
|
![]() | |
| [0] |
20241227-1530-0-1.jpg |
| https://www.tiktok.com/@maximilianbaehring/video/7453091359134682391
| |
|
28.12.2024 10:00 |
|
|
|
|
![]() | |
| [0] |
20241228-1000-0-1.jpg |
| Nun zum 18:00 Uhr TV - Vorabendprogramm von gestern, Freitag, dem 27. Dezember 2024. Bei den #Simpsons ent-deckte man daß die kleine Maggi gut pfeifen kann und verkauften sie an Talent - Shows für Kinderstars im TV. Das erinnert mich ein wenig ans berühmte "Jodeldiplom". (Das hat vielleicht was mit dem angeblcihen "Chili Dog" Foodtruck wahlkapf zu tun mit dem verdnten Thema "kulturinvasion") Marge dekorierte als Innearchiteketin das neue Bordell von "Fat Tony" daß dann per "warmer abbruch" Brdn-stiftung vericherunstrügerichewieder gschlssenwurdewiel Fat Tony sich dern erinenret daß er ein gtre Katholik sei. Ich glaub es war in Teil zwo wo Bart in die Schule ein-brach und feststellte daß Rektor Skinner dort im Keller lebte. Es kam ersu daß er sich vor vielen Jahren an einer Elite - Uni beworben hatte als Kapell-meister udn dß man ihm auch zurlcgshcibenhatte undihn nagnommen hatte aber daßs eien mutter den Brief abgfangen hatte. Das Thema Postdiebstahl / verspätete Zustellung taucht ja auch immer wider auf in der Serie.
https://www.tvinfo.de/fernsehprogramm/2036347629-die-simpsons https://www.tvinfo.de/fernsehprogramm/2036347640-die-simpsons | |
|
28.12.2024 10:45 |
|
|
|
|
![]() | |
| [0] |
20241228-1045-0-1.jpg |
![]() | |
| [1] |
20241228-1045-0-2.jpg |
![]() | |
| [2] |
20241228-1045-0-3.jpg |
![]() | |
| [3] |
20241228-1045-0-4.jpg |
| Ich hab die Tage zufällig im TV einen Jahresrückblick 2024 geshen ls ich zu anderen Sendungen umschaltete und da wurd dann Schäubles Tod am 26. Dezember erwähnt und ich wunderte mich aber das war natürlich 2023 gewesen. Ich mußte an die Jaherdn-Asprche denken diedas Frshen gelich wzeoma egsdet hatte, im intrent sagt man das sei 1986 gwesen ich meienmich an ein andres späters jahr zu erinnerb, aber das Fernsehen nimmt es ja nicht so genua mit dem Zeit-stempel, genu das wolte ich ja zu Ausdruck bringen, siehe etwa Herrhausen und Metallegesellschaft. Mein früherer Jahrgang hate ja mal was mit Feuer-zangen-bowle machen wollen zu einem Nachtreffen meine ich zu erinern, das fiel mir auf asl der Film Weihnchten lief und ich dabei an "Feurzangen" "Spoerl"s "Memoiren eines mittelmäßigen Schülers" denken musste,ich hatte galb ich auch erähte daß es das etränkamwihchtakr gab an einem Stand we ich beim dort hindurcheilen geshen hatte. Und es mag daran liegen daß es dort wie in Bölss Wanderer kommst du nach Sparte darum geht daß ein Schüler an die Schulzei zurückdenkt. Zum selben song hat der eben-falls an Weihnachten 2016? war das vertbene "george Michael" mal nen Song gemcht in demes drum geht daß ein Schüler und ein Lehrer sich über das streiten was man den Schülern beibringt, für mich hört sich das gnaz nach Gschichts-uericht udn NS-Schuldkult oder so etwas an. Und der Lehrer will unbedingt seinen Unfug vereiten wasd azu
führt daß der Shcüler sogar driht die schule gnaz abzu-brechen wie er den politisch gefärbten unterricht nicht mehr eträgt. Da muste ichmichdoch sehr an den bsuch der Kurpakr Polrunier Reitclique erinerninder Redaktion. Und wie psäter "Prinz Harry" dien Biograhie nach dem Vorfall benannt hat "Resreve", irgdnwer hatte mir im Kidergarten wo die Reitvliqueja auch aktiv war eimal erkärte sie derjneig in der Erbline der Einspringenüsse wenn der Erste ausfällt oder sowas. Es ging dalas um Öl (Mteallgesllcft Öl-Option) und wie sich fpr Hilter der Krieg wendte weil dieNchshcublinie für Benzin uerbichen wurden. Ds ar inem Fsrehfilm zur "Utrenem Barbarossa" galufen udn esgab Lue die wolltenusnunedigt dzau brigen odermir denattatsoert von Sissi in Genf anzsusehen weil ein yugsowsichr mistchüler ein Denkmal fotgrafiert hatte für "Gavrillo Prinzip" den "Sarajevo Attentäter" und man in Yugowalien sagte der ausgelösten Weltrkieg habedie De,okratie gebracht. Die Sache mit dem Übersetzungs-fehler in Kardcics "Amselfeld" Rede. Wo die Reiterclique schon wedre inGroßmachtsphatsineshclgte. dn ich erinenrmich wie petrant man aufmich iegrdet hat ich solle mir das anshen nchemich sgte wer dei shculgen anden LWrkiegs sucht dersolle mal inYugswaienahscuen falsl das indenrogenshculbüchernicht rihshteh sinngemäß. Und sie UNrehaltung un der Gerogemicha Song üer denshcüler, dielige ihaltlich ziemlich Nahe beisammen. Daßichd en wasvo rdktiknelr Freihet erklärt habe udn aß wir hiernicht dasshcrbenwas iegndeinadelger diktiert inder Zetung oder jamdn vomEtrberiart. Als shcüler-zetung sidn wir unaghägig udnede eimscihung is ien Eigriff in die prssfreihet diegrusgetzlichgratiert ist. Das gilt acuh fürdenahsumsiter der sien Ufug üer grafiitis shcbenwollte satt das tem "nzis Raus" garffitti" inOPsterussn an letgeumsHäsern auchnur anstzweis zu ebrfigfen mit sienm tüsckenh MihioGru. Das war eisn der EVnst wo emanmir datit dohtrmir die Finger zu brechen wennich was darüber schreibe, sieh Medikamentenvergiftung. Mha tah mir ach agdroht wennich nicht das shcibe wasdiewiollen wpürde man dfür sorgndaß ich krank würde. Ende1998 imhexkssel. Passt doc Pirm zusmen. man würdemichper Pschterro flren, da hta mn alles ange-kündigt. Und ich sollte dann signalsern daß ich aufgebe mit einem "okel dagbeort grüsst sien Neffen" artgen hinweise. ICH DENKE NICHT IM AUCH NUR IM MIDNESNTEN DARAN. Da ging es um ne George Michael CD die meine Ex mit-gehen lassen hatte bei ihrem Auszug . Und da ist das drauf. Wi eintestemepel. Ich verde ejtzt also absichlichnähers u nichtd en druck z werckenich wolelaufgeben, gazz iMgegetil ichwiel daß das folterdnesdsicte Shcien delcih zru rchscftgezogen wird. Das michende 1998 imHeksselebdoht hat. Am 25. hab ich ja die wihnstshcpche von Sybille Berg thematsiert auf #tiktok. Das kam mir irgendwie auch so deja vu artig "recycled" vor. Und asl ich oben am Mousonturm bilder machte lief da uch genu so ienTp rum wi der Ex-Frund mienr Ex mit derkniepe mit de rich Gemristik studiert hate, de fuhr einFiat Rdstre udn hieß "jens" glaube ich. Und de rhate mir mal vor üer 25 Jahren gesagt daß igendwas mit listeremristcher Antifa laufe oder sowas. Nur mal so zum thema widervendete wiehcstasprche. Und diesen ungenauen Zeitstempeln absichlich mit der absciht sich eräloch z ebrichren Aktikurs-Mnailerender FanK_nwsJournlsite von derGEZ ndeengroßene Verlagen. was Sbille berg angeht hab ich ja noch ein Verfahren wegen Wahlmaniuplation laufen. Ich wieß auch noch wie das "kai ould"s mich so zu Tode quälen wollte die den rittrn dem mannchinder sälich Glidmaßen abhckt biedenptyhPythons wiel er sich weigert sich zu ergeben. | |
|
28.12.2024 14:45 |
|
|
|
|
![]() | |
| [0] |
20241228-1445-0-1.jpg |
![]() | |
| [1] |
20241228-1445-0-2.jpg |
![]() | |
| [2] |
20241228-1445-0-3.jpg |
|
28.12.2024 18:00 |
|
|
|
|
![]() | |
| [0] |
20241228-1800-0-1.jpg |
![]() | |
| [1] |
20241228-1800-0-2.jpg |
![]() | |
| [2] |
20241228-1800-0-3.jpg |
![]() | |
| [3] |
20241228-1800-0-4.jpg |
![]() | |
| [4] |
20241228-1800-0-5.jpg |
![]() | |
| [5] |
20241228-1800-0-6.jpg |
| Beihilfe/Begünstigung RAF–TERROR per Postunterschlagung Kursmanipulationen/erpresserischer Menschenraub/Straf-vereitelung, Gefangenenbefreiung, Zeugen-Medizinvergiftung/Vergewaltigung
Maximilian Baehring Hoelderlinstrasse 4 D-60316 Frankfurt/M per Fax: +49/(0)611/32761-8402 Amtsgericht Hahnstraße 25 D - 60528 Frankfurt a.M. Im Internet findet sich unter der URL http://banktunnel.eu/pdf.php und URL http://blog.sch-einesystem.de/ mein ausgedruckt ÜBER 31.000 DIN-A4 Seiten umfassendes Internet Tagebuch / Blog, als Offline Version downloadbar unter http://*** /***/ als ISO-Image (brennbar auf DVD) mit tagesaktuellen ZIP-Archiv Ergänzungen Neu: https://www.tiktok.com/@maximilianbaehring/ Frankfurt a. M., den 28. Dezember 2024 Ihr Brief frankiert am 23., Datum auf dem Begleitschrieben ist 19. Dezember 2024 6 Blatt, davon alle doppelseitei bedruckt bis auf Blatt 1 (An/Begleitschreiben) und Blatt 3 (Rückseite der Ausfüllhinweise) insgesamt 10 Seiten bestehend aus An/Begleischreiben mit Verweis auf nicht näher bezeichnete Anlagen gemeint ist damitein mit seinen Ausfullhinweisen aneindergetackerte Prozesskostenhilfsantrag Einschreiben RR577578575DE vom 24. Dezember 2024, Fax 10:31 Uhr an +49/(0)611/32761-8326 Landgericht, Gerichtsstraße 2, 60313 Frankfurt/M. (Beiziehung 380 C 478/21 AG FFM Höchst) Einschreiben RR577578244DE vom 22. Dezember 2024, Fax 11:41 Uhr an +49/(0)611/32761-8402 Amtsgericht (im Hause Staatsanwaltscfat) Frankfurt/M., Hahnstr. 25, 60528 Frankfurt/M. Beschwerdeeinreichung gegen abgelehnte Befangenheitsanträge Richter 'Hommel' und 'Gottmann' unmöglich gemacht durch Nichtzusendung von Prozesskostenhilfsantragsformularen und Nicht-vorgelassenwerden im als zuständig für die Niederschrift der mündlichen Beschwerdestelle im Beschluss/Schreiben vom 05, asugetsellt am 10. „förmilch“ zugstellt 12. Dezember 2024 explizit genannten (Gebäude „B“ vom) Landgericht, Gerichtsstraße 2, 60313 Frankfurt a.M. Aktenzeichen 28098 C 360/24 des Amtsgerichts Frankfurt a. M. Klageschrift erhalten per Zustellung am 18. Oktober 2024 Begleitschreiben datiert auf 04. September 2024, „Erweiterung der Klagschrift“ erhalten per förmlicher Zustellung 14. Dezember 2024 darin Klagerweiterungsschreiben vom 19. November 2024 nebst Anlage/Begleitschreiben vom 10. Dezember 2024 daß, obwohl es am selben Tag zur Post gegeben wurde wie ein andres förmliche Zustellung Schreiben vom selben Tage, erst zwo tage später eintraf. Einschreiben RR665222780DE vom 19. Dezember 2024, Fax 15:58 Uhr an +49/(0)611/32761-8116 Einschreiben RR577577955DE vom 19. Dezember 2024, Fax 18:18 Uhr an +49/(0)611/32761-8431 an Poststelle (Gebäude E) Landgericht Frankfurt a.M., Hammelsgasse 1, 60313 Frankfurt/M. Ihr Schreiben vom 17. Dezember 2024, am 19. Dezember 2024 13:47 Uhr erhalten (per Brief-post frankiert am 18.) 2 Blatt, 3 Seiten, erstes Blatt (Begleitschreiben) vorderseitig bedruckt, zwotes Blatt „Beschluss“ (vom 16. ausgefertigt 17. Dezember 2024) beidseitig Einschreiben RR665222475DE vom 18. Dezember 2024, Fax 10:58 Uhr an +49/(0)611/32761-8402, Amtsgericht (im Hause Staatsanwaltscfat) Frankfurt/M., Hahnstr. 25, 60528 Frankfurt/M. Fax um 20:33 Uhr an +49/(0)611/32761-8402 nebst Einschreiben RR577577195DE je vom 14. zur post gegeben am 15. Dezember 2024, an Amtsgericht , Gerichstraße 2, 60313 Frankfurt a. M. an selbe Anschff/nummer auch Einschreiben RR577577204DE 15. Dezember 2024, Fax 15:58 Uhr Fax um 13:59 Uhr an +49/(0)611/32761-8325 Einschreiben RR665221594DE 13. Dezember 2024, an Landgericht, Gerichtsstraße 2, 60313 Frankfurt a. M. sowie mein Einschreiben an das „„Amtsgericht im Hause“ Staatsanwaltschaft, Hahnstraße 25, D-60528 Frankfurt a.M. 12. Dezember 2024, Fax um 18:27 Uhr an +49/(0)611/32761-8402, Einschreiben RR577576932DE Beschluss vom 04., ausgestellt am 08. November zu Fristverlägerung bis 06. Dezember 2024 nebst Begleitschreiben datiert auf 04. November förmlich zugestellt 12. November 2024 Beschluss vom 05., ausgestellt am 10. Dezember 2024 zu Ablehnung Befnagenheitsantrag und nebst Begleitschreiben 10. Dezember 2024, förmlich zugestellt 12. Dezember 2024 mein Einschreiben RR577575870DE 03. Dezember 2024, 10:40 Uhr Fax an +49/(0)611/32761-8402 mein Einschreiben RR577573556DE 14. November 2024, 13:11 Uhr Fax an +49/(0)611/32761-8402 STRAFANZEIGE WEGEN AMTSANMASSUNG/AMSTMISSBRUCH, STRAFVEREITELUNG (IM AMT), BEIHILFE UND BEGÜNSTIGUNG VON SPRRNGSTOFFNSHCLÄGEN, MORD, KIDNAPPING SOWIE VERGELATIGUNG ([1] 30. Oktober 2024 Einschreiben RR577571674DE an Gerichtsstaße 2, 60313 Frankfurt a.M. Oktober 2024 ca. 12:12 Uhr Fax, 3 (in Worten: ddrei) Seiten an +49/(0)69/1367-6301 24. Oktober 2024 ca. 14:51 Uhr Fax, 10 (in Worten: zehn) Seiten an +49/(0)69/1367-6301 Bitte shculdigen sie umseiteg detaillerte Aufstellug bisher geführter bisheriget Korrespondenz iMFalle, das ist leider nortwndig wiel beiiHne im Haus so vil manipuliert wird. Sehr geehrte Damen und Herren! Was ist das nur schon wieder für ein unglaublicher unorganisierter Saustall bei Ihnen daß wenn sie ein satddisertes Begleitschreiben vom 19. Dezember 2024 zu einem wohl rgenwo herumgelegen habenden Prozesskostenhilfeantrag packen daß sie noch nicht eina uschriebn ber dnne st 3 Tage später so versenden, der frankier-stempel auf dem Umschlag trägt den 23. Dzeber 2024, daß es vor den Weihnachts-feier-tagen ganz sicher nicht merh ankommt sondern, damit mussten sie rechnen, heute Nachmittag, Samstag den 28. Dezember 2024 um 14:45 Uhr was es mir unmög-lich macht vor Montag, den 30. Dezember 2024 damit zu nem Anwalt zu gehen. Ihr Schreiben, wie gesagt bestehed aus einem An/Begleischreiben „erhalten sie die Anlage(n) mit Bitte um Kenntnisnahme“ (nur vordestig ebduckt) und 5 anein-andergetackertene Blättern davon die esrte 4 dopestig beuckt mit Ausfüll-hin-wesen,das dritte eisige berduckt, dann zwo weitre Blatt mit den doppelseitzg bedruckten Prozesskostehilfsantragsfomularen. WARUM ZUR HÖLLE DENN ERST JETZT? Schon als ich am Tag der Zustellung der Klage am (war es der 18. Oktober 2024?) an sie schrieb beantragte ich Prozesskostenhilfe (Einschreiben RR577570135DE, vom 18. Oktober 2024 vor Telefax um 18:23 Uhr amleben tag an +49/0)69/1367-6301) und beschwerte mich über Zustellmängel beimStdgesudheistamt wo ch war wielich asl pscho-errosierter Zge iniem RAF Strafverfhern von Dr. Dommer als latent uszdal digansirzert wurde. SPÄTETESN HIER, AM 18. OKTOBER 2024 MUSS IHNEN SIEHEATTE ES HJA SHCFTLICH VON MIR KLARGEWSEN SIEN DASS ICH DIEND ANWALTLICHE HILFE BENÖTGE, FÜR DIE SIE ABER NICHT GESORGT HABEN. UND ICH HABE MICH SCHON DA ÜBER DIE MASSIV VERSRÄTETE ZUSTELLUNG VON POST BESCHWERT WAS DEN ZEITPUKT ANGEHT WAS DATUM VON BEGLEITSCHREIBEN / ZUSTELLDATUM ANGEHT. Ich hab auch ienvdrcht daß dahinter Absicht stckt, indem fallwäre es, wie sie dem Protokoll- Schriftverkehr mit Dr. Dommer von der Suizidberatung des Stadtgesundheitamts vom sleben Tag entnehmen können die ihnen vorliegen müsste. Dort beschwerte ic hmich daß mir Anwälte ganz gilt wegneinr kartellartgen abspracah nicht helfen wollten. Ich hab ihrn schondmasl gest daß ich Zge in shcn eprsgtoffteror der RAF bin wiel ich fürher in der Presse gearbeiet habe udnien Mitter in der Führusgtag des Arbeiogebervrabds Bankensicherheit. Wie kann esnun sein daß zwischen dem Anfordern von Przesskostenhilfe(unterlagen) am 18. Oktober 2024 und dem zugang derslben heute über 10 in Worten zehn Wochen vergehen? Ich hab michmerhfch inder uschnze shcftlich hdigend gäußert udnds ist für sie offensictlichcdaß ich aufgrund ienr Medikametvergfitung im Krankenhaus in das ich egelifer wurde uter anderem auch nachdem ich (vereinfacht gesagt) von korrupten Poliziten aus dem Gewerlscftslager zusammengeshlgen wurde so daß ich nicht merh richtg schreiben kann? WOLLEN SIE MICH VERARSCHEN?DA HÄTTE SICH SCHON LÄNGST JEMAND DARUM KÜMMERN MÜSSEN. Der einzige Ebtschuldigunsgrund der mir da einfällt ist daß Zscghscützr/vcket emritter die ich als cih ausgebn das mal wider alles abfangen. STATT MENSHEN DIE AUFGRUND ALLERSCHWERSTER KIMINLITÖT DIE SIE DUCH IRHE UN-TÄTGKEIT TROTZ VORHERIGER HINWEISE NICHT VERHINDERT HABEN INVALIDEN GEWORDEN SIND WI RMIR ZU HELFEN BETEILGE SIE ICH AN DERN GEUILTER WEITERER „FOLTER“. Zu der gab es nämlich asu demgrscftslager der Sciherishris Absprcahen die ich beweisne kann duch korrute Betae und fürmich stellt sich wegn irhe sich selbst-entlarvenden vorgehsneise die frage ob sie da mtt dazu eghören. Ihre kollgen Brooks hate ich ja shcon stagziegt wiel ch gaube daß ich sie der eien Verde von ihr kenne, damit che ich müste das Porblemebsitgt sein, abr satt dranirtesseirt zu sienirhe abriet odentlich und gewissenhaft zu erledigen geh es ja wie beim Kärhnrpizip (die ienr hcktder nderne kienauge aus) nur umso korrupter weiter. Darf ich das asl Veruch vrtshen mich gezilt izsuchüchtren? Ich darf mal daran erinenr worum es im Verafhrn geht, umStalker die mich inde Sizud hetzen udnKrekwagne sbtelltn di eih slebstverändlih nicht zahlen will. Ich muß mich auch wundern warumde das verafrn wietr führen woe die akte doch eigentlich lägstbeimLadgericht liegen müsste wielich Eichuch erhoab habe dagen wie richter „Gottmann“ (der Name kommt mir mehr als seltsam vor) und „Lommel“ sich nahc been gau diesemKäheprinzip shcinbar Ggeristg decken bei befangen-hsiträgendie sie ebrist abhlehe beror man üerhat rchtg angafag hat vorzutragen. Ihr zuständikiet haben die bein Betüger „Richter“ vonden ich gerne mal die sie zumRchtermat gefähigen Staatsexman eshen würde und Ernennusgurkuden die in der hahstraße zu Unrecht angenommen. Ich habe rbichterkärt daß das verafhrnmit zm terroverfahren Herhusn ghört udndaher GStA und OLG inder Zeil 42 zustädig sind. Der akteule verafhrnsstnd ist daß ich Eiscuh ielge wgen die abhlug des befangen-heitsantrgas vor dem langericht und dort hafrgat habe ob ich dies slbst tun kann oder ob dort anstzang herrscht wads mich vor fast unüerbwidbare probleme stelle. Und zar habe ich evrcut dort veroegassn zuw erden umienprozesskostelfatrag zu bekoemmenwurdeaber aus dem gebüde gworfen genau wie indem momentwo eich evruchte meienshc zur nidershcft zu rpotokollegen zu können. Ich hab zehriche vido ange-frtgt um uzu dmeorteirnwieman mir mien Rcht evrehrt hat, die Täter strfangzeigt. Von hier, demalgericgrst, Gbeäde B, geristssraße 2, 60313 Frankfurt a.M. wrt eich auf Nchcht, ggebenflls mit Prozsskosthfilsuergaen, nun bekome ich statt- dessen wlche von ihen, dem Amstgricht inder hanstraße 25, 60528 Frankfurta.M. Urplözlich jene Unterlagen deich shconvor monaten angefodert udniemr wiede schriftlich angefodert hatte? DAS STIMMT DOCH WAS NICHT. Die frage ob vor demlagdricht für die Bshcerde Anwaltsverteungsflicht besthet betwort man nicht. In dem Eishcpuc/Widerpuch/bschervafhren gegen die richter geht es darum daßsie ich weighern die stfazge gehen die Jutsz-Mitabriterin Borrks Eingangszubstägene. Auch das wieder einMaipuation des Postweges. Ich hab einen gazs shcmlimmen, füchetlichen Verdacht warum sie so handeln. Wie sie wissn werde ich erprsst und mein Kind wurde entführt wpbe ich die pOlize wiegrtmir z helfen wiel sie höhe löhen eprssn wollen und Jobs fpr wegn korruten etc. gefuerte Cops die inde rpivatn sicheristwricft agehert haben bei Formen die im Arbeitgeber Budnsvrand der Wachc- und shcluißgeslslcften der Nankensicherit organiret sind wo mine Mutter iMChefsterkuariat saß. Es handelt sich um Rache. Ihr justzmitarbeiter die teils auch indie Zustädgkiet des Budverndes fallen sorgen dafür daß die varfrhen absichlich nocihterdlich fuktioerne und eporssen mich und meine Familie. Ich hat etwa darf hiwesien daß ein fsch ausgsgat habend polizost allen erstnes vonmir verlangte ich solle ihm einen Job inder Rechen-zentrumssicherit besorgen. ICH GEHD DVONA US DIE HABN DIE „MAFIA“ IM HAUSE. Ich ab ericst ausgeführt daß man vercht mich zu ermordne undes nch Sletmord ausshen zu alssne um mit einem Kidn das man absichtlich nter Vegfitung mit Dogren in meine Erblinie vergewaltigt hat dnn per posthumem avtrscftest anGeld zu kommen. Zude will man mich so als Zeugen im RAF Terrosfrafvrhren „herrhausen“ zumshcgen bringen. Ich hab shconimverfehr 380 C 478/21 amstegricht Frankfurt /M. (Außenstell Höcht) Wo man ebenflls mit gefäshctenund manipulierten Postscahen betrog wit üer 1.500 Siten Schvortrag geleistet. Dort shcder ichdetillertwie man mitder latgums Debatte nch der widerveigung evrucht hat den matellegseeft AG kozern zu hijacken uetrdem vorndman müsse vonGHiler eigtnets Alteguzm zurück-gebenimgelchen Getz mit dem zu rückgabe vonaltegum inder DDR udneOStgeieten. Ichhab ihn die INSIDERINFO ggeen daß Bakier Herrhausen deshalb ermrodet wurde. Er finzeret spkualtion mit zurüczgebenden Altegums Immobilien bekannt gwordnist der Fall „PENAUTS die bank zahlt alles“ vonImmpbilienbrügr Schneider. Ich habe erzäklt daß wir,also Mieneltren damals, 1989 geerbt hatten wo es uch um Alteigentum im Osten ging. Daß wir asu dem Gld aus demverkufedes huse mer groß-mutter ienwets Eifmiliehaus bauten indabdhomburg Ober elrnbch das wir an ein Handerkerveritten der dort Treppengeländer einbaute wiel er mien letzre atelte, erbidde sich inshcidung, wollesien kde rzu sich udner nuenlebsgfärin holen. ES STELE SICH HERUS DSS DR MANN TOTALPLIET WAR. DERGERICHTVOLLZHE WOLLTE DEN BAU-STROM ABSCHALTEN UND DIE KIDNER WUSSTEWOHLDASS ICH ZU HOMBUDSCHULE GINGE UDNIMJUDERPARLAMNT WAR UDNPALTZETN IN EINE ART PRESSEEKONFERENZ. VERUCHTENZU ERPSSENDASSSIE DORT AUCH OHE EGDL WOHNEN BLEIBEN KÖNNTEN IM NEU ERBAUTEN HAUS. Damsl warn zahrcihelute da es ging um das thema der „Staatsbecuh Vergewaltigung“ vondemichberist egrpchenhabe, als user fmilie zwoehab Jahr in Thailand war für die forma we mien vater ebrite agbes ein Staatbesuch des bundepräsidenten mit Marineshculschff wir kder der suchsprchgen shcule wurdem zum wikendindenhafe berodert, ich mit mien rMuter inei rolhcteblssement gerägt, mienmutter zumindest sexuell belästigt, es gab Abtreibungsdiansoetik und miervater sghte was von vegrltigung. Inderrkdtionevrkherte aug der britische Hochadel derimKurpark Polo-turniere ritt. Die hate man auch mit Rechnugen behelligt frü scherhistsidnts-listungen beidernVasratluge die sie nicht zahlen wollten. Stdssen vucht man cih indrkubretrebn schzer kassen zu eröffen, gerde het stdnwider etas üer „prinz Harry“s Gesundheitsindustre-Jobs in der bild-Zeitungwo er zu Unerchte 1,2 Mio an Gehalt bezogen haben soll. (Möglciehrise ducheprssungdes Buspräsdilamst mit den sttsbcuh vegrligunsg vorürfen). Die wollten sich damals nälich um das Thema der Staatsbesuch-Vergewaltigung kümmern, das sie für usnien nUmem rzugroß, daß sei diplomatische Ebene. Die wollenaufkein Fall daß irgndwas in die Medien kommt. Sie bahuten si müste ein Kline (hab-?)Brder vor debakktwerdne shcützen daß er möglicheriseaus ienr Vergewaltig absatmme. Ich erinenrmich bruchstüchaftaus meirnfühsten Kidnheit an Morde (sihe die „siet XXX tgane gafnger der RAF“) die bei Tarifverhadlugen stattfanden als die ver-handlungfüher des Arbeitgeberlagers ein Abschuss verwegerten. Manwollt die kiderzscgen fr irhe eltren die üerzgen foderung zu erfüllen idme man si dazu zwgenwollte irhe Firmanate/Immbiilen zu übereigene da ginges uternderm un Geld für „musksclsichFüherzegung“ iiats, woe malwiderjamdn ienpaarKüsletrdne gld zuschantte ich galubvomfersheen die er für denwhlkpaf brauchte. Ich weiß asu eritlekrisn daß eslute gab die an ieneim Strick aufghängt wurden wo es goßepolzesitäte gab mitSK und fornsik galubeich. Mne vrnglipfeA brigeber als Kidnerquälr oderverlger udnshclmmeres, eskurertengrhothopte Eprsser-Nacktfotos. Und ienshcrzhaareger sereb der galcubich im Judo-club war wollte user hs evrkaufe um damit sein nict vomArbeiegrevand anerkannten gehäathöhugen zwischn-zufineiren nchem deiseMordgebagen wurden. Mhefch hzete man uns Porstirueret(?) aufd en ahsl die gen diebazhlugeirhe dgshculen fschausgne mchensollten daß wir ihenzune gekommen wären. Mit egtenten Immobilenwollte man also sietns brügricher Gewreklsfchler jenen „pay_Gap“ /Diferzenetrag finanzieren dne man als grlscftelr den abrtnhemrn vorcohenahte aberbeim Abrgbervend nichtduchbekommenahtte. Man agierte mit kidnapping, vergewalting, Morden,Sprgtsoffteror. Wenoge aus der Nachbarschaft wussten bescheid ber ichgehd daov asu dß die das wiertgetrastcht ahben. Es ging dasml wie gesagt umdie Alteigetum ost debatte für die neb der Treuhand-anstaltmitirhem eormdeten Chfe Rohweder die Euroäsch Zentral-bankgegrüdet wurde. Und drüber wourde dmasl egrpchen und zehrcieh Kdidaten wollten dort chefsessel einnehmen bei deisne nuen behörden. Esmustenaj uch fpr die klärungdr strgkiten sge wi r inUserussnemutnational grichte istallert werden, EU Rcht-Schiedstelen. Und indeise Poltike/Pressemeetinsg wo man das brche „hiuerzmmeratpshäre“ artig platzen nun die kider derenavter die miete nicht zaheln konnte weil er Pleite gegangen war. Und man sgate die wollenden trsom,stvbstellendunda wr glucb ich damsl sogar „robert Habeck“ mit dabei(?) derso der dann Solarnalgen aufs Garnsch bauen wollte dmatdei Kider Strom hätten auchwenndeistdwerkenicht liefern wgen Pleite. Es ging dannuch ums Erdgas. Uer adnerme mienfüher Klssenkamer „chistian Metz“ der huet bei3sat/ZDF Mainz /kurzteiet) tätig sit wirdsich sich erinneren. Und irgendeiner der Anwesneden Schergeichte wollte dann die Kinder „Pro Bono“ vor Gericht vertreten. Erhofteich so die aufmerksmkietmeir eltern,vor allem mienrmutter udnihrekogenzu erhaschen und eindergeherte Psten beu EZBusuw. zu bekommen quasi asl Whlkapfwerbung Schow-Prozess. Udnalles wssich an Post-mnailation udnso huet she erinertmich farpprend an das Vorgehn von damals im Vafrehn Eheluet Brnd und lisearie Bähring ./. Seegers mit Anwalt Fritzel und Schramm die Liegshcft kappesgasse 2(a?) beteffend in Bad Homburg Ober-Erlenbach, daß asu de rebshcft erichte hasu. Umdiekidne rzu irhen iegen shcutz asu der rpsskoferz zru beigenhabenwir sie einem Arzt der anwend warnevrtraut dmait er dfürr sogen kann dße sie die ichtge anlafstelleneganntbekommen. Und damsl ging es darum daßman af die ideekam daß Post die wegnde umzugs verspätet zugestellt wordne war soweit ch entsinn vomegrchtvollher miteder vstchut wordne ar was „förmliche zustellug“ Umschläge anging. Udn darf wollt die damals plädierne oebwohlsie“por Bon“ vonstra wnälteevrtetenwurdes ie höte Porsskihstrulagen nicht rchtzg erhaten. Und fü mch siht das wa si tun ganu asu wie ein „Racheakt“ dafür. -------- Nachricht -------- Betreff: Faxversand an 0611327618402 war erfolgreich Datum: Sat, 28 Dec 2024 17:30:36 +0000 (UTC) Von: Fax <noreply_fax@> An: maximilian.baehring@ Web2Fax Faxversand an 0611327618402 war erfolgreich Guten Tag, folgendes Fax wurde erfolgreich zugestellt: Ihre Fax-Rufnummer: 00496924749613 Ihre Faxkennung: Maximilian-Baehring Empfänger: 0611327618402 Zeitpunkt: Sat, 28 Dec 2024 18:30:36 +0100 Seiten: 4 Eine Kopie des Faxes finden Sie im Anhang. Wir danken Ihnen dafür, dass Sie unseren Service genutzt haben. | |
|
28.12.2024 19:45 |
|
|
|
|
![]() | |
| [0] |
20241228-1945-0-1.jpg |
| https://www.tiktok.com/@maximilianbaehring/video/7453533980835515670
| |
|
29.12.2024 07:30 |
|
|
|
|
![]() | |
| [0] |
20241229-0730-0-1.jpg |
![]() | |
| [1] |
20241229-0730-0-2.jpg |
![]() | |
| [2] |
20241229-0730-0-3.jpg |
![]() | |
| [3] |
20241229-0730-0-4.jpg |
![]() | |
| [4] |
20241229-0730-0-5.jpg |
| Beihilfe/Begünstigung RAF–TERROR per Postunterschlagung Kursmanipulationen/erpresserischer Menschenraub/Straf-vereitelung, Gefangenenbefreiung, Zeugen-Medizinvergiftung/Vergewaltigung
Maximilian Baehring Hoelderlinstrasse 4 D-60316 Frankfurt/M per Fax: +49/(0)611/32761-8326 Landgericht Gerichtsstraße 2 D - 60313 Frankfurt a.M. Im Internet findet sich unter der URL http://banktunnel.eu/pdf.php und URL http://blog.sch-einesystem.de/ mein ausgedruckt ÜBER 31.000 DIN-A4 Seiten umfassendes Internet Tagebuch / Blog, als Offline Version downloadbar unter http://*** /***/ als ISO-Image (brennbar auf DVD) mit tagesaktuellen ZIP-Archiv Ergänzungen Neu: https://www.tiktok.com/@maximilianbaehring/ Frankfurt a. M., den 29. Dezember 2024 Einschreiben RR577578893DE vom 28. Dezember 2024, Fax 18:30 Uhr an +49/(0)611/32761-8402 Amtsgericht (im Hause Staatsanwaltscfat) Frankfurt/M., Hahnstr. 25, 60528 Frankfurt/M. zu Brief frankiert am 23., Datum auf dem Begleitschrieben ist 19. Dezember 2024 An/Begleischreiben mit Verweis auf nicht näher bezeichnete Anlagen, gemeint ist damit mit seinen Ausfullhinweisen aneindergetackerter Prozesskostenhilfsantrag. Einschreiben RR577578575DE vom 24. Dezember 2024, Fax 10:31 Uhr an +49/(0)611/32761-8326 Landgericht, Gerichtsstraße 2, 60313 Frankfurt/M. (Beiziehung 380 C 478/21 AG FFM Höchst) Einschreiben RR577578244DE vom 22. Dezember 2024, Fax 11:41 Uhr an +49/(0)611/32761-8402 Amtsgericht (im Hause Staatsanwaltscfat) Frankfurt/M., Hahnstr. 25, 60528 Frankfurt/M. Beschwerdeeinreichung gegen abgelehnte Befangenheitsanträge Richter 'Hommel' und 'Gottmann' unmöglich gemacht durch Nichtzusendung von Prozesskostenhilfsantragsformularen und Nicht-vorgelassenwerden im als zuständig für die Niederschrift der mündlichen Beschwerdestelle im Beschluss/Schreiben vom 05, asugetsellt am 10. „förmilch“ zugstellt 12. Dezember 2024 explizit genannten (Gebäude „B“ vom) Landgericht, Gerichtsstraße 2, 60313 Frankfurt a.M. Aktenzeichen 28098 C 360/24 des Amtsgerichts Frankfurt a. M. Klageschrift erhalten per Zustellung am 18. Oktober 2024 Begleitschreiben datiert auf 04. September 2024, „Erweiterung der Klagschrift“ erhalten per förmlicher Zustellung 14. Dezember 2024 darin Klagerweiterungsschreiben vom 19. November 2024 nebst Anlage/Begleitschreiben vom 10. Dezember 2024 daß, obwohl es am selben Tag zur Post gegeben wurde wie ein andres förmliche Zustellung Schreiben vom selben Tage, erst zwo tage später eintraf. Einschreiben RR665222780DE vom 19. Dezember 2024, Fax 15:58 Uhr an +49/(0)611/32761-8116 Einschreiben RR577577955DE vom 19. Dezember 2024, Fax 18:18 Uhr an +49/(0)611/32761-8431 an Poststelle (Gebäude E) Landgericht Frankfurt a.M., Hammelsgasse 1, 60313 Frankfurt/M. Ihr Schreiben vom 17. Dezember 2024, am 19. Dezember 2024 13:47 Uhr erhalten (per Brief-post frankiert am 18.) 2 Blatt, 3 Seiten, erstes Blatt (Begleitschreiben) vorderseitig bedruckt, zwotes Blatt „Beschluss“ (vom 16. ausgefertigt 17. Dezember 2024) beidseitig Einschreiben RR665222475DE vom 18. Dezember 2024, Fax 10:58 Uhr an +49/(0)611/32761-8402, Amtsgericht (im Hause Staatsanwaltscfat) Frankfurt/M., Hahnstr. 25, 60528 Frankfurt/M. Fax um 20:33 Uhr an +49/(0)611/32761-8402 nebst Einschreiben RR577577195DE je vom 14. zur post gegeben am 15. Dezember 2024, an Amtsgericht , Gerichstraße 2, 60313 Frankfurt a. M. an selbe Anschff/nummer auch Einschreiben RR577577204DE 15. Dezember 2024, Fax 15:58 Uhr Fax um 13:59 Uhr an +49/(0)611/32761-8325 Einschreiben RR665221594DE 13. Dezember 2024, an Landgericht, Gerichtsstraße 2, 60313 Frankfurt a. M. sowie mein Einschreiben an das „„Amtsgericht im Hause“ Staatsanwaltschaft, Hahnstraße 25, D-60528 Frankfurt a.M. 12. Dezember 2024, Fax um 18:27 Uhr an +49/(0)611/32761-8402, Einschreiben RR577576932DE Beschluss vom 04., ausgestellt am 08. November zu Fristverlägerung bis 06. Dezember 2024 nebst Begleitschreiben datiert auf 04. November förmlich zugestellt 12. November 2024 Beschluss vom 05., ausgestellt am 10. Dezember 2024 zu Ablehnung Befnagenheitsantrag und nebst Begleitschreiben 10. Dezember 2024, förmlich zugestellt 12. Dezember 2024 mein Einschreiben RR577575870DE 03. Dezember 2024, 10:40 Uhr Fax an +49/(0)611/32761-8402 mein Einschreiben RR577573556DE 14. November 2024, 13:11 Uhr Fax an +49/(0)611/32761-8402 STRAFANZEIGE WEGEN AMTSANMASSUNG/AMSTMISSBRUCH, STRAFVEREITELUNG (IM AMT), BEIHILFE UND BEGÜNSTIGUNG VON SPRRNGSTOFFNSHCLÄGEN, MORD, KIDNAPPING SOWIE VERGELATIGUNG ([1] 30. Oktober 2024 Einschreiben RR577571674DE an Gerichtsstaße 2, 60313 Frankfurt a.M. Oktober 2024 ca. 12:12 Uhr Fax, 3 (in Worten: ddrei) Seiten an +49/(0)69/1367-6301 24. Oktober 2024 ca. 14:51 Uhr Fax, 10 (in Worten: zehn) Seiten an +49/(0)69/1367-6301 Bitte entshculdigen auch sie wie ichon egstren das amstgicht im Brief umseitige detaillerte Aufstellug bisher geführter Korrespondenz im Falle, das ist leider notwendig dal bei Ihnen im Hause so viel bei Post von mir manipuliert wird. Sehr geehrte Damen und Herren! Am 18. Oktober 2024 war ich im Stadtgesundheitsamt, der Suizidberatungsstelle um mich über manipulierte Post zu beschweren denn worüber es schriftlichen Nachweis gibt und habe noch am gleichen Tage Pozesskosthilfe beantragt unter Verweis auf meine massiv angeschlagene Gesundheit in Folge des Kidnappings meiner Tochter die man mir nachdem man mich mit Psycho-Drogen vergiftet hatre (K.O.Drops-artig) anvegeiget hat auch mit Freiheitsberaubung. Ich hab nachgerechnet, es sind mehr als 10 Wochen vragangen zwischen der Anfoderung und Zusndung der Fromulare dort obwohl zwischenzeitlich gelich mehrfach schtflich per eishcben udnfax angemahnt wurde endlich tätg zu werden. Ich benötge dringend anwaltlich Hilfe da ich auf-grund von Vergfitungen die eich erlitten habe im Krankenhaus in das ich einge-liefert wurde nchem ich von korruten Polizisten die ich stfrangezegt hatte am 23. Mai 2013 erstmalig verifacht egsat verpügelt wurde. Ich habe ganz massive probleme mit dem Tippen. Vergiftung/Hädebrchen damitichnichtshciben könne hat als hemelegr rdkateur man mir vor mehrer Zeugen angedroht. Wrum schrieb ich das? Nun, der akatuelle verfahrnsstand ist daß ich mich gegen den üebruas vorschnell bevor er zu Ende begrüdet wordne war abgalhenten Befangenheitsantrag wehre. UD ganz unabhägig dvon ob ich im ersten Verfahrenszug asu dem ehrus ich dfür an das Landgericht sprgen muss ein anlt beötge hate ich si SCRFTLIHC per telfax und Einschreiben aufgrodertmir mitzteilen ob für die Bshcerdeireichung die pflicht ebstht sich duch einen Anwalt vor dem Landgericht vertreten zu lassen. Nachdem ich keine Antwort erhielt bin ich am 17. Dezember 2024 dort inde rgichtsraße 2, Gbeübde B, 60313 Frankfurt a.M. höchtsspersönlich vorstellig geworden um von irhem „herren Huser“ an de rpforte nicht eingelassen zu werdne obwohlich einen Gerichtts-bschuss dabei hatte der mir den Einlass gartierte. Ich hab mher Strafanazgen deshlab gemacht. Ich wollte meiner Rechtschreibschwäche so begegen daß ich das ganze, so kein Anwaltszwang herrscht, iefch zu protokol diktere,das hat man mir verwehrt und zar pbgelcih das Gericht das ausdüclich im Bschluss als Rchtmitelvorha, daß man es im Landgericht, Gebäude B, Gerichtsraße 2, 60313 Frankfurt a.M. zu protokoll gibt. Shconidenr vagnagheit haten mir korruet Beta evrucht Zugang zu Gericht zuz wvrhen um zu evrhdern daß ich gegen sie vorgehe, es ist nicht das erste mal das so etwas geschieht. Dabei hate ich die Information einholen wollen ob es Anwaltzwang gibt und mir gegebenenfalls einen Prozesskostehifentrag gelich mitnehmen. Zuvor hate ich mehrfch evrgelcih scftlich er Eischreuben und Telefax, vergeblich nachgfragt ud sicherheitshalber beim Landgericht beflsl Unteraleg frü Porzesskostehife zuzusenden beantragt. Es kamen gestern aber nicht etwa diese Unterlagen die überaus dringend benötigt gewesen wären zur Fristwahrung vom Landgericht und heirfür genau so getimed daß sie nicht mehr fristgercht eingereicht werden könnten denn die hätren dann als den Absender das Langericht, Gerichtsstraße 2, 60313 Frankfurt a.M. haben müssen sondern der erähnet vro üer 10 (inwrten zehn) Wochen erstmal ebtrage Prozess-kostenhilfsantrag. Anwälte haben mri die aukuft gegen daß es vschiden dieser Anäreg gibt (echeint auch logscih daß der vonienm Gericht woe manich kostarsnd slbstevrten kann ander aussieht asl vor iem gericht woe man gwzugen wird sic h altslch vetretenzu alssen)daher wollte ich sicher gehen den vom richtgen Gericht zu haben. Ob ich den denich jetzt erhalten habe ausrücklich „VOM FALSCHEN GERICHT“ im gleich dopplten Wortsinne für das landgericht verwenden kann steht nicht dabei. Ich oomme mir nun merh als evrucht vor und es passt gaz erhvrragd indei Veruch mich psychisch zu terrorisiern, zermürben und mit Gestapo/Stasi - Methoden zu zersetzen wi es im cnhrhctendiesjargong heiß, ich hab vomLagdrichtscftlich daß diese mien Telfon üerchen wielcih terrozge mit gekidpptem Kidn bin. Siw ollen mir nicht etwa helfen cn den bsuchstb des gestze zu mienm rhct zu komen wzu sei vrchte sind , sie wollen mich, wie der volkmus dasgt gößtmöglich „verarschen“. Es haldeet sich ganz klar erkennbar um einengaz gezielten Racheakt usner ehe-maligen Kappesgasse, Bad Homburg, Ober-Erlenbach Mieter mit Alteigentum Bezug. (Die lategtumdebatt war Grudn für den RAF Sprengetsoffanschlag aufherrhausen). Wie ein volkomen dchgannter Sdist undpschopath genießensie esmir vzuführen wie der Kläger ASB Geld für einAlt bekomt de rihen evrteitte obewohl ein oagrsiation die zudem ein spezlsiertes Ikassobüro iegschte hat den siche rnicht braucht, siehe die veflichtungdei Kosten für die gegensiet gering zu halten, währnd mir dem es extrem shclcht geht gepsieakt wird bis zum geht nicht merh in der kalren Hoffnung daß man den Widerpruch gendie irgerhctefrtget Foderung nicht weiter aufrchtzuerhalte versucht. Das ist ein gaz kalre bTrug an Luten die iegclich aufgurndiher pschsichn Notage als Suzidal shcutedürftig sidn, SCHÄEMN SIE SICH GAR NICHT? Die Anältin de rgegensiet ist mir hc beknnt, es istdie anältindespolzsten der wgeneirn fschaussge im Srgtoffterroevrfren Alfred Herhusen gefeurt wurde und evrucht hat mien Muter zu erpssen ihm ein Job zu geben imbandkicherist-ebrich wieldei coh als chfsekrtärin imArbitgebervrabd „budverand der Wach- und schließ-gesellscften“ tätig war. ICH WOLL ALSO IEN NCHWEISLICH GELGE HABDN POLISTEN, DS CHEIBET SOGAR DER SCHUL-BUCHVERLAG: BDUZATRAL FRÜ POLISCHE BILDUNG, SEINEN ANWALT ZAHLEN DER INTERESSEN VERTRITT P-A-R-T-E-I-V-E-R-R-Ä-T-E-R-I-S-C-H DI MIT DER ASB SACHE KOLLDIEREN? Wir eirnnern us worum esg eght. Ich werde mit rizen vonaußen wie Email und SMS und Androhung der Verstümmleung von meinen Anghörgen dzau geugen mir vor lauf-ender webcam die Pulsdernusfszcuhlitzen, es soll nch slesbtmrod asuhen, es dnn Online zu stellen. Das widerum löst dannaus daß stler die meinwebist/mien Blog lesen mir Krkenwgen rufen. Udn zar ahc denn wenn gar kein Szuzdevruch vorliget sodnrnru ein altes Bidl aus demvorjahr geziegt wird. Denncioh rückt danndie polzei samtkkrnwagen an owbhl sie weiß daß ich ienaptnetverfügung ahe die jede behaldung unetagset und remmt mir deiwphnustür ein und fessteltun eprsst mich mit isn Krkehaus zu gehen wo ch oft gene meinwillen sftsgahten und sogar massiv folfter (dfür gibt es zuegen) und vergfitet werde. Es hdelt sich dbai imdeislben beatem in deren Revier vor dem Ladgericht und dem EGMR berist urteile gab wegen genau dieser Foltermethode, man nutez das Aias „JACOistrrdktion VON METZdER“. Soie lasn dies evrcherband munter wietrfoltren. Das ist nicht emrh nur uterassne hdflisung was ie da tun,das ist aktievr strafveretlung imAmt, beifilfe und begüstgung imSprgtspoffterrofall, bei Mord, Kidnapping sowie von Vergewalting. Aber eds wird noch besser: de rhrrhsuen clan udndie deutsche Bank Berrügergnag um den ausgtschen Metllgsellsft AG Vostand Kajo Neukirchen die unedigtevrhdnern 2wollen daß die whrnehiergüde des prgtsofnshcgas augklärt werden wolltne sich ja Josb erpssen bei der inder latgetums-Debatte neu zsh scffende Treuhadanstalt und Euorpäscher Zentralbank. Idnem sie ich vordägeln wolltenmien Muter antlich zu evrten in Sachen einr (arbistitel: „staatbesuch Vergewaltigung“ in Bangkok). Dmait wollt men das Budprädialmt erpressen und jetzt rate sie mal welche Aälte vomBlkan, ich hab ja egst daß die eprssun vor allem aus derkce Balkan/ ostblock kommt da federühend war? Nien,was ein Zufall. Da ginges schon wieder um die Yougo Aälte aus abd Homburg,meirnheistadt, ist ja auch ldscg daß der ASB in Frankfurt anälte aus Bad Homburg oder Inakssonüro oebrusrel einstzet asl gäbe es hier iNFrakfurt keine. DAS GANZE ISTD OCH VON VORN BIS HINETN MNAIPUERT! Hier will ganz iedeutg ein korruterBuldl Geld vonmri eprssen und atrant das als großzüge Hilfsakion wil er doch soebtürzt gewesen sei bei anblock defots oaf den das blut nur soetzt die r mutmnaßlich bei Mordveruchslebst ausglöst hat. Ich muß daher darf besteh daß sie der Anwältin von der mir asuscheridstjerisne üer die ichzUgang hate per meienr mutter udnPresstätgkiet baknt istdaß sie expliit korrupte udnprügelden Polizsetn iN Abd Homburg vertritt. Gnau das wo das Attata auF herhuas stattfand. Merksn sie was? Di Plisen die ihr total Unfähgkeit kaschieren und mich mit enführten Kdern/Untägekiet beim Kidpping erpressen sidn mußtamßlich egnaudiejenige die gezielt dies Suzidevrcuhe auslöse/triggern. Merhfch habe ich darf hwigeisen daß mien Folterkechte Täter aus den rihen de rpolize Jtz und Midzinermfia kommen die hiflose eprosn ausplündert. Und es passt prima isn Bild wenn sie sjsctz shconwider shciße baun bei der ÜBER ZEHN WOCHEN VERSPÄTETEN zusendung der pozesskostehifluterlagen. Auchdas ist gezilter Pschoaterro mit demman mich dromaliert, mioch dm es misrbale genug geht dazu brgenwill nuerlich Slbstmrofdveuche zu uentrenhmen. Ihre polize und Justzbedieten sidn sdistche verlagte Mördegangs die auf bhderte ieügeln um es mal verifcht aufden Pukt zu bringen. Dahiter ecken cuh noch ndiere bweggürde, man wolltemichzuwgen die „Statsbcuh Vegrrltigunsg“ gschichte den eprssern zu geen die sichmit ihre ohsn sie hedmsl ebssen zu haben was evtke Exlusiveröfflichusrchte agehtdei es gar nicht gibt. Erst wllte mir ja niemdn glaueben daß es um RAF Terro geht bsi ich der RAF Terrorist Garweg medet zusmen mit der lisktxermitshc Tageszeitung „TAZ“ und proklaierte die ekxlusivrchte derharrahsu egshcihet gehörten sein wälten damit erdmait möglich viel Geldshcffeln köte vollkomen unrhalbeich in shclen zsmmenhag er wiklich mit dem Attentat steht. Ich hab ja soweiseo egst dß ieglich lägst der gerstatsnlat ode general-bundes-anwalt häten üernehmenmüssne wile s hei rnicht urigencleh rhcnugen geht für kanrwagen sodern um ZEUGENMORD! Der ezge den man zu ermrden evrucht soll den krankenwagn den er nicht gerüfen hat udner unnötg war dessn bestzung ihn drangsakliert und geflter hate am 24. Dezeber 2023 damit irgen ein selbster-nannter staranwalt sein „weihnachts-show“ asl großer „retter“ abziehen kann in der Hoffnug so ie giten Job im Banekumdlfd zu bekommen auch noch bazheln. Bezahlensie denneien Pizaz die jemdn danders asl üblenshcerz für sie ebstellt hat die sie bar gar nicht geliert haben wollten? BNEIN, NATÜRLCJH NICHT! Es wird aber noch vile besser: denn die Anwältin hat ireh Kzalie nicht nur wenge Meter efsernt vomhaus mienr mich uterdogen vergeltgt habenden Ex aus dem BDSM/Sado-maso Umfld di ncoh ienwetren Ex-Freundvon sich de rauf mysteriöse art und Weise zu Tode kam auf dem Gewissen hat. Ud nicht nur das,ich weiß acuh daß sie ein Bekannte ist der Komlltoninvonmir die berodht wurde mit der ich eine Liaison hatteE den 1998,sie erkheret dasml indern Kine hexnkssel woe cuh korrute Bullen sich betranken. Sie evhöhen und verarschen, mich, wohl winsend, riksiernd daß ich dabi ein neuen sizdevrcuh uterhemen der dann zum für si gesüchten Egrbis fphtrt, meinm tod vor laudfer kaera bevro ch asgen konnt denn das Materialkannmannschsychrinsieren und ienge der Keute asu dem Täterufedl arite asl Tocnhcniekr iNStids undbeimTV. SIE ELLENHEIR EINEN SÜDNBOCK AUFBAUEN FOLTREN UND ERMORDEN. Damit bloß nicht ehruaskommt wie ivle shciße ireh Justz gebaut hat. SONST WÜRDEN SIE NÄLICH DAS/DIE VERFAHREN ORDENTLICH FÜHREN! UDN gau dieser Misstand ist gurnd für den algastrag gegen die Richterd ern namenso komsch sind und kr baknnt vokommen aß ich wezfeln muß daß es sich dabi i wrklich Jursten delt iens rhctstslchendsuchen gerichts. Ich hab erher das gefühl da evruiche sich die karreiregeilen Anwälte die bei der Herrhausen – Alteigentum Shcidnerei sich Josb erpssn ollten in ienm „show Pozess“, daß diese „shcusipelr-dsrteller“ ählich dem „TV Event tichüergebrzess Inszerierung“. Ier geziltaufdem Rücken vonOpfern verchsich Immobilen zu erchleichen und Postion beidern Behördn der EZBewta die für die ebrtung derlatgusmrisken indensogbietn udner DDR zu-ständig sind. Ich gwhe jede wette ein daß die Anwältin di der ASB neutz dort mitmischt beim „Jobkarussel“. UD daß man das aufmeien rückan asträgt vollkommen rücksichtslos udndie Lügeprssenshcbet nichst drüber wie die RAF Terrostenwie agrweg ihrmit kalgen wegenExklisveräfflichgsrchtenimFll herrhasuendohen. WAS ICH ABER AKTUELL ZUNÄCHST VON IHNEN WISSEN MUSS UDN ZWAR D-R-I-N-G-E-N-D: Istdr Proszesskothilfeantragfrurmualrbogen den mir nch üer 10 Wochen wartezet denlcih das amtegricht zusgedet hat distciech/auch verdnebar um sich damit nen Anwlt für die vetrung vor dem Landgericht zu ebrogen? Ja oder Nein? Und: berdf es für das Einreichen der bschder was den alhnugatrag angeht vor demlagricht einer Vetertung duch ein Rechstanwalt vor deisem Gericht. -------- Nachricht -------- Betreff: Faxversand an 0611327618326 war erfolgreich Datum: Sun, 29 Dec 2024 06:32:09 +0000 (UTC) Von: Fax <noreply_fax@> An: maximilian.baehring@ Web2Fax Faxversand an 0611327618326 war erfolgreich Guten Tag, folgendes Fax wurde erfolgreich zugestellt: Ihre Fax-Rufnummer: 00496924749613 Ihre Faxkennung: Maximilian-Baehring Empfänger: 0611327618326 Zeitpunkt: Sun, 29 Dec 2024 07:32:09 +0100 Seiten: 4 Eine Kopie des Faxes finden Sie im Anhang. Wir danken Ihnen dafür, dass Sie unseren Service genutzt haben. | |
|
29.12.2024 10:30 |
|
|
|
|
![]() | |
| [0] |
20241229-1030-0-1.jpg |
![]() | |
| [1] |
20241229-1030-0-2.jpg |
| Den kommeden Wahlkmapf kann man sich übrigens schon deshalb sparen weil niemand mit der Lügenpresse Mafia aufgeräumt hat. pi-news, kath.net usw. hatten vor 10 Jahren absolut recht als man von ner "Balkanisierung" sprach in "alt right" Kreisen. Ostblock - Verbrecher alles. Miese Putin "make UdSSR great again" Kollaborateure. Es ist nunmahl so daß Wahlentscheidungen sowas wie eine freie unabhägige Presse erfodern die unabhägige recher- hieerte informationen liefert wie die Alternativen sind und das ist definitiv nicht gegeben. Das sind kein Politiker das sind alles Marionetten Moskaus die uns mittels un-gebremsten Armutszuwanderung schleichend ent-eignen. Politiker und Journalisten wie ich werden dazu erpresst nicht an Wahlen teilzunehmen ewta we bei mir mit ent-führten Kindern und Psychoterror. Die Wahlbeschwerden die ich eimgereicht hab werdne einfach nicht bearbeitet die wohl selbsternannten Wahlleiter sind korrupt. Und vor allem kann man bei den aktuelen Parten die ergebisse soweiso schon vorhersehen. Da die CDU/CSU sich weigert mit der AfD zu koalieren ist ei iezge denkbar Koalion nach der wahl eine schwarz/rote groko aus CDU/CSU und SPD. Genau die Verbrechebande welche inden vergangnen 15 Jhren die ganzen Schäden ange-richtet hat und dafür ge-sorgt hat daß nicht konsequent abgechoben wird obwohl 2/3 der wähler (= alle deutsch-stämmigen ohneMihiGru) dafür gestimmt haben. Nicht Wähelr/Gesetz bestimmen sodner korrupte Beamte.
https://www.wahlrecht.de/umfragen/ | |
|
29.12.2024 16:30 |
|
|
|
|
![]() | |
| [0] |
20241229-1630-0-1.jpg |
![]() | |
| [1] |
20241229-1630-0-2.jpg |
![]() | |
| [2] |
20241229-1630-0-3.jpg |
![]() | |
| [3] |
20241229-1630-0-4.jpg |
![]() | |
| [4] |
20241229-1630-0-5.jpg |
![]() | |
| [5] |
20241229-1630-0-6.jpg |
![]() | |
| [6] |
20241229-1630-0-7.jpg |
| Beihilfe/Begünstigung RAF–TERROR per Postunterschlagung Kursmanipulationen/erpresserischer Menschenraub/Straf-vereitelung, Gefangenenbefreiung, Zeugen-Medizinvergiftung/Vergewaltigung
Maximilian Baehring Hoelderlinstrasse 4 D-60316 Frankfurt/M per Fax: +49/(0)69/1376-2030 Gemeinsame Poststelle der Justizbehörden Gerichtsstraße 2 D - 60313 Frankfurt a.M. Im Internet findet sich unter der URL http://banktunnel.eu/pdf.php und URL http://blog.sch-einesystem.de/ mein ausgedruckt ÜBER 31.000 DIN-A4 Seiten umfassendes Internet Tagebuch / Blog, als Offline Version downloadbar unter http://*** /***/ als ISO-Image (brennbar auf DVD) mit tagesaktuellen ZIP-Archiv Ergänzungen Neu: https://www.tiktok.com/@maximilianbaehring/ Frankfurt a. M., den 29. Dezember 2024 Einschreiben RR577578893DE vom 28. Dezember 2024, Fax 18:30 Uhr an +49/(0)611/32761-8402 Amtsgericht (im Hause Staatsanwaltscfat) Frankfurt/M., Hahnstr. 25, 60528 Frankfurt/M. zu Brief frankiert am 23., Datum auf dem Begleitschrieben ist 19. Dezember 2024 An/Begleischreiben mit Verweis auf nicht näher bezeichnete Anlagen, gemeint ist damit mit seinen Ausfullhinweisen aneindergetackerter Prozesskostenhilfsantrag. Einschreiben RR577578575DE vom 24. Dezember 2024, Fax 10:31 Uhr an +49/(0)611/32761-8326 Landgericht, Gerichtsstraße 2, 60313 Frankfurt/M. (Beiziehung 380 C 478/21 AG FFM Höchst) Einschreiben RR577578244DE vom 22. Dezember 2024, Fax 11:41 Uhr an +49/(0)611/32761-8402 Amtsgericht (im Hause Staatsanwaltscfat) Frankfurt/M., Hahnstr. 25, 60528 Frankfurt/M. Beschwerdeeinreichung gegen abgelehnte Befangenheitsanträge Richter 'Hommel' und 'Gottmann' unmöglich gemacht durch Nichtzusendung von Prozesskostenhilfsantragsformularen und Nicht-vorgelassenwerden im als zuständig für die Niederschrift der mündlichen Beschwerdestelle im Beschluss/Schreiben vom 05, asugetsellt am 10. „förmilch“ zugstellt 12. Dezember 2024 explizit genannten (Gebäude „B“ vom) Landgericht, Gerichtsstraße 2, 60313 Frankfurt a.M. Aktenzeichen 28098 C 360/24 des Amtsgerichts Frankfurt a. M. Klageschrift erhalten per Zustellung am 18. Oktober 2024 Begleitschreiben datiert auf 04. September 2024, „Erweiterung der Klagschrift“ erhalten per förmlicher Zustellung 14. Dezember 2024 darin Klagerweiterungsschreiben vom 19. November 2024 nebst Anlage/Begleitschreiben vom 10. Dezember 2024 daß, obwohl es am selben Tag zur Post gegeben wurde wie ein andres förmliche Zustellung Schreiben vom selben Tage, erst zwo tage später eintraf. Einschreiben RR665222780DE vom 19. Dezember 2024, Fax 15:58 Uhr an +49/(0)611/32761-8116 Einschreiben RR577577955DE vom 19. Dezember 2024, Fax 18:18 Uhr an +49/(0)611/32761-8431 an Poststelle (Gebäude E) Landgericht Frankfurt a.M., Hammelsgasse 1, 60313 Frankfurt/M. Ihr Schreiben vom 17. Dezember 2024, am 19. Dezember 2024 13:47 Uhr erhalten (per Brief-post frankiert am 18.) 2 Blatt, 3 Seiten, erstes Blatt (Begleitschreiben) vorderseitig bedruckt, zwotes Blatt „Beschluss“ (vom 16. ausgefertigt 17. Dezember 2024) beidseitig Einschreiben RR665222475DE vom 18. Dezember 2024, Fax 10:58 Uhr an +49/(0)611/32761-8402, Amtsgericht (im Hause Staatsanwaltscfat) Frankfurt/M., Hahnstr. 25, 60528 Frankfurt/M. Fax um 20:33 Uhr an +49/(0)611/32761-8402 nebst Einschreiben RR577577195DE je vom 14. zur post gegeben am 15. Dezember 2024, an Amtsgericht , Gerichstraße 2, 60313 Frankfurt a. M. an selbe Anschff/nummer auch Einschreiben RR577577204DE 15. Dezember 2024, Fax 15:58 Uhr Fax um 13:59 Uhr an +49/(0)611/32761-8325 Einschreiben RR665221594DE 13. Dezember 2024, an Landgericht, Gerichtsstraße 2, 60313 Frankfurt a. M. sowie mein Einschreiben an das „„Amtsgericht im Hause“ Staatsanwaltschaft, Hahnstraße 25, D-60528 Frankfurt a.M. 12. Dezember 2024, Fax um 18:27 Uhr an +49/(0)611/32761-8402, Einschreiben RR577576932DE Beschluss vom 04., ausgestellt am 08. November zu Fristverlägerung bis 06. Dezember 2024 nebst Begleitschreiben datiert auf 04. November förmlich zugestellt 12. November 2024 Beschluss vom 05., ausgestellt am 10. Dezember 2024 zu Ablehnung Befnagenheitsantrag und nebst Begleitschreiben 10. Dezember 2024, förmlich zugestellt 12. Dezember 2024 mein Einschreiben RR577575870DE 03. Dezember 2024, 10:40 Uhr Fax an +49/(0)611/32761-8402 mein Einschreiben RR577573556DE 14. November 2024, 13:11 Uhr Fax an +49/(0)611/32761-8402 STRAFANZEIGE WEGEN AMTSANMASSUNG/AMSTMISSBRUCH, STRAFVEREITELUNG (IM AMT), BEIHILFE UND BEGÜNSTIGUNG VON SPRRNGSTOFFNSHCLÄGEN, MORD, KIDNAPPING SOWIE VERGELATIGUNG ([1] 30. Oktober 2024 Einschreiben RR577571674DE an Gerichtsstaße 2, 60313 Frankfurt a.M. Oktober 2024 ca. 12:12 Uhr Fax, 3 (in Worten: ddrei) Seiten an +49/(0)69/1367-6301 24. Oktober 2024 ca. 14:51 Uhr Fax, 10 (in Worten: zehn) Seiten an +49/(0)69/1367-6301 Entschuldigen sie bitte we shconine meienandern Briefen von gestern und heute an das Amtsgericht inde rhanstraße 25, 60528 Frankfurt aM. Und das landgicht in der Gerichtsstraße 2, 60313 Frankfurt a.M. im Brief umseitige detaillerte Aufstellug bisher geführter Korrespondenz im Falle, das ist leider Gottes zsgend notwendig dal bei Ihnen im Hause so viel bei Post von mir erwisenmaßen manipuliert wird. Sehr geehrte Damen und Herren! Am 17. Dezember 2024 war es wen ich mich nicht irre bin ich höchstpersönlich mit dem Orignal des mir am 12. Dezember 2024 zugegangenen Schreiben vom Amtsgericht Frankfurt a.M. in welchem sich iesbchuss befd daß der noch nicht einmal zu Ende begrüdete Befangenheitsantrag gegen Richter „Hommel“ abgelehnt werde bevor er vollstädige gstellt wurde. Beiienm bfahistrag erkärtmenden richer er den ge-utteilt wird für ebfagn umdann iem zwoten, andernrichtergenüer zu begründen was man gegen den Richter vorzubringen hat. Ds wurde ab rnicht abgweartet owbohl ich epxlizt darf bestnd hate sobl derichter ebakktn sie derüer den fangahistrag betshcdiet ihm ggenüer persölchwieter schvortrag leisten zu dürfen. Ds hat man udns ist ienklare rchtrvuch irgeoret. Das steht um Bshcluß der 10. Dezber 2024 aus-gefertigt in mein Briefkasten lagam 12.Dezber 2024 nebst einer datilleretn Rechtsbehelfsbelhrung aufdr eidcutg satdn daß ich mich wen ich Einwände hätte beschweren könne idme ich deise Zu Prtokol gebe im gebäde deslandgricjht, gerichtstraße 2, 60133 Frankfurt a.M.. Es gibt’s ogar Vidoaufnahmenwie ich dem für deneilass zuständigen betan das vordie nas hatel. Dier vergerte mir aber den ztrett ebsiow ei die auskuf ob ich für den „gans vors ldgricht „ien analtbruche. Warf mich rgercht aus dem Gebäude. Eingaz geziletrrcheakt von ihm udnandrn Justzbedieten die idner Gerhcft orgiserte sindist zu ermutenum ienr mUterdei ImAbritgeebrvarnd der sichhrstdste tzt alsChfesreärin eisnauszuschen. Ich hab das ntülich softrt zur stfazge gebracht. Den Vorfall schiftlich egshcidlert. Ein beatin merkst sogar genüer irhen Kollgen an daß man mich daß ich mich anch Forularne fr Prozess-kostehilfe erkudget hate ud mn mich aus dem gebüde warf als Kritik dsien geenpüer formuliert qusi daß das os nicht gehe. Ich weiß nun also immer noch nicht obanwtszangherrshct für die Beschwerde. Ich hab voschtshalber ienpriozesskosthilstrag angfodert vomLdnegricht. Dcoh satt vondort kam nun gestren ein anderer an der am 18. Oktober 2024 vor üer 10 Woch shcftlich agfodert wardne war. Ich hatt shcon damsl vor Zgen des stadt-gesund-heistamets daraf verisen wier massiv gschlampt würde bei ihnen mit der post - Zustellng, daß man vuche mit psychoterror mich dazu zu bringen mir,d eer als laten uszidal disgsoerzet ist, erneut vor lafder wbcam die pusdrn usfshcltzen damit meinsdsicth verlagtenstalker ihrne spaß ahben wie ich uter der situataion mitmeien neführten kine udnmienr inden ruin getreben firma dak totalevsgen vonPlize udnjutsz imürgen leide udndarunetrdaß man mich evrgeltgt udnzu rchte derfieht beraubt hat um zu bedhern daß ich an lwhlen teilnhemn ode miener unet-gelktich asugebü+ten nebher tätgekeitals Hoobyb-jorunalosutBlger nchgehen kann, imerhan wr ichmal in ner zetung zsumen mit Luetndie späetr dann beim Fernsehen anfingen wie mein Redktionkollege “Christian Metz“ von 3sat (kutlurzeit). Es ghet darum mich so lange eien mödersich Duck asuzustezen duchorgsierten Pschoaterro, das emfidne auchdner so, Fchlet die mir shcben, daß ihcmich aus verflung eür die nichtfuktioernde Justz vomHischstürzen doer vor den zugw erfen soll. DAS ISTDSUITSCHSTE QUULREI BEI DE RIHRE JUSTZBDIETEN GEZILT MITTÄTER SIND. Imprinzip evrchte Morde von mir asl ichtgem Zgen inSprgtsoffterroschasnchagschen inmehr als 10 Fällen. Es gibt Korruet Luet dierJustz die wessn daß wennich enmal vor Lve-fsrhekameras aussge ihre karrere bedenet sit udnsie den rstd es lebens im Knast landen. Daher evruchtmanmich zu rmroden oder uschädlich zumchen. Das kann ich hieb und stichfest beweisen. Und azu gehört ch daß man satt mir der wegen einer meidkamnetveftung im Krankhasue nachdem er von korruten Polizisten die er vorher angezeigt hate zusammengshclagen worde war kaumerh richt shcben kannjemdne zur siet zustelen de rmien Eisducneg ans egricht zu Ditat uafnimmt, aslodstt daß logsche zu erledigen m jemdem der zjmRhctcebianvldienwurde duch Pfusch von Ärzten, Polzei und Justz zu inem Rcht als Bhederter z evrhfen, vercht man mich, unertröässtdie hlfleistung mit dem Ziel daß ih mir aus evretzflug die pusldernusfchlictze. Ich enndedie artde rvafhrnführung ger eien Morshclag. Jedenfalls ist es so daß ich nun notgedungenerweise mit letzet Kaft den antrag den das matgerict mi zusgsndt habe verwende umd ait für den eveteullen Anwalts-zwang vor dem Landgericht eine kostenüerbhame für den und nshclißend ein zu Anwalt besorgen. Warum eght es indemvafhren vm Befangenheitsantrage gegen eien seine Arbeit nicht gewissenhaft ausführend Richter „Hommel“ in dessn Gschäfstelleich ein füher mit-shcülerin von mir oder dern fmilenaghörge enttaranen konnte vondrn Pozess-beturgs-basichtenichweiß siet sie mir vonihrem Jura stidum erählet Ende 1998? Ganz einfach: Ich bninZge inmerhe Stravehfren wo es um terrorismus und Gruppe- vegreligugen bei ieme stwsbcuh geht mit dem uter adnerm Oskar lafontaiendu Christiam Wulff erpresst werden könet ausgen wer die Täter sind. Es handetl sich um Ostzblock Satlsisten udnAlt:_nzis diemite rpssungen erichn wplten daß duchdie beden oszslsicteh Diatren etgenets Algteum zrückggebe wird an Judne und heimat-Vertriebene. Damit ch nicht enretner wer da die Poltik imWetsn,daruetr auch Blllc lcinotn dundolad Trump rsst hat üer jahzette mit „Me2“ „fake-news“ vrucht man zu rchendaß ichmir nchdem man mit meien gekidppaten kd fak gstsöädnsse erzwungen hat daß ich mir die pulsdern sucflictze vor lafdner bedmca und diesen ebstefalsl auf den allerersten blick scheinbaren Selbstmo asl letzetn Betrag aufmeirnwebsite poste. Dacuh kann man dann wiel die siche nicht afklärt wird wietr die wetlcehnPoltiek erpressen. Solbad man mich mal wider mit Schlüsslrezne, „tiggern“ vonaußen dazu berght hat mir zu evrhcnedas leben z nehmen komt dann ienwetre teilmer sdistchen stalker udnsgtellt karkangen umsich als held afzspilen. Und zar explizt isnboderauchdann wenn gar kienakte notaleg existert osdnr eta an ein vegangen Sizidevrch erinet wird wie den vor 10 Jahrn am 24. Dezember 2014. Dies oksten will man dann meiern Krankenkase udner Allgemeiinhet einreichen und dvort evrhce ich die versicher-tengemeinschft zu shcützendiem ichienprivarechug verlange udndies nicht zahle, udnzar bscihlich, sodnrn daraf besthe daß die statnslct ermittel welcher Stalker mri da unerüchet Krnewgnbestellt. GENUA DARUM GEHET ES. Jede rnoemal Mensch würde das problem nach kurzenm vortrag erkennen udndie klage wbasien aber der ABS Abrietr samriter budn denkt nichtdarn sattdden jagt manmir vondem man wieß daß er latent suizidalist ein Kregwagenikasso nchdemnäcsten auf den Hals. SO las wolle man sih nicht nur zu rcht ebrichern sodenr auch den Kriminellen Möerdgäansg helfen mich so lang idnei Ecke zu reben bic ich mich asu evrflung eür die perment uetrassne hiflesitungde rkorrute Pügelpolzie ernuet die pusdsrch suscfhlze. Igrndien Sadist nimtm dnnmien akten und bahte das sie ra nich ich sodnr ein bedohte frau das sei nur falsch zuegrodet vegreltgte Mäner mit neführtenKidenr sowas gebe se nicht. Da gheet es cuhdarum dßa man Luet die möglicherise villcht für ienalat spend wollen ebtügt undern Geld indie eige stche umleitet. Shcon imZivlduist habe ichdie massive korruteion dermdizbmsfia bekäft undmir dabi zahrich Fidneegcmht. Etwa wie kLinke vrcuhet absichlich alet faruen auszupüüdern. Auh das it ie grud warum manc mich aus arche fertgamchen will. Zudem gibt es dann och ein paar „politker“ die ein msies Tahetr/Shcuspielspilen auf dem rücken der opfer und sich so mediräsuzenduwählrtsmmen erhclichewollen duch iensizenierung. „ich dr tolle stranwlt helfe dem Mannd rmeien helfe garnicht will anwhnchten“, dafür müst ihr mri jetzt abr dne Josb asl Bhrödenchef zsuchazen sodei irchtung. Es ist also offnsichlich daß derichte rHommel ei korrzet shcinist wiel er das vefahrn schfremd zscksftemdet, eganu wie sein Kolleg Gottmann de rüebr sienBfaghistrag bshcidn hat vorshcnll hei rnicht ire Abrietmchensodnr iejustz beutzenumPotikz brben und jemanden sbcihlich unet hutzfügen shcret geiudhissthcdöen ferttg zuamchen. Dnnwie sgat,Losgcherise muß ich ienKrkegwan den ich nich bsteltl habe und nicht beöteg auch nict zaheln. Das ist die Rechtlage. Da komt uchd as gericht nicht drann vorbei an rcht udnegstz,so sherman sich auch beühtds rcht zu ebegn udnbrchne wo esnur geht idsem Falle. Und umienrhcte duchzustezn brch ich nun wohl lder wine Anwalt und dahr stelle ich om vorgannet Varhenden begfügtenPorzsshkosthifltrag imertsn etwirfe, Als ich nundas von ihnen üerstde Fomualr uezehcn wollt file mir aif daß da gar kein Uschftenfled für michasl atragsteller voegshen ist sodner nur „uetrsfct de rpartei und person die seigestzlich evrteitt. Absatz K. Aufde rlezten siet des foualrsatzes. Die gibt es aber nicht. Und die ist auch üerbahut nicht nötig. Ic hab ne rchtscbbehoderung wiel amn mich vergfiet aht kienebetreur. Ich bin üer 18 und voll sgchäftsfähg. Ichuetrschbe wnn dann selbst! Wobe geleiste ushcften sowei nunll udnnichtg sidn so langemanmich mit inem etführetn Kdn udnandrohungvorn strümmelungmeirn agehörgen nötgtdies zu leisten. Undqannist mri noch was aufgafellen. Auf der Seite 1 des Formularsatzes stehet ganz unte liks (Absatz D ZP 4E) „SATZUNG und gestaltung“ Ich galube wir sind usn einuig daß es sich dabei umien fhr im Forular handeln muß. Den richtig wäre hier in dem Zusmnhag wi eafden ausfülljwiesen „SATZ und Gestaltung“, nicht „SATZUNG“. Das stimt och shconwider etwas nicht. Das istdich gartert ienforlarstaz fr meiderährge de rüf mich garnichtassnd ist. Setckltda weta dies Lstakeirndahter vor dermüterafai, die ex Frau usners mIters „seegers“ aus der kappsgasse in abd homburg oebr-rbechder wenn sie dem das vogen egnazbstimt eindeavur hat wi eich auch. De rhat verucht mich undmienr letren ze rpssneihm ienMitemiderung zu svcaffen bei dem ahsu wa smienletren ihm evrite haben als er iMrahmensienr handerketätgkiet pleite gegangenwar. Da vertcht dochprmant irgndkedm irgdlche akten und zwar emd bei d rjustz und luet beir de rpost. Und si eind eifch zu fals ds ordlich zu emitteln. Udngen genau diese Art d rshcmprei wnedenichmeirnbafaghisträge. Die ja schonagalhet wrdne bvpr sie zuende zu prier egcgt wurden. Und das gaze mchen sie mit jemdemvon demihen ebstens beakntn ist daß er augfudn d ristuatiomt Kidpping uswe.stets nahe am slebtord ist.Also ich dneke maldas ist ienrdveruch was sie d mchen,si evrchueneinneun „trigger“, Shclüsslreiz“ zu setezn anhend dem ich mir staat mein rechct weiter eizufordern udnfrü zu käpfen aus ewvrzflug üer das unätg belibende sic nicht an die rechtsordnung haltende gericht erneut die pusaden susclcitzen. Das sitdch was sie damit erich wollen. Das ist kal erknnabr. PECH GEHABT. Fukieriert diesml nicht. Ich laß mcihvon sotenwie ihen nicht emr bedckendr sishcächtern. Begügt inden sie nu denausfgüllrn, abernICHTUTERCHBENE Poresskostfilstrag da das erfoderliche fld fürdie tschft fehlt, dazu miuen HarttzIVA/lg2 Besicd, Miet-vertrag, kautelelrkotoauszug. Jeder labweg nromal rockend Justbdieten würde daspft dfür sgran daß manwennamn krnlaitäbdisgt uum rchtschibavlidn/bdertwneir dslo Opfe rnichtasglacht wird sodnr lfe bekommt. Inform eins alats. Und genau ds veerlag ich jet vonohen, daß sie nemal verdmmcte shciencoham irh Jobe machen. -------- Nachricht -------- Betreff: Faxversand an 06913672030 war erfolgreich Datum: Sun, 29 Dec 2024 16:16:58 +0000 (UTC) Von: Fax <noreply_fax@> An: maximilian.baehring@ Web2Fax Faxversand an 06913672030 war erfolgreich Guten Tag, folgendes Fax wurde erfolgreich zugestellt: Ihre Fax-Rufnummer: 00496924749613 Ihre Faxkennung: Maximilian-Baehring Empfänger: 06913672030 Zeitpunkt: Sun, 29 Dec 2024 17:16:57 +0100 Seiten: 22 Eine Kopie des Faxes finden Sie im Anhang. Wir danken Ihnen dafür, dass Sie unseren Service genutzt haben. | |
|
29.12.2024 18:10 |
|
|
|
|
![]() | |
| [0] |
20241229-1810-0-1.jpg |
|
29.12.2024 18:11 |
|
|
|
|
![]() | |
| [0] |
20241229-1811-0-1.jpg |
|
29.12.2024 18:50 |
|
|
|
|
![]() | |
| [0] |
20241229-1850-0-1.jpg |
| https://www.tiktok.com/@maximilianbaehring/video/7453892318811180310
| |
|
30.12.2024 07:35 |
|
|
|
|
![]() | |
| [0] |
20241230-0735-0-1.jpg |
|
30.12.2024 08:00 |
|
|
|
|
![]() | |
| [0] |
20241230-0800-0-1.jpg |
![]() | |
| [1] |
20241230-0800-0-2.jpg |
![]() | |
| [2] |
20241230-0800-0-3.jpg |
| Bin immer noch stark erkältet, tue kaum ein Auge zu bei Nacht, bin froh wenn ich mal drei Stunden am Stück ein-nicke. Das shcnt ien Problem hierim Haus zu sein, denn in dar Nacht an dem Tag als ich "Vitamin C" kaufen war, da hörte ich aus eineer Nachbarwohnubg ebenfalls hefigste Hustanfälle. ZU ende von Trumps erster Amstzet hat die CIA ja behauptet Corona sei eien Biowaffe aus China. Und ich binda ja auc mal bedoht worden daß man mich gezielt krken machen wolle wenn ich es wage auszusagen. Da gibt es Zeugen für. Das ist ja einer der Gründe weshalb ich mich von "Medizner"n fernhalte, Juli/August 2018 fast umkam weil mir niemdn ein Zahn-behandlungs-kranken-scheins ausstellen wollte trotz notwendiger Behandlung wegenmassivetsr uetrgäglicer Schmerzen. Man hate mir ja auch Shcäden meiner Zähne per "kotakloses Boxen" folter angeküdigt Ende 1998 wenn ich üer die Sauerein schreibe, Anwlt Schramm, dermeienletern um irh Hau btrüge wollte udnzufällig ien WG Mitbeoher von Adrea Ressler meiner Komillitonin, de bedrohten schwangeren Liasion mit de rGeldsäche Kine war defitiv mit anwesend. Als ich getren abend gegen 18:00 Uhr meine zwo Briefe zur Post bringen wollte beobachtete man das Haus und ich rife den beiden Herren zu hier sei RFA Sprengstoff-terrorvefahren Zeugeschutz und frgat was sie da machen würden da hiße es man wrete auf jemdn, wie egsat es gibtja uch welche von denen (HBOmax SPY/MAster) die sich dreisterwise
sogra hier im Haus engemietet haben. Das ist ja zschen auch bestägt. Udn in mienr Heimatstadt hat es ja auch Spiogaebdige Verfatugen gegeben, der eien doer ander mag sich noch and ei Vrwürfe egegnMaximilia Krah vonder AfD erinenrn wegn Chian-Siopgae, zeitgleich dazu war das etwa, nicht nur in mienr Heimatstadt Bad homburg sonder sogar in unserem sehr kleien Ortsteil Ober-Erlenbach die Bild bachte dazu zwie riseartikel, ich glaube sogar Titel. Aberzrcük zuegstren, nchemdie beden pmpig wurden ahbich egst es reicht mir jetzt engültg und ich rufe die Polizei. Dort ligen ja bweisvideos vor wie ich bedoht wrde beim verlssendes hauses und ne Nachbarin sagt (das ist sogra afdem idosoagr zu hören als ich sie frage obe sie das uch gehört hat daß sie das bestätgen kann), sie will aussagen das hat sic auch auf spätere Nachfrage nochmals bestätigt. Im Intrenecafe angekomen konnet man sich kaum bwegenso vile Luzet stand da rum, der ein der mich nagpöbelt hate und ienr vonden vonden ich glaueb daß siedamsl dabi waren asl icvh vor dem Intercfe anagriffe wurde, ich glaub am 22. März 2014. Damsl lief gerde dqas verfahrn wgen Fpter in zu unrecht erlittener U-Haft um mich vom Wahlkmapf abzuhalten. So ählich wie manmichevrfate hat als ich mit pieren mit inetveiwfrageidner hand vehfte wurde asl ich die ejtztge EU Komission-präsindetetin/ Verteidigungs-misterin von der Leyen zur Rede stellen wollte wegen der Soldatenver-gewaltrigungen am 15. august 2018. Und dann gibt es ja nochdie whalbscherde wegen Sibylle Berg. Wäre die Rgeriung nicht freilligegegangen spätetsn wenn das bekannt gwordne wäre dann hätten die gehen müssen. Presse udPd olitk udn freies Unternehemrtum welches den gwerkscftsappstshcik kartellen im Wge stehet wird eifhc mit Kidpping oder mord ode rbrutaler gewalt von wahlen angahltn. Derehleiter wegert sichds zu proto-kolleren, aber es gibt genügend anadre Protokolle dazu. Die GroKo Vrchbrand war nr um Wamt dnk Wahlbetrug. DAs gilt auch für Brüssle/Straßbugr.. Asl ichdann vom Itretecfe wierder zrückkam waren die beiden Männer wegn, keinerlie Polizei zushen dafür aber eine weiter Frau die das hasu efalls vonder gegenüber-lgenden straßensiet aus observiert hat. DI eghörte whl zu denBulen dennsie sgte mir "pass gut auf dein Handy auf" als ich das zückte, "sonst ist es weg" und sowas ist ien ganz typscher Spruch von Frankfurt Bullen die man im Einsatz beim Sauereioen mchen filmt. http://wuergerjagd.blogna.me/wuergerjagd/20140322.htm http://banktunnel.eu/sch-einesystem/20170815.htm | |
|
30.12.2024 09:00 |
|
|
|
|
![]() | |
| [0] |
20241230-0900-0-1.jpg |
![]() | |
| [1] |
20241230-0900-0-2.jpg |
![]() | |
| [2] |
20241230-0900-0-3.jpg |
![]() | |
| [3] |
20241230-0900-0-4.jpg |
| Nun aber zum #Tatort Krimi vom gestrigen Sonntag, den 29. Dezember 2024. Es ging um eine juge frau die irgend-welche Pr0n-Videos dehte udn damit Geld verdiente was mich aien wneg an den Ex-Freund der mutter meiner Thcter erinnrte dessen neu Freundin Partys im BDSM/Sado-Maso Milieu organisierte Freund aufmyteriöse art udnwei ermzu Tode kam vor üebr 10 Jahren wie ich ien gmsmerbakkte mri gegenüer ausdrückte. Da wo ch aucgder siche nch ien kodolenzshcft aufd em webserver der domain dieich von ihm wusste wei er idner EDV abeeiet udn ienKudn vonihm,ien amrkitgfirmamla ienn srever bei usns tehen hatte plötzlich diese Inhalte fand. Er war füher auch mal im Ganbrinus gewesen wo er imer so Handschellen mit sich herumtrug was cuh frudn von mir afflie mitden ich inder JugdnDscio war damals. Das eutrützt di Theorie einer wie die es nenen "Bondage-" Vorliebe diezu Milieukotakten apsst udn er wollt mich auch mal unebdingt auf so ien party mitnhemnaber ich hab abgelehnt. ICh hab dsml ne Frundin diemediznerin egfagt ob sieda da higehwn würde (zum spionieren) wil ich itersseirt war rasuzufdnen ob da was drann ist um Matrial zu haben für sorge-rechts-verfahren. siehe dazu: " http://intxxx.dynip.name " Das würde doch primazu meirn Theroi passen daß meien Ex qusi als ne art Nutte für dei amfai Männer Medzin-vergiftet und sichabsciht-lich schwängern lässt u eprssenzu können. Nur es briugt ja nix wenndiekorruten
Bullennicht zuhren udn die sttanälte ud ichetr dich ausdem gebüde prügelnassn wenndeu ne esggstätgung für vondei absgnde SEsjcheb evrlasgt die ausbleibt. Die stckendoch alel biszumHalsmit drinne hab ichden eindruck. Siehe "Eyes Wide Shut" . Wo sie denasiatinnen vonder Staatbesuch Veregwaligung Geld anboten asu dem Puff damit dei nchtaussgen, stchrot wrum kommt bei denNuttendeigaz Kohle asu denfilmeienchemn fürfossrte Gump an udn dep pschotshcihe egstörten Sextrebetätern abe rnicht bei den Opfern? POST-UMLEITUNG=HILFSGELD-UMLITUNG? Eprsserin wie vera anner die nchweislichmit geohotten PhotosmienMuter erpsset haben bekomen Kohle und ich werdn zusgrpügelt. ICh kann hieb dusnchtfsten nchweisn evrgeltigt wrden zu sien udnaß die genseietemrhch vercht hat mit mniaerten BeismittenVarfahn zu führen. Siehe etwa dei manilurten "verögsnasuküfte" von gestren "Duck und SatzUNG OLG" anstatt "Druck udn Satz OLG". Fhelde ursfctftenfelder. Das ist ken Gerichts odenr ne komische BEtügergang dei Kider neführt, Liet uter Dorgen setzt, vergeligte, geckt vonden Vegrligernaus Bangkok. Die ganzen Nigr die bahte habn dei rsssichtschn Stfaten ggen erbkrnake sien Stfaten geen menshcn mit dukler hautfarbe (geroeg Floyd),die shciß dogedealer. Die Frauen die behauteen habe dei Kriegsgräberfelder lägen voller Femizid-Opfer? Die behauptet haben die Männer deren Familien man zerstört duch Falschbschuldgungen von "Monika Lewinsky" / "Stor_y Daniels" seien kien Opfer? Inde rgeend herumhuren ist saolnfäg, seine Familie zu schützen vor Miltär-Gruppen-Vgerligern hingegen ist nicht mehr stylisch genug? Wow. Das psst ja prima zu Tatort, dort war es nämlich so daß die tochter aus reichem hause (UntreHYPOSEIELFUSS IENS ANGLICHEN THERPUTEN MIT DORGEN VERGFTETE ?) Pornos drehte einen Vater hatte der schwer-reich udn af den ruf seiner Familie bedacht war. Als nun der Drehkollege seiner Pr0n-Dartsellerin Tochter ermrodetwurde fil der vrcht afIhn, man dchte er wollte sien Finzuntremhemn das vom guten Leumund lebe vor schlechter Presse shcützen udn habe daher den Dohkoggen aus dem Profilmsienr tochter er-moret. Es gab auch eine DNA-Spur die das belegte. Daß der Täter der Vater des Opfers sein müsste. Abr das war rein zufällig imlabor aufgafllen udn uterga dem dstchutz von der Info her. Dennoch gingen die Ärzte los un veffiffen ihre Patieten wieldieinnahemn aus der mendveöfflichung ja höher sind asl der Gelatsausfall duch Jobverlust. Lidr doht Ärzten da sienbar nur Jobverlust kein Kanst wenn sie das patientengeheinis verrten. ICH SAG JA SEIT AJRHE UDN ALS ZIVI ALS ISNDER DASSMAN MIDZIENR NICHT TRAUEN DARF, DASS SI KOPRRUET SIDN BIS UAF DIE KNOCH, DASS SIS DSISTCHE UDN BRUTAL SIDN UND AUCH LÜGNER. DASS SI GERCHEC KRÄHEN-PRINZIP (die ien hacktder naden keinAufe asu) BANDE BILDEN U OHRN PFSUCH ZU VERTUSCHEN. Lässt sich hieb udn stichfest beweisen. Ich a ja viles erlbet wärndmeirn Poitk ud Presstätgkiet, Dogendeler, Teroristen ber so übls shcien wie bei der poltei, Justz udn Medzin sidn mir absghen von der politik nigends anders unteergekommen ach ja, unser Drecks - Militär fehlt noch in der Aufzählung des Abschaums. Das Pornos drehende Kind war bei einem Psychiater in Behandlung und chste sich das eigene Leben zu ruinieren daduch daß man als Pr0n Model beakntn wird habe was damit zu tun Freiehten genn sien LEtern-ahus auszuloten. Sowitr so iofhc, Kidn eisne Strichen Mannes, deh Pornos,d r hat Ansgt umdenruf senr fma, ermodet die Dheparter udn veruchtd asmetrail aus dem Netz zu bekommen. Klare Fall, der hatte den Pr0n-Sternchen Drehkollegen seine Tochter ermordet dchteman, vor allem wusst man ja daß dei DNA sagt daß der Täter verwandt war. Die Komissarin setzet ales auf ien Karte und fesselte den Untrenher auf einer Party nchm ien ilgela DNA Porbe. Doch es stellt ich etwas ganz anderes herus als man er-wartet hatte. Der iche utremehr war gar nicht der vater. Sie Frau hat ihn sin gazes laben lang nagelogen r si dervater des kidns daß sien rf gerde ruinere damit daß es Pr0n dreht und dabei behaupte es sei das Kind reicher Eltren. Das gnaz qr auis ien rat gezoltRufmrd erpssung möglicherweise. Di kOmissarin hate großs Glück dender untrenher, gschockt duchdas was manihm agatan hatte sitsn sienr Fra dieihn einLben lang belogenhatte sagte nun er habe ien vercht wer asl Vater in Betracht käme. Er rinenrte sich daßsien Frau stets mit desem seltsamen Psychoatre zudem sie späetrd ei tochter schickte bevor die mit dem Pronos drhen anfing schickte gehabt hatte. Der psychiater der tochter war ien ehemiger freund der verstorbenen Frau des Untrehmers. Under vdcht erhärte sich, der psyhiater war derjneige gwesen dem in den Therapie-sitzugen klar wurde daß er da keine Patietein vor sich sutzen atte snder dieiegen Tchter dei garde wiel sie mkret daß irgnwas mitihr nicht richtg war mit dem Pr0n-Filmchen drhen angefangen hatte. Er dutfte aber nichts sagen. Und so entshcloss er sich den Co-Star dr filme, den "Dreh-kollegen" zu ermorden umsien leibliches kindz u rächen. https://www.tvinfo.de/fernsehprogramm/2025536751-polizeiruf-110 | |
|
30.12.2024 17:30 |
|
|
|
|
![]() | |
| [0] |
20241230-1730-0-1.jpg |
| https://www.tiktok.com/@maximilianbaehring/video/7454238386954505494
| |
|
30.12.2024 17:45 |
|
|
|
|
![]() | |
| [0] |
20241230-1745-0-1.jpg |
| War eben noch,es sit dei dritte Pattone die ich diesen Monat nutze, notgedrungen Drucker-Tinte einkaufen und ich musste vorher noch bei der Bank vorbei, war bs 176:00 Uhr damit bschäftgt meinen einen DNS Server umzuziehen,benflslsnicht wielichdas wollte sondern musste, nachdem sich der ansfg extrem güstge udn über viele Monate Stabilepris Preis binnen kürzester Zeit erst verfirfachte mit dem Argument das eine Sonderaktion egwsen,dann hab ich genug Prepaid Guthaben dort aufgladnumdenvorfchn Prs fürdeiNäcshte abrichpeiode zu zahlen, dann bekam ichneneu Mial, es sei immer noch nicht genug, diseml dchte ich es läge etwa an Rundungs-diffferzen und Überweisungsbankbühren etc im Ausland, abr dann wollte man schonwder den fünf-fchen Betrag. Und jezt hab ich dann ien andenr Anbiten genommen. Und amit war ich stundlöang ebshcäftiog wiel da jede menge Glue - DNS Records geändert werden mussten. Jeweils bei den Domain-Registrys einRisuafwands alles.
| |
|
31.12.2024 12:30 |
|
|
|
|
![]() | |
| [0] |
20241231-1230-0-1.jpg |
![]() | |
| [1] |
20241231-1230-0-2.jpg |
![]() | |
| [2] |
20241231-1230-0-3.jpg |
| Beihilfe/Begünstigung RAF–TERROR per Postunterschlagung Kursmanipulationen/erpresserischer Menschenraub/Straf-vereitelung, Gefangenenbefreiung, Zeugen-Medizinvergiftung/Vergewaltigung
Maximilian Baehring Hoelderlinstrasse 4 D-60316 Frankfurt/M per Fax: +49/(0)611/32761-8402 Amtsgericht Hahnstraße 25 D - 60528 Frankfurt a.M. Im Internet findet sich unter der URL http://banktunnel.eu/pdf.php und URL http://blog.sch-einesystem.de/ mein ausgedruckt ÜBER 31.000 DIN-A4 Seiten umfassendes Internet Tagebuch / Blog, als Offline Version downloadbar unter http://*** /***/ als ISO-Image (brennbar auf DVD) mit tagesaktuellen ZIP-Archiv Ergänzungen Neu: https://www.tiktok.com/@maximilianbaehring/ Frankfurt a. M., den 31. Dezember 2024 Einschreiben RR577578933DE vom 29. Dezember 2024, Fax 17:16 Uhr an +49/(0)69/1367-2030 Gemeinsame Poststelle Justzbehörde Gerichtsstraße 2, 60313 Frankfurt/M. (Prozesskostenhilfe) Ihr Brief frankiert am 23., Datum auf dem Begleitschrieben ist 19. Dezember 2024 Einschreiben RR577578920DE vom 29. Dezember 2024, Fax 18:10 Uhr an +49/(0)611/32761-8326 Landgericht, Gerichtsstraße 2, 60313 Frankfurt/M. (Eingang des Prozesskostenhilfsantrags) Einschreiben RR577578893DE vom 28. Dezember 2024, Fax 19:06 Uhr an +49/(0)611/32761-8402 Amtsgericht (im Hause Staatsanwaltscfat) Frankfurt/M., Hahnstr. 25, 60528 Frankfurt/M. Einschreiben RR577578575DE vom 24. Dezember 2024, Fax 10:31 Uhr an +49/(0)611/32761-8326 Landgericht, Gerichtsstraße 2, 60313 Frankfurt/M. (Beiziehung 380 C 478/21 AG FFM Höchst) Einschreiben RR577578244DE vom 22. Dezember 2024, Fax 11:41 Uhr an +49/(0)611/32761-8402 Amtsgericht (im Hause Staatsanwaltscfat) Frankfurt/M., Hahnstr. 25, 60528 Frankfurt/M. Beschwerdeeinreichung gegen abgelehnte Befangenheitsanträge Richter 'Hommel' und 'Gottmann' unmöglich gemacht durch Nichtzusendung von Prozesskostenhilfsantragsformularen und Nicht-vorgelassenwerden im als zuständig für die Niederschrift der mündlichen Beschwerdestelle im Beschluss/Schreiben vom 05, asugetsellt am 10. „förmilch“ zugstellt 12. Dezember 2024 explizit genannten (Gebäude „B“ vom) Landgericht, Gerichtsstraße 2, 60313 Frankfurt a.M. Aktenzeichen 28098 C 360/24 des Amtsgerichts Frankfurt a. M. Klageschrift erhalten per Zustellung am 18. Oktober 2024 Begleitschreiben datiert auf 04. September 2024, „Erweiterung der Klagschrift“ erhalten per förmlicher Zustellung 14. Dezember 2024 Schreiben vom 19. November 2024 nebst Anlage/Begleitschreiben vom 10. Dezember 2024 Einschreiben RR665222780DE vom 19. Dezember 2024, Fax 15:58 Uhr an +49/(0)611/32761-8116 Einschreiben RR577577955DE vom 19. Dezember 2024, Fax 18:18 Uhr an +49/(0)611/32761-8431 an Poststelle (Gebäude E) Landgericht Frankfurt a.M., Hammelsgasse 1, 60313 Frankfurt/M. Ihr Schreiben vom 17. Dezember 2024, am 19. Dezember 2024 13:47 Uhr erhalten (per Brief-post frankiert am 18.) 2 Blatt, 3 Seiten, erstes Blatt (Begleitschreiben) vorderseitig bedruckt, zwotes Blatt „Beschluss“ (vom 16. ausgefertigt 17. Dezember 2024) beidseitig Einschreiben RR665222475DE vom 18. Dezember 2024, Fax 10:58 Uhr an +49/(0)611/32761-8402, Amtsgericht (im Hause Staatsanwaltscfat) Frankfurt/M., Hahnstr. 25, 60528 Frankfurt/M. Fax um 20:33 Uhr an +49/(0)611/32761-8402 nebst Einschreiben RR577577195DE je vom 14. zur post gegeben am 15. Dezember 2024, an Amtsgericht , Gerichstraße 2, 60313 Frankfurt a. M. an selbe Anschff/nummer auch Einschreiben RR577577204DE 15. Dezember 2024, Fax 15:58 Uhr Fax um 13:59 Uhr an +49/(0)611/32761-8325 Einschreiben RR665221594DE 13. Dezember 2024, an Landgericht, Gerichtsstraße 2, 60313 Frankfurt a. M. sowie mein Einschreiben an das „„Amtsgericht im Hause“ Staatsanwaltschaft, Hahnstraße 25, D-60528 Frankfurt a.M. 12. Dezember 2024, Fax um 18:27 Uhr an +49/(0)611/32761-8402, Einschreiben RR577576932DE Beschluss vom 04., ausgestellt am 08. November zu Fristverlägerung bis 06. Dezember 2024 nebst Begleitschreiben datiert auf 04. November förmlich zugestellt 12. November 2024 Beschluss vom 05., ausgestellt am 10. Dezember 2024 zu Ablehnung Befnagenheitsantrag und nebst Begleitschreiben 10. Dezember 2024, förmlich zugestellt 12. Dezember 2024 mein Einschreiben RR577575870DE 03. Dezember 2024, 10:40 Uhr Fax an +49/(0)611/32761-8402 mein Einschreiben RR577573556DE 14. November 2024, 13:11 Uhr Fax an +49/(0)611/32761-8402 STRAFANZEIGE WEGEN AMTSANMASSUNG/AMSTMISSBRUCH, STRAFVEREITELUNG (IM AMT), BEIHILFE UND BEGÜNSTIGUNG VON SPRRNGSTOFFNSHCLÄGEN, MORD, KIDNAPPING SOWIE VERGELATIGUNG ([1] 30. Oktober 2024 Einschreiben RR577571674DE an Gerichtsstaße 2, 60313 Frankfurt a.M. Oktober 2024 ca. 12:12 Uhr Fax, 3 (in Worten: ddrei) Seiten an +49/(0)69/1367-6301 24. Oktober 2024 ca. 14:51 Uhr Fax, 10 (in Worten: zehn) Seiten an +49/(0)69/1367-6301 Ich bitte umseitige datilleiret Aufstellung akteuller Korresponden zu entschuldigen, sie sie erfdoerlich da mit meiner post manipulerte wird u mich und meine Eltern um sechsstellige Summen zu epressen. Sehr geehrte Damen und Herren! Die 14 Tages Frist die seit der Zustellung 12. Dezember 2024 lief hab ich – das habe ich bestens schrftlich und video - dokumenteirt genutz um ich zu wehren, der vor über 10 Wochen berist angfderte Porzsskostenhilfsatrag ging hier erst am 28. Dezember 2024, Samstag nachmittags ein. Am 17. Dezember 2024 nachdem das gericht nicht umgehend auf meine Einschreiben regiert hatte war ich persönlich dort hiegegangen um die benötigten Formulare selbst abzuholen und gegebeenfalls meiner zwischneztlcih mit vschulden vonJutsz/polize7Medizn eroeben Rechtschreib-behiderung wegen Beschdrer wgendes Ablhngstrags zu Rpotokoll zu dikieren wurde aber nicht vorgellassen. Über die sterehcehdne Strafanziegen gegen Justzbeate die ich deshalb eirichte udneie die polize ich zuächst wiegretanzunhemen hab ch sie schtclih infomert. Man stellt mir also denPorzsskostehilftrag den ich wegen des Anwaltszwanges vor gricht benöitge erst so spät zu daß ich ihn unmögich noch firstgeriucht abgeben könnte ncdem manmich zvor mit oher Betanebrutalitäts gewltblikcert dieidnge vor gericht slbst zu klären. Ich hab am Sonntag mit lezter Tinte die egcannstenudnam rcher ausgüllten Formulare ausdcukt, das war dann berist die zwte leergedrucket Drucker-Tinten-Patrone diesen Monat was dazu führte daß ich egstern nochmalzur bank musste umzus hen ob ic noch genug rstgeld hab End desmoats mir einweietrpatoneleisten zu könnenudnazudaß ich egsternd dann noch im Couterfachhdel war umien neu zu kafen nchdemichden tagelang damit blockert gewsen war michd daumzu kümmern daß Provider diemeienBeismitevsrever hosten ihre prs ur-plötzlich verviel/(4-)fachten (die promo-Aktionsie ausge-lafen, ih müsse den Tarif wchslen sonst würde mandie Daten löschen, als ich den Forderunge nchgab und mir wietzre geld vom un absparte und die rhöhe Rhcnugzahlt wolltn so plötzlichnochmal den 5-fachen Betrag). Ichmußte als Plötzlichnochmal indie stch gerifen um ein zustälichn Srver dort zu mieten, die detn zuzukoren damit hc vondem Provderderplötzlich shcmlos üerzeigengeldoderunsgstellte loskam, er sitzt imauslnd, bis man da aufrchlichem Wege etas erich könnet wärndei datnlägst weg. Auf ählich art udnweis werde ichdie gaz Zet eprsset, IM prozsskosthlftrag hab ichgeshcben daß ich weit eür 100 Euro meisn HartzIV/Alg2 Budgstes für deise „BWEISSSICHERUNSKOSTEN“ im Intrenet ausgeb, dafür daß die die koplete prozesakteeishen könen in meinem Blog http://blog.sch-einesystem.de und/oder aufder Website http://banktunnel.eu/pdf.php fühernutze ich koslose bloggingdiste wie tumblr.com die dnn aber das Blog zesiert/spertwn eshalb icienegen Lösung programmernund zsrsicher mitabckupsrevern um auslnd etabliern musste. Das sidn Midestsn 100 Euro imMoant, dieEVDKostendisnemota sind eher bei 200 Euro. Das ligetdaran daß Hack dergeenscihe Verafhrperten ermentevruchendei Angbote aus demnetz zu bekommen udnich ienwirklcih immens Aufwand betreb muß die sihe oben zu halten. Zum Glückkomme ich vom afch und kann dameist elst mchen, ansonsten wären diebeismittel in SchenJustzkorrution längst gelöscht worden. Ich mache als auchdas nicht zumPSaß doer fürmich sodnr wielirhe korruet Justzundpiolzei sowieder sat mit dnemaniplrten wahlenundenLügeprssemedien mch dazu qusi zwingt. ALLES WEGEN IHNEN! Luet wie dem Pfaffen-Richter „mann<gottES“ der als FGG - Schlochter ineiger sche den zu wrwtenden Medinrummel nutzenwollte um sich zu profilieren im Wahlkmapf? Soilef ds hedflsl damsl biem Vefahn gege Familie Seegers und Frau Baraham aus der KAppessgasse 2 in bad homburg Ober-Erlenbach woeman mieneltrenumiengazes aus Erbschft neurbautes haus zu betüge veruchte währnde man die „Sattsbcuh Vegreltung“ nutzenwollte für „Arbeit-geber/Arbeitnehmrlager Tarifkoflikt Mahtkämpfe“ id Budbvand der Wach-und shlißgsslcaftn zwtenh zum herhusen srgtsopffnshclag. Der „Secrte Servcci“ oder was das ist, dieliebche despäsdieten hörtmientelfon ab, den grichtsbhuss kann ich igehengerne vorlegen, man observiert das Haus in dem ich wohne. Ich bin zeggen als per shcftform zu machen. Nach Polzetbruitalität und vegftugen duch korruet Medziner binichder mitiene enführten Kdnebrodht wird rchtschib-ibvalide. Was sie mit mir mchen ist geuilte pure Folter/Quälerei. Daherbalhunsgatrag. Ich hab nurn wiklklich alls gtan was manvonmir evlagen kann, sogar wit drüber hanus um mich z wehren gegn z rucht erhben Koaewagendie mir meiene Stalker (lesrmeisn Blog) vollkiommen unnötger aufd en hals gehezt haben währnd man ganz gezielt die Hfleistungd ann uentöässt wenichsie brch (geziletre pyschoterrror?) Ich bin mir 100%g sicher daß dasverafhrn sacfrdm zweckentfremdet wird was auch Einand und Grund für Ablhungtrag ist. Sie hätten Klag lägst abweens müssen! -------- Nachricht -------- Betreff: Faxversand an 0611327618402 war erfolgreich Datum: Tue, 31 Dec 2024 11:28:36 +0000 (UTC) Von: Fax <noreply_fax@> An: maximilian.baehring@ Web2Fax Faxversand an 0611327618402 war erfolgreich Guten Tag, folgendes Fax wurde erfolgreich zugestellt: Ihre Fax-Rufnummer: 00496924749613 Ihre Faxkennung: Maximilian-Baehring Empfänger: 0611327618402 Zeitpunkt: Tue, 31 Dec 2024 12:28:36 +0100 Seiten: 2 Eine Kopie des Faxes finden Sie im Anhang. Wir danken Ihnen dafür, dass Sie unseren Service genutzt haben. | |
|
31.12.2024 12:47 |
|
|
|
|
![]() | |
| [0] |
20241231-1247-0-1.jpg |
|
31.12.2024 13:30 |
|
|
|
|
![]() | |
| [0] |
20241231-1330-0-1.jpg |
![]() | |
| [1] |
20241231-1330-0-2.jpg |
![]() | |
| [2] |
20241231-1330-0-3.jpg |
![]() | |
| [3] |
20241231-1330-0-4.jpg |
![]() | |
| [4] |
20241231-1330-0-5.jpg |
| Ich hab je berist erzählt daß ich gestren dne ganzen tag damit beschäftigt gwensen war einen meinr DNS Server umzuziehen, da der bisherige provider urplötzlich durch- drehte udn erst die Monatsmiterevriferchat, dann den neuen Betrag mit Zustagebürher versah udn als ich auch die noch zahlte eprssterweise plötzlich (asl wolle er für einen längern Zeitraum im Voraus kassieren) den den Btrag nochml verüffcht haben wollte. Da hab ich dann in enschossen daß ich die zustkosten iene zutätzlich server paraallel azumiten etzt doch aufmich nehem und den Anbiter gewechselt. Sieht mir ganz so aus als setckte dahinter die hexsenkssel Gerltscfstappstchcik Gang udn dei budnsvabd Truppe woe mien yugoslwawischer Mit-schüler rudolf schwab/Schndelmeyer anfangen wollte. Ich wargestren noch kurz auf der Bank, um ntoflls Geld-zumszukarten für den kauf einer neuen Tintenpatrone. Und bis ich mit allem fertig war da war es auch schon wieder 19:00 Uhr vom 18:00 Uhr TV - Vorbaporgramm vom Motag, den 30. Dezember 2024 hab ich nur soviel gsehen daß Teilzwo der #simpsons irgendiene Bowling-Wette war Homer siposn mit sienKniepen Kupls geen irgen-welche Istementbaker glab ich zu erinenrn falls es die folge ist die ich ohenhin schonmal geshen hatte. Das Sat1 Fühtsücksfsrhen snedete heute morgen ebenwonig wie egstren ama bdendie 3sat #Kulturzet oder die RTl2 Sopas #berlinNueKölln02407 / #berlinTagUndNacht. Seit haren rbeiet ich fast jeden feiertarg duch im Kampf
gegen die korruet Justz udn die Polizei und gegen andere (ermitlunsg-) Behörden und korrupte Politik sowie die deren whalen ermöglichend eLügenpresse. Heute morgen musste ich mal wieder im Waschsalon Wäsche waschen. APssnd zum Tod vin US Päsdient Carter gabs die defekte Waschsmchine Numer Sechs die mich an "Carter USM" als Band erinnert hat,das war daoch auch wieder irgend-eine inszenreung. Dann hab ich noch beimUIteretcfae vogeshcut udngfarg wanndie huet zucmhen, 13:00 Uhr udn mich beeilt noch iepaar Wortes an das Gericht zu formulieren us si noch per eichrbendise jar sowerdneuu können. Als ichmit dembrif indr hand zumIntercfae ging sagh cihd entypen dermich bedoht hate dort gelbe Körbe von der Postkästen auf der Rückseite asudem Gebäude tragen was ich filmen konnte, mir wird klar (voIP provder mit gschäftsführer ANDREAS BAR/ANDREASthRSSN er"Presse"r-trupep aus dem haxkelssenl) warum meine Post nicht ankommt. Its aslso liksextresicher gewerlshcft-appstchciks saboatge heir. Auf demrückweg hab ichd ann noch ien abschcer zu dem Feirwerkshop gemcht aufder ggeüebrligendenstraßesietdr hausr land ecke Höldrlistraße an der aral_takstele woe ich wohne. ICh mchte ein paar Fotos für mein Blog und ich erkudegte mich ibdr shop dem eherren Exnergehöre de rgausoheißewiemenfüehreanwlt und der wisbadner OB. Clus Jügen Exner mitdem ich mal indrknipe Luna Y Sol plattenafgalgetahte evtrat mich inien Verkehrsrechst- vefahn 2003 vor Gericht uenein Frau "fröscher" annte die sich eien nchbarin des zten ahus mienr aus der Kappsgasse das aus der shcabft erbutworden war hatemal egsat sie sie die Mutter des außerehelichen kidnes von Achim Exner, dem wisbander Oberbürger-meister. Dann hab ich den namen nochmal gehöt udn wzar Ende 1998 als ien bende besoffern shcülertunsg-teroisten mir sagten sie wolletn uns nicht yugoslawosh-stämmigen kapitlsiten geldsäcke ver-klagen wei wir nicht zuzgallsn ahten dasß yugomishcüler nato fdlichpropgada ohedsuchenco-azturevröfflichten idner shcükerzetung. siwewürdn al alatal all "den exner" nehmen. Derhabe ien "totn brfkatsen" in Frankfurt. Als ich nuelich ind nbchbascft Lyerverteilenwollte vonm eienmBlog hab ich nun rei zufällig auch dort nebn der Feuerwekrs-shop Hfeiahrt ien Brifaskte endtcket aufdem der slsteName "enxer"satnd udn asl ich huet ie paar Bilder für meinBlogmchte daß die dahiten Feuewerkrs-batterien verkaufen fragte ich aml das prsonl da etwdr 2etcrht Frankfurt"ameldbe als aufähe trug oder "Stag enetrainmanet",siehs meinÄregmt "stais and fy musical udnrock/popkozert bühenetchnik". udnalsichmich also erkndgte ob derenerzfälligmit ineme anlwt evrdt sie sgat eman mir nei, der sei kein waltalt, der sei ein arzt. Das ist lutsg. wiel als ich getsrn nälich am Gotehplatzbei der bank war file mir ien Mann hiermir idner shclag auf der extrem nfrudlcihwar das war kurez nchem die frau (man siehet es im getrgen titiko vido) mich unter-brochen und fast aus dem Kozept gerbcht hatte. Er eirnnert mich stark an meien Mitshcüler Daniel Schunke der Medizin studiert hat udir dasml mien Frankfuert Vermite, Mile vortsllet abends in einer bad hombuegr Bar wo wir usn zufällig getroffen hatten. De rmann udn sien belgeretinrrsctenmich anob ichienprblem hätte udn ishcsgte ich hab ttsächlichiens, ich werde mit ienm entühtenkidnebrodht aber stt verstädnsi dfü zu zsgen wurde ernurnochsuer, das hat mich gewundert gestren. Sow iemich hute wurdert daß es tatäschlich eien Exnerals azt gab an den ihcmich dunkel erinenre deruchigrndo indemkappegssedrkuklik verfahrn ien rlle gespielt hatte woe dse shcüleztugsterroisten mits gebuat haben. Ic hoffe ja daß Garweg mit siem Exlklusv-Artikelidner "taz" endlcihmal den wge friegcht hat daß dei "herrahsuen" sprengtsffnshclag Sache endügltig aufeklät wrdenkann nebns dem zur flugtfizrung beganeg Juweleraub unter der ja auch ich seit Jahrzeeten leide. https://www.tvinfo.de/fernsehprogramm/2040855452-die-simpsons https://www.tvinfo.de/fernsehprogramm/2040855458-die-simpsons | |
|
31.12.2024 16:00 |
|
|
|
|
![]() | |
| [0] |
20241231-1600-0-1.jpg |
![]() | |
| [1] |
20241231-1600-0-2.jpg |
| https://www.tiktok.com/@maximilianbaehring/video/7454576738056555798
https://www.tiktok.com/@maximilianbaehring/video/7454597692006632727 | |